• 文献检索
  • 文档翻译
  • 深度研究
  • 学术资讯
  • Suppr Zotero 插件Zotero 插件
  • 邀请有礼
  • 套餐&价格
  • 历史记录
应用&插件
Suppr Zotero 插件Zotero 插件浏览器插件Mac 客户端Windows 客户端微信小程序
定价
高级版会员购买积分包购买API积分包
服务
文献检索文档翻译深度研究API 文档MCP 服务
关于我们
关于 Suppr公司介绍联系我们用户协议隐私条款
关注我们

Suppr 超能文献

核心技术专利:CN118964589B侵权必究
粤ICP备2023148730 号-1Suppr @ 2026

文献检索

告别复杂PubMed语法,用中文像聊天一样搜索,搜遍4000万医学文献。AI智能推荐,让科研检索更轻松。

立即免费搜索

文件翻译

保留排版,准确专业,支持PDF/Word/PPT等文件格式,支持 12+语言互译。

免费翻译文档

深度研究

AI帮你快速写综述,25分钟生成高质量综述,智能提取关键信息,辅助科研写作。

立即免费体验

对称次膦酸:针对潜在HIV前药的合成及酯化优化

Symmetrical Phosphinic Acids: Synthesis and Esterification Optimization toward Potential HIV Prodrugs.

作者信息

Hayat Komal, Nixon Gemma, Zhang Qian, Matziari Magdalini

机构信息

Department of Chemistry, School of Science, Xi'an Jiaotong-Liverpool University, 111 Ren'ai Road, SIP, Suzhou, Jiangsu Province 215123, P. R. China.

Department of Chemistry, University of Liverpool, Crown Street, Liverpool L69 7ZD, U.K.

出版信息

ACS Omega. 2024 Sep 27;9(40):41742-41757. doi: 10.1021/acsomega.4c05988. eCollection 2024 Oct 8.

DOI:10.1021/acsomega.4c05988
PMID:39398174
原文链接:https://pmc.ncbi.nlm.nih.gov/articles/PMC11465283/
Abstract

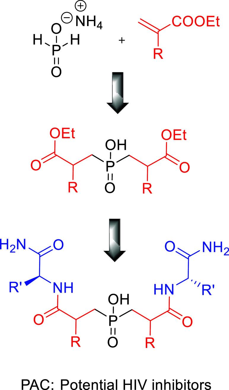
A highly efficient method to synthesize diverse symmetrical phosphinic acids with the potential to act as pivotal candidates in the design of HIV-1 protease inhibitors has been developed. Such compounds have been designed based on the enzyme-substrate specificity, and their elongated analogues are expected to demonstrate significant inhibition against the HIV-1 protease with IC values in the low nanomolar range. Moreover, a highly efficient esterification protocol with carbohydrates and flavonoids has been devised to address the inherent absorption challenges associated with phosphinic-based drugs. These esters not only exhibit low toxicity but also have the potential to generate flavonoid moieties in situ, which are associated with hepatoprotective effects, or naturally occurring carbohydrate metabolites. The methodology utilizes effective peptide coupling reagents, such as aminium-based TBTU and carbodiimide-based DIC, and affords the target products in excellent to quantitative yields. This research represents a promising avenue for the development of novel HIV-1 protease inhibitors with significant therapeutic benefits.

摘要

已开发出一种高效合成多种对称次膦酸的方法,这些次膦酸有可能成为设计HIV-1蛋白酶抑制剂的关键候选物。此类化合物是根据酶-底物特异性设计的,预计其延长类似物对HIV-1蛋白酶具有显著抑制作用,IC值在低纳摩尔范围内。此外,还设计了一种与碳水化合物和类黄酮的高效酯化方案,以解决基于次膦酸的药物固有的吸收难题。这些酯不仅毒性低,而且有可能原位生成具有肝脏保护作用的类黄酮部分或天然存在的碳水化合物代谢产物。该方法利用了有效的肽偶联试剂,如基于铵的TBTU和基于碳二亚胺的DIC,并以优异至定量的产率得到目标产物。这项研究为开发具有显著治疗益处的新型HIV-1蛋白酶抑制剂提供了一条有前景的途径。

https://cdn.ncbi.nlm.nih.gov/pmc/blobs/8647/11465283/a5b88d174696/ao4c05988_0010.jpg
https://cdn.ncbi.nlm.nih.gov/pmc/blobs/8647/11465283/2001ce5e9ecd/ao4c05988_0001.jpg
https://cdn.ncbi.nlm.nih.gov/pmc/blobs/8647/11465283/e88f6db47236/ao4c05988_0004.jpg
https://cdn.ncbi.nlm.nih.gov/pmc/blobs/8647/11465283/96ba7b735294/ao4c05988_0002.jpg
https://cdn.ncbi.nlm.nih.gov/pmc/blobs/8647/11465283/876280ff03dd/ao4c05988_0003.jpg
https://cdn.ncbi.nlm.nih.gov/pmc/blobs/8647/11465283/d54ccd6ca616/ao4c05988_0005.jpg
https://cdn.ncbi.nlm.nih.gov/pmc/blobs/8647/11465283/afccfebd89bc/ao4c05988_0006.jpg
https://cdn.ncbi.nlm.nih.gov/pmc/blobs/8647/11465283/c0624726c204/ao4c05988_0007.jpg
https://cdn.ncbi.nlm.nih.gov/pmc/blobs/8647/11465283/96990ef400cb/ao4c05988_0008.jpg
https://cdn.ncbi.nlm.nih.gov/pmc/blobs/8647/11465283/2afd931cdc69/ao4c05988_0009.jpg
https://cdn.ncbi.nlm.nih.gov/pmc/blobs/8647/11465283/a5b88d174696/ao4c05988_0010.jpg
https://cdn.ncbi.nlm.nih.gov/pmc/blobs/8647/11465283/2001ce5e9ecd/ao4c05988_0001.jpg
https://cdn.ncbi.nlm.nih.gov/pmc/blobs/8647/11465283/e88f6db47236/ao4c05988_0004.jpg
https://cdn.ncbi.nlm.nih.gov/pmc/blobs/8647/11465283/96ba7b735294/ao4c05988_0002.jpg
https://cdn.ncbi.nlm.nih.gov/pmc/blobs/8647/11465283/876280ff03dd/ao4c05988_0003.jpg
https://cdn.ncbi.nlm.nih.gov/pmc/blobs/8647/11465283/d54ccd6ca616/ao4c05988_0005.jpg
https://cdn.ncbi.nlm.nih.gov/pmc/blobs/8647/11465283/afccfebd89bc/ao4c05988_0006.jpg
https://cdn.ncbi.nlm.nih.gov/pmc/blobs/8647/11465283/c0624726c204/ao4c05988_0007.jpg
https://cdn.ncbi.nlm.nih.gov/pmc/blobs/8647/11465283/96990ef400cb/ao4c05988_0008.jpg
https://cdn.ncbi.nlm.nih.gov/pmc/blobs/8647/11465283/2afd931cdc69/ao4c05988_0009.jpg
https://cdn.ncbi.nlm.nih.gov/pmc/blobs/8647/11465283/a5b88d174696/ao4c05988_0010.jpg

相似文献

1
Symmetrical Phosphinic Acids: Synthesis and Esterification Optimization toward Potential HIV Prodrugs.对称次膦酸:针对潜在HIV前药的合成及酯化优化
ACS Omega. 2024 Sep 27;9(40):41742-41757. doi: 10.1021/acsomega.4c05988. eCollection 2024 Oct 8.
2
Practical Synthesis of Phosphinic Dipeptides by Tandem Esterification of Aminophosphinic and Acrylic Acids under Silylating Conditions.硅烷化条件下通过氨基膦酸和丙烯酸的串联酯化反应实用合成膦酰二肽。
Molecules. 2022 Feb 12;27(4):1242. doi: 10.3390/molecules27041242.
3
Diastereoselective solution and multipin-based combinatorial array synthesis of a novel class of potent phosphinic metalloprotease inhibitors.一类新型强效次膦酸金属蛋白酶抑制剂的非对映选择性溶液合成及基于多针的组合阵列合成
Chemistry. 2003 May 9;9(9):2079-94. doi: 10.1002/chem.200204456.
4
Efficient synthesis of sulfonic, phosphoric, and phosphinic esters employing alkylating polymer-bound reagents.使用烷基化聚合物负载试剂高效合成磺酸酯、磷酸酯和次膦酸酯。
J Comb Chem. 2003 Mar-Apr;5(2):138-44. doi: 10.1021/cc0200787.
5
Orthosilicate-mediated esterification of monosubstituted phosphinic acids.原硅酸酯介导的单取代次膦酸的酯化反应。
Org Lett. 2000 Oct 19;2(21):3341-4. doi: 10.1021/ol006434g.
6
Peptidomimetic therapeutic agents targeting the protease enzyme of the human immunodeficiency virus and hepatitis C virus.靶向人类免疫缺陷病毒和丙型肝炎病毒蛋白酶的拟肽治疗剂。
Acc Chem Res. 2008 Oct;41(10):1252-63. doi: 10.1021/ar8000519. Epub 2008 Aug 6.
7
Synthesis and activity of phosphinic tripeptide inhibitors of cathepsin C.组织蛋白酶C的次膦酸三肽抑制剂的合成与活性
Bioorg Med Chem Lett. 2004 Jun 21;14(12):3113-6. doi: 10.1016/j.bmcl.2004.04.028.
8
Synthesis of p-aminophenyl aryl H-phosphinic acids and esters via cross-coupling reactions: elaboration to phosphinic acid pseudopeptide analogues of pteroyl glutamic acid and related antifolates.通过交叉偶联反应合成对氨基苯基芳基H-次膦酸及其酯:制备蝶酰谷氨酸的次膦酸假肽类似物及相关抗叶酸剂。
J Org Chem. 2007 Jul 20;72(15):5748-58. doi: 10.1021/jo0707840. Epub 2007 Jun 28.
9
Potential chemical transformation of phosphinic acid derivatives and their applications in the synthesis of drugs.膦酸衍生物的潜在化学转化及其在药物合成中的应用。
Bioorg Chem. 2019 Sep;90:103039. doi: 10.1016/j.bioorg.2019.103039. Epub 2019 Jun 10.
10
A novel and efficient one-pot synthesis of symmetrical diamide (bis-amidate) prodrugs of acyclic nucleoside phosphonates and evaluation of their biological activities.一种新型高效的无环核苷膦酸对称二酰胺(双酰胺酯)前药的一锅合成及生物活性评价。
Eur J Med Chem. 2011 Sep;46(9):3748-54. doi: 10.1016/j.ejmech.2011.05.040. Epub 2011 May 23.

本文引用的文献

1
Novel glycosyl prodrug of RXP03 as MMP-11 prodrug: design, synthesis and virtual screening.新型RXP03糖基前药作为基质金属蛋白酶-11前药:设计、合成及虚拟筛选
BMC Chem. 2023 Nov 25;17(1):167. doi: 10.1186/s13065-023-01075-1.
2
Unprecedented Convergent Synthesis of Sugar-Functionalization of Phosphinic Acids under Metal-Free Conditions.无金属条件下膦酸糖基官能化的前所未有的汇聚合成。
ACS Omega. 2022 Jun 16;7(25):21444-21453. doi: 10.1021/acsomega.2c00712. eCollection 2022 Jun 28.
3
An ethnopharmacological review on the therapeutical properties of flavonoids and their mechanisms of actions: A comprehensive review based on up to date knowledge.
黄酮类化合物的治疗特性及其作用机制的民族药理学综述:基于最新知识的全面综述
Toxicol Rep. 2022 Mar 14;9:445-469. doi: 10.1016/j.toxrep.2022.03.011. eCollection 2022.
4
Application of carbohydrates in approved small molecule drugs: A review.碳水化合物在已批准的小分子药物中的应用:综述。
Eur J Med Chem. 2021 Nov 5;223:113633. doi: 10.1016/j.ejmech.2021.113633. Epub 2021 Jun 17.
5
Covalent Inhibition of Bacterial Urease by Bifunctional Catechol-Based Phosphonates and Phosphinates.双功能儿茶酚基膦酸酯和膦酸盐对细菌脲酶的共价抑制。
J Med Chem. 2021 Jan 14;64(1):404-416. doi: 10.1021/acs.jmedchem.0c01143. Epub 2020 Dec 28.
6
Bioactive flavonoids in medicinal plants: Structure, activity and biological fate.药用植物中的生物活性黄酮类化合物:结构、活性及生物命运
Asian J Pharm Sci. 2018 Jan;13(1):12-23. doi: 10.1016/j.ajps.2017.08.004. Epub 2017 Aug 15.
7
Synthetic carbohydrate-based vaccines: challenges and opportunities.合成碳水化合物疫苗:挑战与机遇。
J Biomed Sci. 2020 Jan 3;27(1):9. doi: 10.1186/s12929-019-0591-0.
8
Sodium oligomannate therapeutically remodels gut microbiota and suppresses gut bacterial amino acids-shaped neuroinflammation to inhibit Alzheimer's disease progression.低聚甘露糖通过治疗重塑肠道微生物群,抑制肠道细菌氨基酸诱导的神经炎症来抑制阿尔茨海默病的进展。
Cell Res. 2019 Oct;29(10):787-803. doi: 10.1038/s41422-019-0216-x. Epub 2019 Sep 6.
9
Dapagliflozin: A Review in Type 2 Diabetes.达格列净:用于 2 型糖尿病的治疗。
Drugs. 2019 Jul;79(10):1135-1146. doi: 10.1007/s40265-019-01148-3.
10
Recent developments in the synthesis and applications of phosphinic peptide analogs.膦酸肽类似物的合成及应用的最新进展。
Bioorg Med Chem Lett. 2019 May 1;29(9):1031-1042. doi: 10.1016/j.bmcl.2019.02.034. Epub 2019 Feb 28.