• 文献检索
  • 文档翻译
  • 深度研究
  • 学术资讯
  • Suppr Zotero 插件Zotero 插件
  • 邀请有礼
  • 套餐&价格
  • 历史记录
应用&插件
Suppr Zotero 插件Zotero 插件浏览器插件Mac 客户端Windows 客户端微信小程序
定价
高级版会员购买积分包购买API积分包
服务
文献检索文档翻译深度研究API 文档MCP 服务
关于我们
关于 Suppr公司介绍联系我们用户协议隐私条款
关注我们

Suppr 超能文献

核心技术专利:CN118964589B侵权必究
粤ICP备2023148730 号-1Suppr @ 2026

文献检索

告别复杂PubMed语法,用中文像聊天一样搜索,搜遍4000万医学文献。AI智能推荐,让科研检索更轻松。

立即免费搜索

文件翻译

保留排版,准确专业,支持PDF/Word/PPT等文件格式,支持 12+语言互译。

免费翻译文档

深度研究

AI帮你快速写综述,25分钟生成高质量综述,智能提取关键信息,辅助科研写作。

立即免费体验

成分变化对HfNbTaTiZr高熵合金拉伸力学性能的影响:一项分子动力学研究。

The effect of changing constituents on tensile mechanical properties of HfNbTaTiZr high entropy alloy: A molecular dynamics study.

作者信息

Dujana Wasif Abu, Ahmad Sazzad, Noman Md Nazmul Haque, Kabir Mohammad Humaun

机构信息

Department of Materials and Metallurgical Engineering, Chittagong University of Engineering & Technology, Chattogram, 4349, Bangladesh.

Department of Materials Science and Engineering, Khulna University of Engineering & Technology, Khulna, 9201, Bangladesh.

出版信息

Heliyon. 2024 Sep 24;10(19):e38350. doi: 10.1016/j.heliyon.2024.e38350. eCollection 2024 Oct 15.

DOI:10.1016/j.heliyon.2024.e38350
PMID:39397917
原文链接:https://pmc.ncbi.nlm.nih.gov/articles/PMC11470405/
Abstract

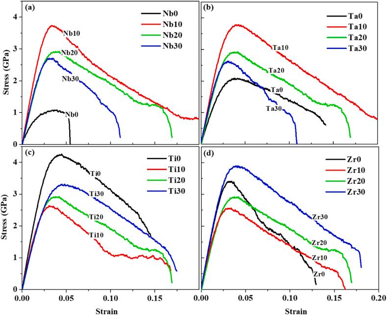
The recent trend of high-entropy alloys (HEAs) was studied extensively for their promising mechanical properties, but individual constituents' effects have remained unexplored. In this work, the effects of changing the percentage of elements of HfNbTaTiZr-HEA on the mechanical properties were analyzed during uniaxial tension using molecular dynamics simulation. The tensile strength and modulus of elastic properties of the samples were analyzed. It was found that adding Nb or Ta up to 10 % ( Nb10/Ta10) in the high entropy alloys increased the ultimate tensile strength (UTS) from 2.9 GPa in the base alloy to 3.8/3.9 GPa (Nb10/Ta10) respectively, but further increment of these elements to 30 % resulted in a downgrade of UTS to 2.7 GPa. Similarly, the modulus of elasticity increased from 117.7 (±3) GPa in the base alloy to 137.7/129 (±3) GPa (Nb10/Ta10) respectively, but fell to 112-115 GPa upon further increment. The initial increase in strength could be due to the solid solution strengthening mechanism. However, further increases in these elements might hinder the development of a homogeneous solid solution because of differences in atomic size and crystal structure, which could ultimately reduce the alloy's strength. However, the effect of Ti and Zr follows an opposite trend as compared to Nb and Ta. Furthermore, the optimum composition of HEAs alloys was analyzed using a surface-contour plot and suggests minimizing the inclusion of Ta for maximizing the UTS, E, and %Elongation. Also, the high-temperature behavior of the optimized HEA's alloy was analyzed which showed a deterioration in properties at elevated temperature. The fracture evolution of the samples showed cup and cone-type fractures propagating under strain, the linear thermal expansion coefficient of HfNbTaTiZr-HEA was also calculated and found closer to the literature value.

摘要

高熵合金(HEAs)因其具有良好的机械性能而受到广泛研究,但其单个成分的影响仍未得到探索。在这项工作中,使用分子动力学模拟分析了在单轴拉伸过程中改变HfNbTaTiZr-HEA元素百分比对机械性能的影响。分析了样品的拉伸强度和弹性模量。结果发现,在高熵合金中添加高达10%的Nb或Ta(Nb10/Ta10)可使极限抗拉强度(UTS)从基础合金中的2.9 GPa分别提高到3.8/3.9 GPa(Nb10/Ta10),但这些元素进一步增加到30%会导致UTS降至2.7 GPa。同样,弹性模量从基础合金中的117.7(±3)GPa分别增加到137.7/129(±3)GPa(Nb10/Ta10),但进一步增加后降至112 - 115 GPa。强度的最初增加可能归因于固溶强化机制。然而,这些元素的进一步增加可能会由于原子尺寸和晶体结构的差异而阻碍均匀固溶体的形成,这最终可能会降低合金的强度。然而,与Nb和Ta相比,Ti和Zr的影响呈现相反的趋势。此外,使用表面等高线图分析了高熵合金的最佳成分,并建议尽量减少Ta的含量以最大化UTS、E和伸长率。还分析了优化后的高熵合金在高温下的行为,结果表明在高温下性能会恶化。样品的断裂演变显示在应变下杯锥型断裂扩展,还计算了HfNbTaTiZr-HEA的线性热膨胀系数,发现其与文献值接近。

https://cdn.ncbi.nlm.nih.gov/pmc/blobs/1b48/11470405/efc57d3d767c/gr10.jpg
https://cdn.ncbi.nlm.nih.gov/pmc/blobs/1b48/11470405/4f542070c155/gr1.jpg
https://cdn.ncbi.nlm.nih.gov/pmc/blobs/1b48/11470405/6a82e67a6ed9/gr2.jpg
https://cdn.ncbi.nlm.nih.gov/pmc/blobs/1b48/11470405/39efd076bff3/gr3.jpg
https://cdn.ncbi.nlm.nih.gov/pmc/blobs/1b48/11470405/4cd2e1350bc3/gr4.jpg
https://cdn.ncbi.nlm.nih.gov/pmc/blobs/1b48/11470405/8c6244bdeba6/gr5.jpg
https://cdn.ncbi.nlm.nih.gov/pmc/blobs/1b48/11470405/01539ab794ba/gr6.jpg
https://cdn.ncbi.nlm.nih.gov/pmc/blobs/1b48/11470405/ab1aa3155c8a/gr7.jpg
https://cdn.ncbi.nlm.nih.gov/pmc/blobs/1b48/11470405/322c7bd1dc8c/gr8.jpg
https://cdn.ncbi.nlm.nih.gov/pmc/blobs/1b48/11470405/34757437562e/gr9.jpg
https://cdn.ncbi.nlm.nih.gov/pmc/blobs/1b48/11470405/efc57d3d767c/gr10.jpg
https://cdn.ncbi.nlm.nih.gov/pmc/blobs/1b48/11470405/4f542070c155/gr1.jpg
https://cdn.ncbi.nlm.nih.gov/pmc/blobs/1b48/11470405/6a82e67a6ed9/gr2.jpg
https://cdn.ncbi.nlm.nih.gov/pmc/blobs/1b48/11470405/39efd076bff3/gr3.jpg
https://cdn.ncbi.nlm.nih.gov/pmc/blobs/1b48/11470405/4cd2e1350bc3/gr4.jpg
https://cdn.ncbi.nlm.nih.gov/pmc/blobs/1b48/11470405/8c6244bdeba6/gr5.jpg
https://cdn.ncbi.nlm.nih.gov/pmc/blobs/1b48/11470405/01539ab794ba/gr6.jpg
https://cdn.ncbi.nlm.nih.gov/pmc/blobs/1b48/11470405/ab1aa3155c8a/gr7.jpg
https://cdn.ncbi.nlm.nih.gov/pmc/blobs/1b48/11470405/322c7bd1dc8c/gr8.jpg
https://cdn.ncbi.nlm.nih.gov/pmc/blobs/1b48/11470405/34757437562e/gr9.jpg
https://cdn.ncbi.nlm.nih.gov/pmc/blobs/1b48/11470405/efc57d3d767c/gr10.jpg

相似文献

1
The effect of changing constituents on tensile mechanical properties of HfNbTaTiZr high entropy alloy: A molecular dynamics study.成分变化对HfNbTaTiZr高熵合金拉伸力学性能的影响:一项分子动力学研究。
Heliyon. 2024 Sep 24;10(19):e38350. doi: 10.1016/j.heliyon.2024.e38350. eCollection 2024 Oct 15.
2
Composition Design and Tensile Properties of Additive Manufactured Low Density Hf-Nb-Ta-Ti-Zr High Entropy Alloys Based on Atomic Simulations.基于原子模拟的增材制造低密度铪-铌-钽-钛-锆高熵合金的成分设计与拉伸性能
Materials (Basel). 2023 May 29;16(11):4039. doi: 10.3390/ma16114039.
3
Microstructure and Room Temperature Mechanical Properties of Different 3 and 4 Element Medium Entropy Alloys from HfNbTaTiZr System.HfNbTaTiZr系不同3元和4元中熵合金的微观结构及室温力学性能
Entropy (Basel). 2019 Jan 26;21(2):114. doi: 10.3390/e21020114.
4
Effects of Mo, Nb, Ta, Ti, and Zr on Mechanical Properties of Equiatomic Hf-Mo-Nb-Ta-Ti-Zr Alloys.钼、铌、钽、钛和锆对等原子比铪-钼-铌-钽-钛-锆合金力学性能的影响
Entropy (Basel). 2018 Dec 25;21(1):15. doi: 10.3390/e21010015.
5
Effect of Doping with Different Nb Contents on the Properties of CoCrFeNi High-Entropy Alloys.不同铌含量掺杂对CoCrFeNi高熵合金性能的影响。
Materials (Basel). 2023 Sep 26;16(19):6407. doi: 10.3390/ma16196407.
6
Combining Machine Learning and Molecular Dynamics to Predict Mechanical Properties and Microstructural Evolution of FeNiCrCoCu High-Entropy Alloys.结合机器学习与分子动力学预测FeNiCrCoCu高熵合金的力学性能和微观结构演变
Nanomaterials (Basel). 2023 Mar 7;13(6):968. doi: 10.3390/nano13060968.
7
Optimizing the cell compatibility and mechanical properties in TiZrNbTa medium-entropy alloy/β-Ti composites through phase transformation.通过相变优化 TiZrNbTa 中熵合金/β-Ti 复合材料的细胞相容性和力学性能。
Acta Biomater. 2024 Jun;181:469-482. doi: 10.1016/j.actbio.2024.05.004. Epub 2024 May 7.
8
Improving Mechanical Properties of Co-Cr-Fe-Ni High Entropy Alloy via C and Mo Microalloying.通过碳和钼微合金化改善钴铬铁镍高熵合金的力学性能
Materials (Basel). 2024 Jan 22;17(2):529. doi: 10.3390/ma17020529.
9
Development of Ti-Nb-Zr alloys with high elastic admissible strain for temporary orthopedic devices.开发具有高弹性允许应变的 Ti-Nb-Zr 合金,用于临时矫形设备。
Acta Biomater. 2015 Jul;20:176-187. doi: 10.1016/j.actbio.2015.03.023. Epub 2015 Mar 25.
10
Impact of scandium on mechanical properties, corrosion behavior, friction and wear performance, and cytotoxicity of a β-type Ti-24Nb-38Zr-2Mo alloy for orthopedic applications.钪对用于骨科应用的β型 Ti-24Nb-38Zr-2Mo 合金的机械性能、腐蚀行为、摩擦磨损性能和细胞毒性的影响。
Acta Biomater. 2021 Oct 15;134:791-803. doi: 10.1016/j.actbio.2021.07.061. Epub 2021 Jul 28.

引用本文的文献

1
Phase Stability and Transitions in High-Entropy Alloys: Insights from Lattice Gas Models, Computational Simulations, and Experimental Validation.高熵合金中的相稳定性与转变:来自晶格气体模型、计算模拟和实验验证的见解
Entropy (Basel). 2025 Apr 25;27(5):464. doi: 10.3390/e27050464.

本文引用的文献

1
Computational property predictions of Ta-Nb-Hf-Zr high-entropy alloys.Ta-Nb-Hf-Zr高熵合金的计算性能预测
Sci Rep. 2021 Mar 1;11(1):4815. doi: 10.1038/s41598-021-84260-3.
2
The Plastic Deformation Mechanisms of hcp Single Crystals with Different Orientations: Molecular Dynamics Simulations.不同取向hcp单晶的塑性变形机制:分子动力学模拟
Materials (Basel). 2021 Feb 4;14(4):733. doi: 10.3390/ma14040733.
3
Microstructure and Room Temperature Mechanical Properties of Different 3 and 4 Element Medium Entropy Alloys from HfNbTaTiZr System.
HfNbTaTiZr系不同3元和4元中熵合金的微观结构及室温力学性能
Entropy (Basel). 2019 Jan 26;21(2):114. doi: 10.3390/e21020114.
4
Multi-scale nacre-inspired lamella-structured Ti-Ta composites with high strength and low modulus for load-bearing orthopedic and dental applications.具有高强度和低模量的多尺度珍珠母启发的层状结构钛钽复合材料,用于承重骨科和牙科应用。
Mater Sci Eng C Mater Biol Appl. 2021 Jan;118:111458. doi: 10.1016/j.msec.2020.111458. Epub 2020 Aug 27.
5
Temperature and Pressure Dependences of the Elastic Properties of Tantalum Single Crystals Under <100> Tensile Loading: A Molecular Dynamics Study.<100>拉伸载荷下钽单晶弹性性质的温度和压力依赖性:分子动力学研究
Nanoscale Res Lett. 2018 Apr 24;13(1):118. doi: 10.1186/s11671-018-2526-1.
6
Development of an interatomic potential for the simulation of defects, plasticity, and phase transformations in titanium.用于模拟钛中缺陷、塑性和相变的原子间势的开发。
J Chem Phys. 2016 Oct 21;145(15):154102. doi: 10.1063/1.4964654.
7
First principles theoretical investigations of low Young's modulus beta Ti-Nb and Ti-Nb-Zr alloys compositions for biomedical applications.用于生物医学应用的低杨氏模量β钛铌和钛铌锆合金成分的第一性原理理论研究。
Mater Sci Eng C Mater Biol Appl. 2015 May;50:52-8. doi: 10.1016/j.msec.2015.01.061. Epub 2015 Jan 24.