• 文献检索
  • 文档翻译
  • 深度研究
  • 学术资讯
  • Suppr Zotero 插件Zotero 插件
  • 邀请有礼
  • 套餐&价格
  • 历史记录
应用&插件
Suppr Zotero 插件Zotero 插件浏览器插件Mac 客户端Windows 客户端微信小程序
定价
高级版会员购买积分包购买API积分包
服务
文献检索文档翻译深度研究API 文档MCP 服务
关于我们
关于 Suppr公司介绍联系我们用户协议隐私条款
关注我们

Suppr 超能文献

核心技术专利:CN118964589B侵权必究
粤ICP备2023148730 号-1Suppr @ 2026

文献检索

告别复杂PubMed语法,用中文像聊天一样搜索,搜遍4000万医学文献。AI智能推荐,让科研检索更轻松。

立即免费搜索

文件翻译

保留排版,准确专业,支持PDF/Word/PPT等文件格式,支持 12+语言互译。

免费翻译文档

深度研究

AI帮你快速写综述,25分钟生成高质量综述,智能提取关键信息,辅助科研写作。

立即免费体验

二氧化碳和氮气在 Co(ndc)(dabco) 金属有机骨架中的吸附。

Adsorption of Carbon Dioxide and Nitrogen in Co(ndc)(dabco) Metal-Organic Framework.

机构信息

LAQV-REQUIMTE, Department of Chemistry, NOVA School of Science and Technology, NOVA University Lisbon, 2829-516 Caparica, Portugal.

出版信息

Int J Mol Sci. 2024 Sep 15;25(18):9951. doi: 10.3390/ijms25189951.

DOI:10.3390/ijms25189951
PMID:39337439
原文链接:https://pmc.ncbi.nlm.nih.gov/articles/PMC11432696/
Abstract

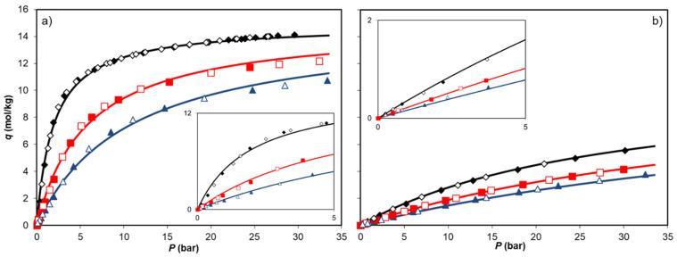
Metal-organic frameworks (MOFs) are promising materials for processes such as carbon dioxide (CO) capture or its storage. In this work, the adsorption of CO and nitrogen (N) in Co(ndc)(dabco) MOF (ndc: 2,6-naphthalenedicarboxylate; dabco: 1,4-diazabicyclo[2.2.2]octane) is reported for the first time over the temperature range of 273-323 K and up to 35 bar. The adsorption isotherms are successfully described using the Langmuir isotherm model. The heats of adsorption for CO and N, determined through the Clausius-Clapeyron equation, are 20-27 kJ/mol and 10-11 kJ/mol, respectively. The impact of using pressure and/or temperature swings on the CO working capacity is evaluated. If a flue gas with 15% CO is fed at 6 bar and 303 K and regenerated at 1 bar and 373 K, 1.58 moles of CO can be captured per kg of MOF. The analysis of the multicomponent adsorption of typical flue gas streams (15% CO balanced with N), using the ideal adsorbed solution theory (IAST), shows that at 1 bar and 303 K, the CO/N selectivity is 11.5. In summary, this work reports essential data for the design of adsorption-based processes for CO capture using a Co(ndc)(dabco) MOF, such as pressure swing adsorption (PSA).

摘要

金属-有机骨架(MOFs)是一种很有前途的材料,可用于二氧化碳(CO)捕获或储存等过程。在这项工作中,首次报道了 Co(ndc)(dabco) MOF(ndc:2,6-萘二甲酸;dabco:1,4-二氮杂双环[2.2.2]辛烷)中 CO 和氮气(N)的吸附,温度范围为 273-323 K,压力高达 35 bar。使用朗缪尔等温线模型成功地描述了吸附等温线。通过克劳修斯-克拉佩龙方程确定的 CO 和 N 的吸附热分别为 20-27 kJ/mol 和 10-11 kJ/mol。评估了压力和/或温度波动对 CO 工作容量的影响。如果在 6 bar 和 303 K 下进料含有 15% CO 的烟道气,并在 1 bar 和 373 K 下再生,那么每公斤 MOF 可以捕获 1.58 摩尔的 CO。使用理想吸附溶液理论(IAST)对典型烟道气混合物(15% CO 与 N 平衡)的多组分吸附进行分析表明,在 1 bar 和 303 K 下,CO/N 选择性为 11.5。总之,这项工作为使用 Co(ndc)(dabco) MOF 进行基于吸附的 CO 捕获设计提供了必要的数据,例如变压吸附(PSA)。

https://cdn.ncbi.nlm.nih.gov/pmc/blobs/bcbe/11432696/c9126946371f/ijms-25-09951-g008.jpg
https://cdn.ncbi.nlm.nih.gov/pmc/blobs/bcbe/11432696/77235c309285/ijms-25-09951-g001.jpg
https://cdn.ncbi.nlm.nih.gov/pmc/blobs/bcbe/11432696/388b14e4f288/ijms-25-09951-g002.jpg
https://cdn.ncbi.nlm.nih.gov/pmc/blobs/bcbe/11432696/49c291c503f6/ijms-25-09951-g003.jpg
https://cdn.ncbi.nlm.nih.gov/pmc/blobs/bcbe/11432696/7964a00a069d/ijms-25-09951-g004.jpg
https://cdn.ncbi.nlm.nih.gov/pmc/blobs/bcbe/11432696/e1c4203d3c3a/ijms-25-09951-g005.jpg
https://cdn.ncbi.nlm.nih.gov/pmc/blobs/bcbe/11432696/2e7f38804c71/ijms-25-09951-g006.jpg
https://cdn.ncbi.nlm.nih.gov/pmc/blobs/bcbe/11432696/12cf953b7bc1/ijms-25-09951-g007.jpg
https://cdn.ncbi.nlm.nih.gov/pmc/blobs/bcbe/11432696/c9126946371f/ijms-25-09951-g008.jpg
https://cdn.ncbi.nlm.nih.gov/pmc/blobs/bcbe/11432696/77235c309285/ijms-25-09951-g001.jpg
https://cdn.ncbi.nlm.nih.gov/pmc/blobs/bcbe/11432696/388b14e4f288/ijms-25-09951-g002.jpg
https://cdn.ncbi.nlm.nih.gov/pmc/blobs/bcbe/11432696/49c291c503f6/ijms-25-09951-g003.jpg
https://cdn.ncbi.nlm.nih.gov/pmc/blobs/bcbe/11432696/7964a00a069d/ijms-25-09951-g004.jpg
https://cdn.ncbi.nlm.nih.gov/pmc/blobs/bcbe/11432696/e1c4203d3c3a/ijms-25-09951-g005.jpg
https://cdn.ncbi.nlm.nih.gov/pmc/blobs/bcbe/11432696/2e7f38804c71/ijms-25-09951-g006.jpg
https://cdn.ncbi.nlm.nih.gov/pmc/blobs/bcbe/11432696/12cf953b7bc1/ijms-25-09951-g007.jpg
https://cdn.ncbi.nlm.nih.gov/pmc/blobs/bcbe/11432696/c9126946371f/ijms-25-09951-g008.jpg

相似文献

1
Adsorption of Carbon Dioxide and Nitrogen in Co(ndc)(dabco) Metal-Organic Framework.二氧化碳和氮气在 Co(ndc)(dabco) 金属有机骨架中的吸附。
Int J Mol Sci. 2024 Sep 15;25(18):9951. doi: 10.3390/ijms25189951.
2
A Selenophene-Incorporated Metal-Organic Framework for Enhanced CO Uptake and Adsorption Selectivity.硒吩基金属有机框架用于增强 CO 吸收和吸附选择性。
Molecules. 2020 Sep 24;25(19):4396. doi: 10.3390/molecules25194396.
3
Gas adsorption properties of highly porous metal-organic frameworks containing functionalized naphthalene dicarboxylate linkers.含有功能化萘二甲酸酯连接体的高孔隙率金属有机框架的气体吸附特性
Dalton Trans. 2014 Dec 28;43(48):18017-24. doi: 10.1039/c4dt02300e.
4
Unusually large microporous HKUST-1 via polyethylene glycol-templated synthesis: enhanced CO uptake with high selectivity over CH and N.通过聚乙二醇模板合成具有大微孔的 HKUST-1:对 CO 的高选择性吸收增强,对 CH 和 N 的选择性高。
Environ Sci Pollut Res Int. 2024 May;31(21):31355-31372. doi: 10.1007/s11356-024-33263-4. Epub 2024 Apr 17.
5
Hydroquinone and Quinone-Grafted Porous Carbons for Highly Selective CO2 Capture from Flue Gases and Natural Gas Upgrading.水合醌和醌接枝多孔碳在烟道气和天然气升级中对 CO2 的高选择性捕集。
Environ Sci Technol. 2015 Aug 4;49(15):9364-73. doi: 10.1021/acs.est.5b01652. Epub 2015 Jul 14.
6
Halogen-Decorated Metal-Organic Frameworks for Efficient and Selective CO Capture, Separation, and Chemical Fixation with Epoxides under Mild Conditions.用于在温和条件下高效、选择性地捕获、分离CO并与环氧化物进行化学固定的卤素修饰金属有机框架材料。
ACS Appl Mater Interfaces. 2024 Apr 11. doi: 10.1021/acsami.4c02560.
7
A Diaminopropane-Appended Metal-Organic Framework Enabling Efficient CO Capture from Coal Flue Gas via a Mixed Adsorption Mechanism.一种含二氨基丙烷的金属有机骨架,通过混合吸附机制实现从燃煤烟气中高效捕集 CO。
J Am Chem Soc. 2017 Sep 27;139(38):13541-13553. doi: 10.1021/jacs.7b07612. Epub 2017 Sep 14.
8
Adsorption of CO on amine-functionalized green metal-organic framework: an interaction between amine and CO molecules.CO 在胺功能化绿色金属有机骨架上的吸附:胺和 CO 分子之间的相互作用。
Environ Sci Pollut Res Int. 2019 Dec;26(36):36214-36225. doi: 10.1007/s11356-019-06717-3. Epub 2019 Nov 11.
9
Ideal Adsorbed Solution Theory (IAST) of Carbon Dioxide and Methane Adsorption Using Magnesium Gallate Metal-Organic Framework (Mg-gallate).使用镁镓石金属有机骨架(Mg-gallate)的二氧化碳和甲烷吸附的理想吸附溶液理论(IAST)。
Molecules. 2023 Mar 28;28(7):3016. doi: 10.3390/molecules28073016.
10
Adsorption of carbon dioxide, methane and nitrogen on an ultramicroporous copper metal-organic framework.二氧化碳、甲烷和氮气在超微孔铜基金属有机框架上的吸附
J Colloid Interface Sci. 2014 Sep 15;430:78-84. doi: 10.1016/j.jcis.2014.05.021. Epub 2014 May 23.

本文引用的文献

1
Net, excess and absolute adsorption and adsorption of helium.净吸附、过量吸附、绝对吸附以及氦的吸附
Adsorption (Boston). 2016;22(2):261-276. doi: 10.1007/s10450-016-9766-0. Epub 2016 Feb 1.
2
On the potential of phase-change adsorbents for CO capture by temperature swing adsorption.关于通过变温吸附用相变换吸附剂捕集 CO2 的潜力。
Faraday Discuss. 2016 Oct 20;192:153-179. doi: 10.1039/c6fd00040a.
3
The chemistry and applications of metal-organic frameworks.金属有机骨架的化学与应用。
Science. 2013 Aug 30;341(6149):1230444. doi: 10.1126/science.1230444.
4
Polyethylenimine-impregnated mesoporous silica: effect of amine loading and surface alkyl chains on CO2 adsorption.聚乙烯亚胺浸渍的介孔硅:胺载量和表面烷基链对 CO2 吸附的影响。
Langmuir. 2011 Oct 18;27(20):12411-6. doi: 10.1021/la202972t. Epub 2011 Sep 21.
5
Net adsorption: a thermodynamic framework for supercritical gas adsorption and storage in porous solids.网络吸附:超临界气体在多孔固体中吸附和储存的热力学框架。
Langmuir. 2010 Nov 16;26(22):17013-23. doi: 10.1021/la102186q. Epub 2010 Oct 1.
6
Industrial applications of metal-organic frameworks.金属有机框架的工业应用。
Chem Soc Rev. 2009 May;38(5):1284-93. doi: 10.1039/b804680h. Epub 2009 Mar 16.
7
Efficient hydrogen sorption in 8-connected MOFs based on trinuclear pinwheel motifs.基于三核风车结构基序的8连接金属有机框架中的高效氢吸附。
Inorg Chem. 2008 Jun 16;47(12):5355-9. doi: 10.1021/ic800274w. Epub 2008 May 6.
8
Hybrid porous solids: past, present, future.混合多孔固体:过去、现在与未来。
Chem Soc Rev. 2008 Jan;37(1):191-214. doi: 10.1039/b618320b. Epub 2007 Sep 19.