• 文献检索
  • 文档翻译
  • 深度研究
  • 学术资讯
  • Suppr Zotero 插件Zotero 插件
  • 邀请有礼
  • 套餐&价格
  • 历史记录
应用&插件
Suppr Zotero 插件Zotero 插件浏览器插件Mac 客户端Windows 客户端微信小程序
定价
高级版会员购买积分包购买API积分包
服务
文献检索文档翻译深度研究API 文档MCP 服务
关于我们
关于 Suppr公司介绍联系我们用户协议隐私条款
关注我们

Suppr 超能文献

核心技术专利:CN118964589B侵权必究
粤ICP备2023148730 号-1Suppr @ 2026

文献检索

告别复杂PubMed语法,用中文像聊天一样搜索,搜遍4000万医学文献。AI智能推荐,让科研检索更轻松。

立即免费搜索

文件翻译

保留排版,准确专业,支持PDF/Word/PPT等文件格式,支持 12+语言互译。

免费翻译文档

深度研究

AI帮你快速写综述,25分钟生成高质量综述,智能提取关键信息,辅助科研写作。

立即免费体验

辅酶Q10改善矮樱蛤解冻后精子质量。

Coenzyme Q10 Improves the Post-Thaw Sperm Quality in Dwarf Surfclam .

作者信息

Xu Zhen, Yang Zujing, Bao Lisui, Lu Bei, Li Xiaoxu, Zhan Xin, Huang Xiaoting, Liu Yibing

机构信息

Key Laboratory of Marine Genetics and Breeding (Ministry of Education), College of Marine Life Sciences, Ocean University of China, Qingdao 266003, China.

Institute of Evolution & Marine Biodiversity, Ocean University of China, Qingdao 266003, China.

出版信息

Antioxidants (Basel). 2024 Sep 4;13(9):1085. doi: 10.3390/antiox13091085.

DOI:10.3390/antiox13091085
PMID:39334744
原文链接:https://pmc.ncbi.nlm.nih.gov/articles/PMC11429170/
Abstract

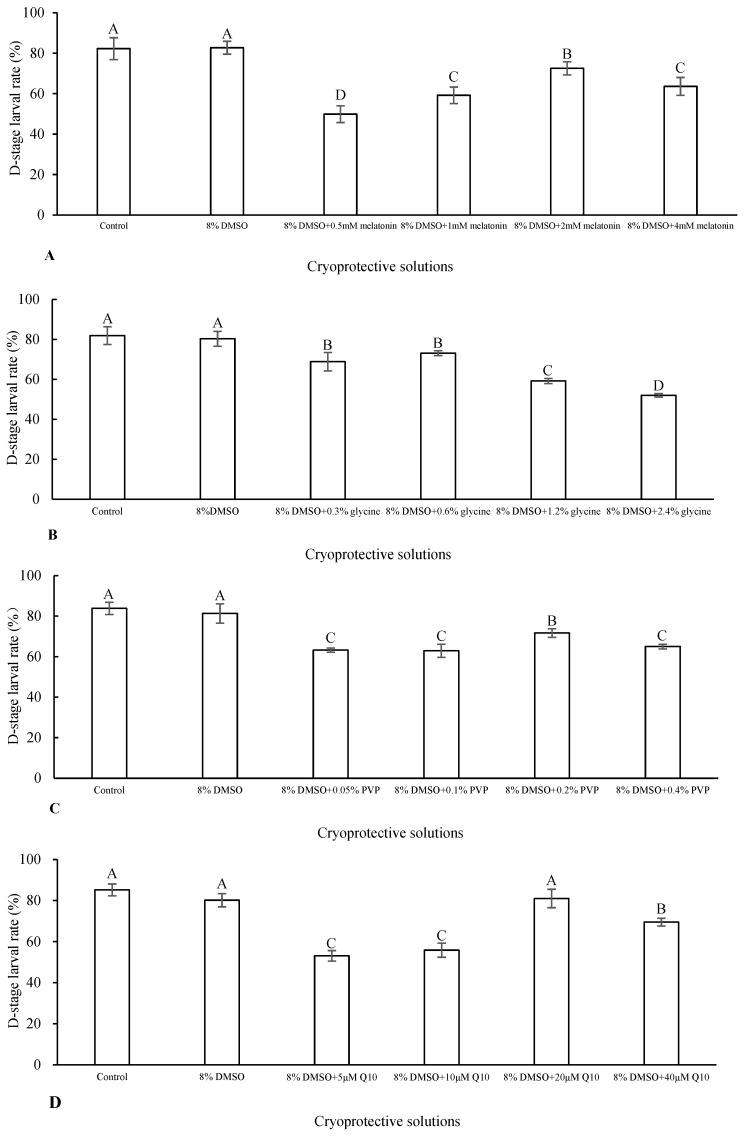
Previous studies have shown that post-thaw sperm performance is affected by multiple stressors during cryopreservation, such as those induced by physical, chemical, mechanical and physiological changes. One of these is the balance disturbance between the antioxidant defense system and reactive oxygen species (ROS) production. This study investigated whether this disturbance could be alleviated by the addition of different antioxidants to cryoprotective solution [8% dimethyl sulfoxide (DMSO) in 1 µm filtered seawater] optimized for the sperm in dwarf surf clam , the model bivalve species used in many different types of studies. Results showed that the addition of 20 μM coenzyme Q10 (Q10) to 8% DMSO achieved a D-stage larval rate similar to that of the fresh control at a sperm-to-egg ratio at least 50% less than the 8% DMSO treatment alone. The addition of other antioxidants (glycine, melatonin and polyvinylpyrrolidone) did not have any positive effects. The improvement in post-thaw sperm quality by Q10 could be due to its ability to significantly decrease ROS production and lipid peroxidation and significantly increase the motility, plasma membrane integrity, mitochondrial membrane potential, acrosome integrity, DNA integrity and activities of catalase and glutatione. In this study, 37 fatty acids (FAs) were quantified in dwarf surf clam sperm, with 21 FAs being significantly impacted by the cryopreservation with 8% DMSO. Thirteen of these 21 FAs were changed due to the addition of 20 μM Q10 to 8% DMSO, with approximately half of them being improved significantly toward the levels of fresh control, while the remaining half extended further from the trends shown with 8% DMSO treatment. However, no significant difference was found in the percentage of each FA category sum and the ratio of unsaturated/saturated FAs between the two treated groups. In conclusion, the antioxidant Q10 has shown the potential to further improve the sperm cryopreservation technique in bivalves.

摘要

先前的研究表明,冷冻保存期间,解冻后精子的性能会受到多种应激源的影响,比如物理、化学、机械和生理变化所引发的应激源。其中之一是抗氧化防御系统与活性氧(ROS)生成之间的平衡紊乱。本研究调查了在为侏儒浪花蛤精子优化的冷冻保护溶液(1 µm过滤海水中的8%二甲亚砜(DMSO))中添加不同抗氧化剂,是否能够缓解这种紊乱,侏儒浪花蛤是许多不同类型研究中使用的双壳贝类模式物种。结果显示,在8% DMSO中添加20 μM辅酶Q10(Q10),在精子与卵子的比例至少比单独使用8% DMSO处理低50%的情况下,获得了与新鲜对照组相似的D期幼虫率。添加其他抗氧化剂(甘氨酸、褪黑素和聚乙烯吡咯烷酮)没有任何积极效果。Q10对解冻后精子质量的改善可能归因于其显著降低ROS生成和脂质过氧化的能力,以及显著提高活力、质膜完整性、线粒体膜电位、顶体完整性、DNA完整性以及过氧化氢酶和谷胱甘肽活性的能力。在本研究中,对侏儒浪花蛤精子中的37种脂肪酸(FAs)进行了定量,其中21种FAs受到8% DMSO冷冻保存的显著影响。在8% DMSO中添加20 μM Q10后,这21种FAs中有13种发生了变化,其中约一半显著改善至接近新鲜对照组的水平,而另一半则在8% DMSO处理所显示的趋势基础上进一步偏离。然而,两个处理组之间各FA类别总和的百分比以及不饱和/饱和FAs的比例没有显著差异。总之,抗氧化剂Q10已显示出进一步改进双壳贝类精子冷冻保存技术的潜力。

https://cdn.ncbi.nlm.nih.gov/pmc/blobs/1112/11429170/acef58d37b2e/antioxidants-13-01085-g005.jpg
https://cdn.ncbi.nlm.nih.gov/pmc/blobs/1112/11429170/1bb054e80ad3/antioxidants-13-01085-g001.jpg
https://cdn.ncbi.nlm.nih.gov/pmc/blobs/1112/11429170/c160e30f0976/antioxidants-13-01085-g002.jpg
https://cdn.ncbi.nlm.nih.gov/pmc/blobs/1112/11429170/73e27e3fd6af/antioxidants-13-01085-g003.jpg
https://cdn.ncbi.nlm.nih.gov/pmc/blobs/1112/11429170/51f767f1502e/antioxidants-13-01085-g004.jpg
https://cdn.ncbi.nlm.nih.gov/pmc/blobs/1112/11429170/acef58d37b2e/antioxidants-13-01085-g005.jpg
https://cdn.ncbi.nlm.nih.gov/pmc/blobs/1112/11429170/1bb054e80ad3/antioxidants-13-01085-g001.jpg
https://cdn.ncbi.nlm.nih.gov/pmc/blobs/1112/11429170/c160e30f0976/antioxidants-13-01085-g002.jpg
https://cdn.ncbi.nlm.nih.gov/pmc/blobs/1112/11429170/73e27e3fd6af/antioxidants-13-01085-g003.jpg
https://cdn.ncbi.nlm.nih.gov/pmc/blobs/1112/11429170/51f767f1502e/antioxidants-13-01085-g004.jpg
https://cdn.ncbi.nlm.nih.gov/pmc/blobs/1112/11429170/acef58d37b2e/antioxidants-13-01085-g005.jpg

相似文献

1
Coenzyme Q10 Improves the Post-Thaw Sperm Quality in Dwarf Surfclam .辅酶Q10改善矮樱蛤解冻后精子质量。
Antioxidants (Basel). 2024 Sep 4;13(9):1085. doi: 10.3390/antiox13091085.
2
Cryopreservation of epididymal cat spermatozoa: effects of in vitro antioxidative enzymes supplementation and lipid peroxidation induction.附睾猫精子的冷冻保存:体外抗氧化酶补充和脂质过氧化诱导的影响。
Theriogenology. 2010 May;73(8):1076-87. doi: 10.1016/j.theriogenology.2010.01.007. Epub 2010 Mar 12.
3
Effect of naringenin on post-thaw quality, fertility-associated gene expression and fertilization potential of buffalo (Bubalus bubalis) bull sperm.柚皮素对水牛(Bubalus bubalis)公牛精子解冻后质量、与生育能力相关的基因表达和受精能力的影响。
Cryobiology. 2024 Sep;116:104953. doi: 10.1016/j.cryobiol.2024.104953. Epub 2024 Aug 23.
4
Effects of Antifreeze Protein III on Sperm Cryopreservation of Pacific Abalone, .抗冻蛋白 III 对太平洋鲍精子冷冻保存的影响。
Int J Mol Sci. 2021 Apr 10;22(8):3917. doi: 10.3390/ijms22083917.
5
Ameliorative effect of crocin on post-thaw quality, fertility-associated gene expression and fertilization potential of buffalo (Bubalus bubalis) bull sperm.西红花苷对水牛(Bubalus bubalis)公牛精子解冻后质量、与生育能力相关基因表达和受精能力的改善作用。
Reprod Domest Anim. 2024 Jan;59(1):e14519. doi: 10.1111/rda.14519.
6
Effects of CoQ10 on the quality of ram sperm during cryopreservation in plant and animal based extenders.辅酶 Q10 对植物和动物源稀释液冷冻保存过程中公羊精子质量的影响。
Anim Reprod Sci. 2019 Sep;208:106103. doi: 10.1016/j.anireprosci.2019.06.015. Epub 2019 Jun 21.
7
Effects of astaxanthin on plasma membrane function and fertility of boar sperm during cryopreservation.虾青素对冷冻保存过程中猪精子质膜功能和生育力的影响。
Theriogenology. 2021 Apr 1;164:58-64. doi: 10.1016/j.theriogenology.2021.01.007. Epub 2021 Jan 20.
8
Supplementation of melatonin to cooling and freezing extenders improves canine spermatozoa quality measures.向冷却和冷冻稀释液中添加褪黑素可提高犬精子质量参数。
BMC Vet Res. 2022 Mar 5;18(1):86. doi: 10.1186/s12917-022-03186-8.
9
Supplementation of Mito TEMPO and acetovanillone in semen extender improves freezability of buffalo spermatozoa.在精液稀释剂中添加线粒体靶向抗氧化剂Mito TEMPO和乙酰香草酮可提高水牛精子的冷冻保存能力。
Andrology. 2022 May;10(4):775-788. doi: 10.1111/andr.13158. Epub 2022 Feb 2.
10
Synergistic effect of royal jelly in combination with glycerol and dimethyl sulfoxide on cryoprotection of Romanov ram sperm.蜂王浆与甘油和二甲基亚砜联合对罗曼诺夫公羊精子冷冻保护的协同作用。
Cryobiology. 2022 Feb;104:87-97. doi: 10.1016/j.cryobiol.2021.05.006. Epub 2021 May 30.

引用本文的文献

1
Evaluating the Role of Coenzyme Q10 in Migraine Therapy-A Narrative Review.评估辅酶Q10在偏头痛治疗中的作用——一篇叙述性综述
Antioxidants (Basel). 2025 Mar 6;14(3):318. doi: 10.3390/antiox14030318.
2
Effects of Essential Oils as Antioxidant and Cryoprotective Agents in Improving Frozen and Thawed Human Sperm Criteria.精油作为抗氧化剂和冷冻保护剂对改善人类精子冻融指标的影响。
Antioxidants (Basel). 2025 Jan 10;14(1):75. doi: 10.3390/antiox14010075.

本文引用的文献

1
Sperm freezing damage: the role of regulated cell death.精子冷冻损伤:程序性细胞死亡的作用。
Cell Death Discov. 2024 May 18;10(1):239. doi: 10.1038/s41420-024-02013-3.
2
Fatty acid composition and biophysical characteristics of the cell membrane of feline spermatozoa.猫精子细胞膜的脂肪酸组成和生物物理特性。
Sci Rep. 2024 May 3;14(1):10214. doi: 10.1038/s41598-024-61006-5.
3
Coenzyme Q10 improves the quality and in vitro fertility of post-thawed buffalo (Bubalus bubalis) semen via its antioxidative effect.辅酶 Q10 通过其抗氧化作用提高解冻后水牛(Bubalus bubalis)精液的质量和体外生育力。
Reprod Domest Anim. 2024 Jan;59(1):e14515. doi: 10.1111/rda.14515.
4
Oxidative Stress and Male Infertility: The Protective Role of Antioxidants.氧化应激与男性不育:抗氧化剂的保护作用。
Medicina (Kaunas). 2023 Oct 4;59(10):1769. doi: 10.3390/medicina59101769.
5
Oxidative stress and DNA fragmentation in frozen/thawed common Carp Cyprinus carpio sperm with and without supplemental proteins.添加了补充蛋白质的和未添加补充蛋白质的冻融鲤鱼精子中的氧化应激和 DNA 碎片化。
Anim Reprod Sci. 2023 Apr;251:107213. doi: 10.1016/j.anireprosci.2023.107213. Epub 2023 Mar 14.
6
Dynamic transcriptome analysis reveals the gene network of gonadal development from the early history life stages in dwarf surfclam Mulinia lateralis.动态转录组分析揭示了小滨对虾早期性腺发育的基因网络。
Biol Sex Differ. 2022 Dec 2;13(1):69. doi: 10.1186/s13293-022-00479-3.
7
Glycine Improved Cryopreserved Spermatozoa Quality in Achai Bull.甘氨酸提高阿哈伊公牛精子冷冻保存质量。
Biomed Res Int. 2022 Aug 4;2022:8282387. doi: 10.1155/2022/8282387. eCollection 2022.
8
Coenzyme Q10 and melatonin protect cryopreserved equine sperm against lipoperoxidation.辅酶 Q10 和褪黑素可保护冷冻保存的马精子免受脂质过氧化。
Anim Reprod Sci. 2022 Aug;243:107027. doi: 10.1016/j.anireprosci.2022.107027. Epub 2022 Jun 18.
9
Advances in sperm cryopreservation in farm animals: Cattle, horse, pig and sheep.家畜精子冷冻保存的进展:牛、马、猪和羊。
Anim Reprod Sci. 2022 Nov;246:106904. doi: 10.1016/j.anireprosci.2021.106904. Epub 2021 Dec 3.
10
The Role of the Natural Antioxidant Mechanism in Sperm Cells.精子细胞中天然抗氧化机制的作用。
Reprod Sci. 2022 May;29(5):1387-1394. doi: 10.1007/s43032-021-00795-w. Epub 2021 Nov 29.