Suppr超能文献

一项随机研究,评估恩格列净和托吡酯双联疗法对热量限制饮食的超重/肥胖非糖尿病患者的人体测量学和代谢指标的影响。

Randomized study of the effects of empagliflozin and topiramate dual therapy on anthropometric and metabolic indices in non-diabetic individuals with overweight/obesity on a calorie-restricted diet.

机构信息

Obesity Research Center, Research Institute for Endocrine Sciences, Shahid Beheshti University of Medical Sciences, Tehran, Iran.

Isfahan Endocrine and Metabolism Research Center, Isfahan University of Medical Sciences, Isfahan, Iran.

出版信息

Eat Weight Disord. 2024 Oct 3;29(1):64. doi: 10.1007/s40519-024-01692-2.

Abstract

OBJECTIVES

The objective of this study was to evaluate the effectiveness of the combined use of empagliflozin (EMPA) and topiramate (TPM) versus a placebo in overweight/obese individuals without diabetes on a calorie-restricted diet.

METHODS

In this study, 44 non-diabetic and overweight/obese subjects who were on a calorie restricted diet were randomly assigned into 2 groups: (1) Participants received a 10 mg EMPA tablet daily plus TPM tablet (at the 1st week 25 mg once a day and from the second week 25 mg twice a day); (2) Participants received an empagliflozin placebo (daily) plus a topiramate placebo (as mentioned for topiramate tablet in group 1), for 12 weeks. At baseline and weeks 4, 8, 12, weight, height, body mass index (BMI), waist circumference (WC), and body composition were evaluated. Before and after the intervention, blood pressure, C reactive protein, and glucose and lipid profile parameters were measured.

RESULTS

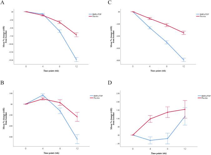
The EMPA/TPM group, compared to placebo, had a greater percent change of weight at week 12 (- 8.92 ± 1.80 vs. - 4.93 ± 1.17). The intervention group had a greater percent change of fat mass and fat percent at week 12 (P < 0.05). However, there was no difference in the percent of change in fat-free percent between the two groups at week 12 (P = 0.577). Within-group analysis found a significant reduction in SBP, DBP, FBS, insulin, HOMA-IR, TC, LDL, HDL, TG, and CRP in both groups (P < 0.05). At week 12, no statistically significant difference was observed between the two groups in any of mentioned variables (P > 0.05).

CONCLUSION

In non-diabetic overweight/obese individuals, the combination of EMPA/TPM and calorie restriction led to a notable decrease in body weight and was generally well-tolerated. Further research is required to evaluate the potential advantages of utilizing this combination for sustained weight management in the long run.

LEVEL I

Randomized clinical trial.

摘要

目的

本研究旨在评估在限制热量饮食的情况下,对于非糖尿病的超重/肥胖个体,联合使用恩格列净(EMPA)和托吡酯(TPM)与安慰剂相比的有效性。

方法

在这项研究中,44 名非糖尿病且超重/肥胖的受试者在限制热量饮食的基础上被随机分为两组:(1)受试者每日服用 10mg EMPA 片,同时加用 TPM 片(第 1 周每日 25mg,第 2 周起每日 25mg,分两次服用);(2)受试者服用恩格列净安慰剂(每日),同时加用托吡酯安慰剂(同组 1 中的托吡酯片),为期 12 周。在基线和第 4、8、12 周时评估体重、身高、体重指数(BMI)、腰围(WC)和身体成分。在干预前后测量血压、C 反应蛋白以及血糖和血脂参数。

结果

与安慰剂组相比,EMPA/TPM 组在第 12 周时体重的百分比变化更大(-8.92±1.80%vs.-4.93±1.17%)。干预组在第 12 周时体脂和体脂百分比的百分比变化更大(P<0.05)。然而,两组在第 12 周时无脂肪百分比的百分比变化无差异(P=0.577)。组内分析发现两组的 SBP、DBP、FBS、胰岛素、HOMA-IR、TC、LDL、HDL、TG 和 CRP 均显著降低(P<0.05)。在第 12 周时,两组间上述变量均无统计学差异(P>0.05)。

结论

在非糖尿病的超重/肥胖个体中,EMPA/TPM 联合热量限制可显著降低体重,且总体耐受性良好。需要进一步研究评估长期利用这种联合治疗方案进行持续体重管理的潜在优势。

等级

随机临床试验。

https://cdn.ncbi.nlm.nih.gov/pmc/blobs/ffc0/11450015/ccbe26d1438f/40519_2024_1692_Fig1_HTML.jpg

文献AI研究员

20分钟写一篇综述,助力文献阅读效率提升50倍。

立即体验

用中文搜PubMed

大模型驱动的PubMed中文搜索引擎

马上搜索

文档翻译

学术文献翻译模型,支持多种主流文档格式。

立即体验