• 文献检索
  • 文档翻译
  • 深度研究
  • 学术资讯
  • Suppr Zotero 插件Zotero 插件
  • 邀请有礼
  • 套餐&价格
  • 历史记录
应用&插件
Suppr Zotero 插件Zotero 插件浏览器插件Mac 客户端Windows 客户端微信小程序
定价
高级版会员购买积分包购买API积分包
服务
文献检索文档翻译深度研究API 文档MCP 服务
关于我们
关于 Suppr公司介绍联系我们用户协议隐私条款
关注我们

Suppr 超能文献

核心技术专利:CN118964589B侵权必究
粤ICP备2023148730 号-1Suppr @ 2026

文献检索

告别复杂PubMed语法,用中文像聊天一样搜索,搜遍4000万医学文献。AI智能推荐,让科研检索更轻松。

立即免费搜索

文件翻译

保留排版,准确专业,支持PDF/Word/PPT等文件格式,支持 12+语言互译。

免费翻译文档

深度研究

AI帮你快速写综述,25分钟生成高质量综述,智能提取关键信息,辅助科研写作。

立即免费体验

TL 通过其抗炎潜力促进肉鸡的肠道健康,这得益于细菌细胞外多糖的贡献。

TL promotes gut health of broilers by the contribution of bacterial extracellular polysaccharides through its anti-inflammatory potential.

机构信息

National Key Laboratory of Agricultural Microbiology, Huazhong Agricultural University, Wuhan, China.

College of Veterinary Medicine, Huazhong Agricultural University, Wuhan, China.

出版信息

Front Immunol. 2024 Sep 23;15:1455996. doi: 10.3389/fimmu.2024.1455996. eCollection 2024.

DOI:10.3389/fimmu.2024.1455996
PMID:39376562
原文链接:https://pmc.ncbi.nlm.nih.gov/articles/PMC11456473/
Abstract

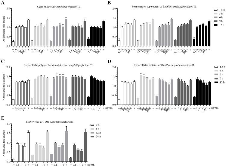
The focal point of probiotic efficacy and a crucial factor influencing poultry cultivation lies in the level of intestinal inflammation. In conventional farming processes, the reduction of intestinal inflammation generally proves advantageous for poultry growth. This study investigated the impact of TL (B.A.-TL) on inflammatory factor expression at both tissue and cellular levels, alongside an exploration of main active secondary metabolites. The results demonstrated that broiler feeding with a basal diet containing 4 × 10 CFU/kg B.A.-TL markedly enhanced chicken growth performance, concomitant with a significant decrease in the expression of genes encoding inflammatory cytokines (e.g., , , , , , , , and ) in jejunum and ileum tissues. The extracellular polysaccharides of B.A.-TL (EPS-TL) exhibited notable suppression of elevated inflammatory cytokine expression induced by O55 lipopolysaccharides (LPS) in chicken macrophage-like cells (HD11) and primary chicken embryonic small intestinal epithelial cells (PCIECs). Moreover, EPS-TL demonstrated inhibitory effect on NF-κB signaling pathway activation. These findings suggested that the metabolic product of B.A.-TL (i.e., EPS-TL) could partly mitigate the enhanced expression of inflammatory factors induced by LPS stimulation, indicating its potential as a key component contributing to the anti-inflammatory effects of B.A.-TL.

摘要

益生菌功效的焦点和影响家禽养殖的关键因素在于肠道炎症的水平。在传统的养殖过程中,减少肠道炎症通常对家禽的生长是有利的。本研究调查了 TL(B.A.-TL)对组织和细胞水平炎症因子表达的影响,同时还探索了主要的活性次生代谢物。结果表明,在基础日粮中添加 4×10 CFU/kg B.A.-TL 可显著提高肉鸡的生长性能,同时显著降低空肠和回肠组织中编码炎症细胞因子的基因的表达(例如, 、 、 、 、 、 、 )。B.A.-TL 的胞外多糖(EPS-TL)可显著抑制 O55 脂多糖(LPS)诱导的鸡巨噬细胞样细胞(HD11)和原代鸡胚小肠上皮细胞(PCIECs)中炎症细胞因子的表达上调。此外,EPS-TL 对 NF-κB 信号通路的激活有抑制作用。这些发现表明,B.A.-TL 的代谢产物(即 EPS-TL)可以部分减轻 LPS 刺激引起的炎症因子表达增强,表明其作为 B.A.-TL 抗炎作用的关键成分之一具有潜力。

https://cdn.ncbi.nlm.nih.gov/pmc/blobs/ea3b/11456473/51de172ddfc7/fimmu-15-1455996-g009.jpg
https://cdn.ncbi.nlm.nih.gov/pmc/blobs/ea3b/11456473/6afbc664e75b/fimmu-15-1455996-g001.jpg
https://cdn.ncbi.nlm.nih.gov/pmc/blobs/ea3b/11456473/50c50a50645b/fimmu-15-1455996-g002.jpg
https://cdn.ncbi.nlm.nih.gov/pmc/blobs/ea3b/11456473/024b0a3bf47b/fimmu-15-1455996-g003.jpg
https://cdn.ncbi.nlm.nih.gov/pmc/blobs/ea3b/11456473/3289d699ae4d/fimmu-15-1455996-g004.jpg
https://cdn.ncbi.nlm.nih.gov/pmc/blobs/ea3b/11456473/78c23fcf66ec/fimmu-15-1455996-g005.jpg
https://cdn.ncbi.nlm.nih.gov/pmc/blobs/ea3b/11456473/50993fffcce6/fimmu-15-1455996-g006.jpg
https://cdn.ncbi.nlm.nih.gov/pmc/blobs/ea3b/11456473/cddf83391c46/fimmu-15-1455996-g007.jpg
https://cdn.ncbi.nlm.nih.gov/pmc/blobs/ea3b/11456473/63b5efe1b4a2/fimmu-15-1455996-g008.jpg
https://cdn.ncbi.nlm.nih.gov/pmc/blobs/ea3b/11456473/51de172ddfc7/fimmu-15-1455996-g009.jpg
https://cdn.ncbi.nlm.nih.gov/pmc/blobs/ea3b/11456473/6afbc664e75b/fimmu-15-1455996-g001.jpg
https://cdn.ncbi.nlm.nih.gov/pmc/blobs/ea3b/11456473/50c50a50645b/fimmu-15-1455996-g002.jpg
https://cdn.ncbi.nlm.nih.gov/pmc/blobs/ea3b/11456473/024b0a3bf47b/fimmu-15-1455996-g003.jpg
https://cdn.ncbi.nlm.nih.gov/pmc/blobs/ea3b/11456473/3289d699ae4d/fimmu-15-1455996-g004.jpg
https://cdn.ncbi.nlm.nih.gov/pmc/blobs/ea3b/11456473/78c23fcf66ec/fimmu-15-1455996-g005.jpg
https://cdn.ncbi.nlm.nih.gov/pmc/blobs/ea3b/11456473/50993fffcce6/fimmu-15-1455996-g006.jpg
https://cdn.ncbi.nlm.nih.gov/pmc/blobs/ea3b/11456473/cddf83391c46/fimmu-15-1455996-g007.jpg
https://cdn.ncbi.nlm.nih.gov/pmc/blobs/ea3b/11456473/63b5efe1b4a2/fimmu-15-1455996-g008.jpg
https://cdn.ncbi.nlm.nih.gov/pmc/blobs/ea3b/11456473/51de172ddfc7/fimmu-15-1455996-g009.jpg

相似文献

1
TL promotes gut health of broilers by the contribution of bacterial extracellular polysaccharides through its anti-inflammatory potential.TL 通过其抗炎潜力促进肉鸡的肠道健康,这得益于细菌细胞外多糖的贡献。
Front Immunol. 2024 Sep 23;15:1455996. doi: 10.3389/fimmu.2024.1455996. eCollection 2024.
2
Preliminary Study on the Effect of TL on Cecal Bacterial Community Structure of Broiler Chickens.TL 对肉鸡盲肠细菌群落结构影响的初步研究。
Biomed Res Int. 2019 Oct 3;2019:5431354. doi: 10.1155/2019/5431354. eCollection 2019.
3
TL Downregulates the Ileal Expression of Genes Involved in Immune Responses in Broiler Chickens to Improve Growth Performance.TL下调肉鸡回肠中参与免疫反应的基因表达以提高生长性能。
Microorganisms. 2021 Feb 13;9(2):382. doi: 10.3390/microorganisms9020382.
4
Dietary supplementation with Macleaya cordata extract alleviates intestinal injury in broiler chickens challenged with lipopolysaccharide by regulating gut microbiota and plasma metabolites.用博落回提取物进行膳食补充可通过调节肠道微生物群和血浆代谢物来减轻脂多糖攻毒导致的肉鸡肠道损伤。
Front Immunol. 2024 Jul 19;15:1414869. doi: 10.3389/fimmu.2024.1414869. eCollection 2024.
5
Bacillus amyloliquefaciens CECT 5940 alone or in combination with antibiotic growth promoters improves performance in broilers under enteric pathogen challenge.解淀粉芽孢杆菌 CECT5940 单独或与抗生素生长促进剂联合使用可改善受肠道病原体挑战的肉鸡的生产性能。
Poult Sci. 2019 Oct 1;98(10):4391-4400. doi: 10.3382/ps/pez223.
6
Chlorogenic acid ameliorates intestinal inflammation by inhibiting NF-κB and endoplasmic reticulum stress in lipopolysaccharide-challenged broilers.绿原酸通过抑制脂多糖刺激肉鸡中的 NF-κB 和内质网应激来改善肠道炎症。
Poult Sci. 2024 May;103(5):103586. doi: 10.1016/j.psj.2024.103586. Epub 2024 Feb 24.
7
Bacillus amyloliquefaciens TL106 protects mice against enterohaemorrhagic Escherichia coli O157:H7-induced intestinal disease through improving immune response, intestinal barrier function and gut microbiota.解淀粉芽胞杆菌 TL106 通过改善免疫应答、肠道屏障功能和肠道微生物群来保护小鼠免受肠出血性大肠杆菌 O157:H7 诱导的肠道疾病。
J Appl Microbiol. 2021 Jul;131(1):470-484. doi: 10.1111/jam.14952. Epub 2020 Dec 18.
8
Exopolysaccharides of Amy-1 Mitigate Inflammation by Inhibiting ERK1/2 and NF-κB Pathways and Activating p38/Nrf2 Pathway.Amy-1 产生的胞外多糖通过抑制 ERK1/2 和 NF-κB 通路并激活 p38/Nrf2 通路来减轻炎症。
Int J Mol Sci. 2022 Sep 6;23(18):10237. doi: 10.3390/ijms231810237.
9
Inclusion of Bacillus amyloliquefaciens strain TOA5001 in the diet of broilers suppresses the symptoms of coccidiosis by modulating intestinal microbiota.在肉鸡日粮中添加解淀粉芽孢杆菌菌株TOA5001可通过调节肠道微生物群抑制球虫病症状。
Anim Sci J. 2018 Apr;89(4):679-687. doi: 10.1111/asj.12980. Epub 2017 Dec 28.
10
Effects of Dietary Astragalus Polysaccharide Supplementation on the Th17/Treg Balance and the Gut Microbiota of Broiler Chickens Challenged With Necrotic Enteritis.日粮黄芪多糖对坏死性肠炎肉鸡 Th17/Treg 平衡和肠道微生物区系的影响。
Front Immunol. 2022 Feb 21;13:781934. doi: 10.3389/fimmu.2022.781934. eCollection 2022.

引用本文的文献

1
Regulates the Signaling Pathway to Improve the Intestinal (Caco-2 Cells and Chicken Jejunum) Oxidative Stress Response Induced by Lipopolysaccharide (LPS).调节信号通路以改善脂多糖(LPS)诱导的肠道(Caco-2细胞和鸡空肠)氧化应激反应。
Antioxidants (Basel). 2024 Dec 17;13(12):1550. doi: 10.3390/antiox13121550.

本文引用的文献

1
Structure and Properties of Exopolysaccharide Produced by and Its Potential Applications.[具体微生物名称]产生的胞外多糖的结构与性质及其潜在应用
Polymers (Basel). 2024 Apr 7;16(7):1004. doi: 10.3390/polym16071004.
2
Effect of Tannic Acid on Antioxidant Function, Immunity, and Intestinal Barrier of Broilers Co-Infected with Coccidia and .单宁酸对球虫和[此处原文缺失部分内容]共感染肉鸡抗氧化功能、免疫力及肠道屏障的影响
Animals (Basel). 2024 Mar 19;14(6):955. doi: 10.3390/ani14060955.
3
Comparison of the safety and efficacy of the wild-type and lpxL/lpxM mutant inactivated vaccine against the avian pathogenic Escherichia coli O1, O2, and O78 challenge.
比较野生型和 lpxL/lpxM 突变体灭活疫苗对禽致病性大肠杆菌 O1、O2 和 O78 攻毒的安全性和效果。
Vaccine. 2024 Apr 11;42(10):2707-2715. doi: 10.1016/j.vaccine.2024.03.038. Epub 2024 Mar 18.
4
Probiotics Mix Supplementation in a Broiler Leaky Gut Model.在肉鸡肠道渗漏模型中补充益生菌混合物
Microorganisms. 2024 Feb 19;12(2):419. doi: 10.3390/microorganisms12020419.
5
isoquinoline alkaloids attenuate lipopolysaccharide-induced intestinal epithelium injury in broiler chickens by co-regulating the TLR4/MyD88/NF-κB and Nrf2 signaling pathways.异喹啉生物碱通过调控 TLR4/MyD88/NF-κB 和 Nrf2 信号通路来减轻脂多糖诱导的肉鸡肠上皮损伤。
Front Immunol. 2024 Jan 17;14:1335359. doi: 10.3389/fimmu.2023.1335359. eCollection 2023.
6
The caecal microbiota promotes the acute inflammatory response and the loss of the intestinal barrier integrity during severe infection.盲肠微生物群促进严重感染期间的急性炎症反应和肠道屏障完整性的丧失。
Front Cell Infect Microbiol. 2023 Aug 23;13:1250080. doi: 10.3389/fcimb.2023.1250080. eCollection 2023.
7
Mechanisms underlying the Effects of Heat Stress on Intestinal Integrity, Inflammation, and Microbiota in Chickens.热应激对鸡肠道完整性、炎症及微生物群影响的潜在机制
J Poult Sci. 2023 Aug 9;60(2):2023021. doi: 10.2141/jpsa.2023021. eCollection 2023.
8
Establishment and characterization of an SV40 immortalized chicken intestinal epithelial cell line.建立并鉴定一株 SV40 永生化鸡肠上皮细胞系。
Poult Sci. 2023 Oct;102(10):102864. doi: 10.1016/j.psj.2023.102864. Epub 2023 Jul 14.
9
Beneficial Effects of D1 Soy Milk Supplementation on Serum Biochemical Indexes and Intestinal Health of Bearded Chickens.添加D1豆浆对胡须鸡血清生化指标和肠道健康的有益影响。
Microorganisms. 2023 Jun 26;11(7):1660. doi: 10.3390/microorganisms11071660.
10
Experimental Pathogenicity of H9N2 Avian Influenza Viruses Harboring a Tri-Basic Hemagglutinin Cleavage Site in Sonali and Broiler Chickens.在索纳利鸡和肉鸡中携带三碱性血凝素裂解位点的 H9N2 禽流感病毒的实验致病性。
Viruses. 2023 Feb 7;15(2):461. doi: 10.3390/v15020461.