Suppr超能文献

硝羟喹啉与庆大霉素联合控制尿路致病性肠球菌感染的效果

Combinatory Effect of Nitroxoline and Gentamicin in the Control of Uropathogenic Enterococci Infections.

作者信息

Repac Antić Davorka, Kovač Bruno, Kolenc Marko, Brčić Karačonji Irena, Gobin Ivana, Petković Didović Mirna

机构信息

Department of Microbiology and Parasitology, Faculty of Medicine, University of Rijeka, 51000 Rijeka, Croatia.

Department of Clinical Microbiology, Clinical Hospital Center Rijeka, 51000 Rijeka, Croatia.

出版信息

Antibiotics (Basel). 2024 Sep 1;13(9):829. doi: 10.3390/antibiotics13090829.

Abstract

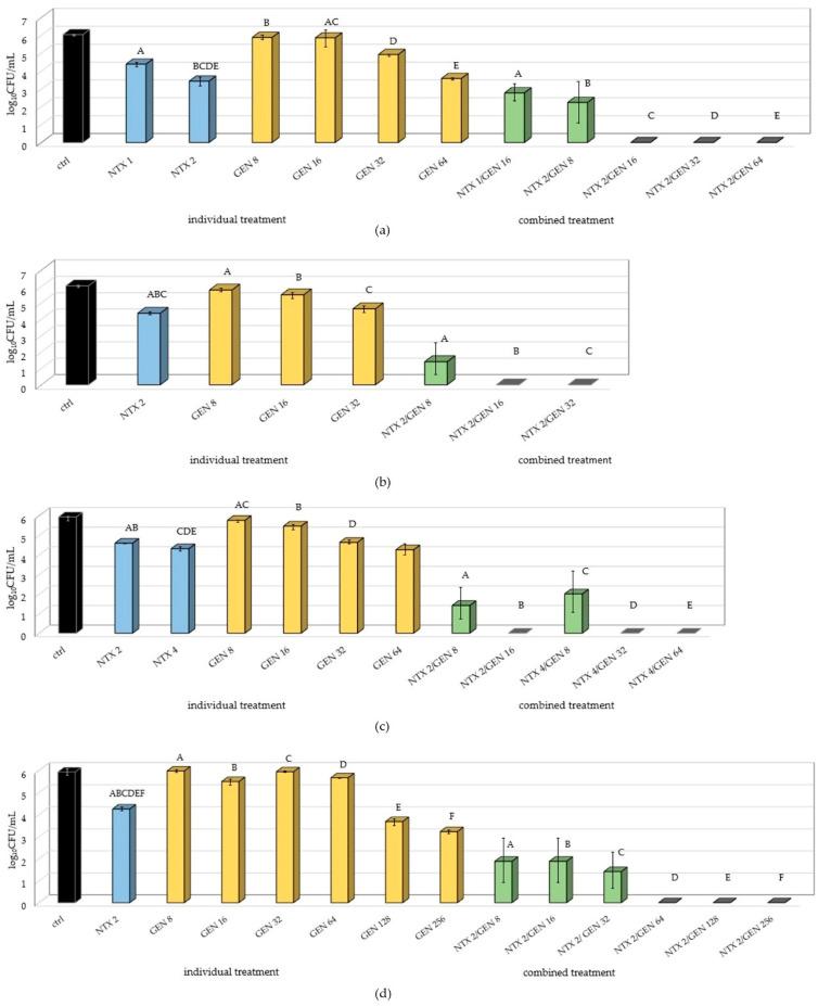
, responsible for a majority of human and nosocomial enterococcal infections, is intrinsically resistant to aminoglycoside antibiotics (such as gentamicin, GEN), which must be used in a combined therapy to be effective. Nitroxoline (NTX) is an old antibiotic, underused for decades, but rediscovered now in an era of growing antibiotic resistance. In this in vitro study, the types of interactions between NTX and GEN on 29 strains were analyzed with an aim to find synergistic antimicrobial and antiadhesion combinations. Transmission electron microscopy (TEM) and matrix-assisted laser desorption/ionization time-of-flight mass spectrometry (MALDI-TOF MS) were used to analyze changes in cell morphology and bacterial proteome after monotreatments and combined treatments. The results showed the synergistic effect for six combinations on eight strains, including the ATCC29212, and an additive effect for most strains. Combinations causing a complete inhibition of adhesion were established. Cell membrane integrity was affected by NTX, while combined NTX/GEN treatment caused dramatic changes in cell morphology. Upregulation of the expression of many proteins was established, with some emerging only after combined treatment. The results strongly imply that NTX has the potential for use in combined therapy with GEN against enterococci and it could further provide a substantial contribution to an ongoing fight against antimicrobial resistance and nosocomial infections.

摘要

粪肠球菌是导致大多数人类和医院内肠球菌感染的病原菌,其对氨基糖苷类抗生素(如庆大霉素,GEN)具有内在抗性,因此必须联合使用才能有效。硝羟喹啉(NTX)是一种曾被搁置数十年未充分利用的老抗生素,但在抗生素耐药性不断增加的时代如今又被重新发现。在这项体外研究中,分析了NTX和GEN对29株菌株的相互作用类型,旨在找到协同抗菌和抗黏附组合。采用透射电子显微镜(TEM)和基质辅助激光解吸电离飞行时间质谱(MALDI-TOF MS)分析单药治疗和联合治疗后细胞形态和细菌蛋白质组的变化。结果显示,包括ATCC29212在内的8株菌株上的6种组合具有协同作用,大多数菌株呈现相加作用。确定了能完全抑制黏附的组合。NTX影响细胞膜完整性,而NTX/GEN联合治疗导致细胞形态发生显著变化。确定了许多蛋白质表达上调,有些蛋白质仅在联合治疗后出现。结果强烈表明,NTX有潜力与GEN联合用于治疗肠球菌,可为正在进行的抗微生物耐药性和医院感染斗争做出重大贡献。

https://cdn.ncbi.nlm.nih.gov/pmc/blobs/7b13/11428728/70ec1f8bfaac/antibiotics-13-00829-g001.jpg

文献检索

告别复杂PubMed语法,用中文像聊天一样搜索,搜遍4000万医学文献。AI智能推荐,让科研检索更轻松。

立即免费搜索

文件翻译

保留排版,准确专业,支持PDF/Word/PPT等文件格式,支持 12+语言互译。

免费翻译文档

深度研究

AI帮你快速写综述,25分钟生成高质量综述,智能提取关键信息,辅助科研写作。

立即免费体验