• 文献检索
  • 文档翻译
  • 深度研究
  • 学术资讯
  • Suppr Zotero 插件Zotero 插件
  • 邀请有礼
  • 套餐&价格
  • 历史记录
应用&插件
Suppr Zotero 插件Zotero 插件浏览器插件Mac 客户端Windows 客户端微信小程序
定价
高级版会员购买积分包购买API积分包
服务
文献检索文档翻译深度研究API 文档MCP 服务
关于我们
关于 Suppr公司介绍联系我们用户协议隐私条款
关注我们

Suppr 超能文献

核心技术专利:CN118964589B侵权必究
粤ICP备2023148730 号-1Suppr @ 2026

文献检索

告别复杂PubMed语法,用中文像聊天一样搜索,搜遍4000万医学文献。AI智能推荐,让科研检索更轻松。

立即免费搜索

文件翻译

保留排版,准确专业,支持PDF/Word/PPT等文件格式,支持 12+语言互译。

免费翻译文档

深度研究

AI帮你快速写综述,25分钟生成高质量综述,智能提取关键信息,辅助科研写作。

立即免费体验

COL25A1 和 METAP1D 的 DNA 甲基化是使用数字 PCR 检测结直肠癌的有前途的液体活检表观遗传生物标志物。

COL25A1 and METAP1D DNA methylation are promising liquid biopsy epigenetic biomarkers of colorectal cancer using digital PCR.

机构信息

Department of Oncobiology, University Hospital of Besançon, 3 Boulevard Alexandre Fleming, 25000, Besançon, France.

UMR1098, INSERM, University of Bourgogne Franche-Comté, Besançon, France.

出版信息

Clin Epigenetics. 2024 Oct 18;16(1):146. doi: 10.1186/s13148-024-01748-1.

DOI:10.1186/s13148-024-01748-1
PMID:39425144
原文链接:https://pmc.ncbi.nlm.nih.gov/articles/PMC11490026/
Abstract

BACKGROUND

Colorectal cancer is a public health issue and was the third leading cause of cancer-related death worldwide in 2022. Early diagnosis can improve prognosis, making screening a central part of colorectal cancer management. Blood-based screening, diagnosis and follow-up of colorectal cancer patients are possible with the study of cell-free circulating tumor DNA. This study aimed to identify novel DNA methylation biomarkers of colorectal cancer that can be used for the follow-up of patients with colorectal cancer.

METHODS

A DNA methylation profile was established in the Gene Expression Omnibus (GEO) database (n = 507) using bioinformatics analysis and subsequently confirmed using The Cancer Genome Atlas (TCGA) database (n = 348). The in silico profile was then validated on local tissue and cell-free DNA samples using methylation-specific digital PCR in colorectal cancer patients (n = 35) and healthy donors (n = 35).

RESULTS

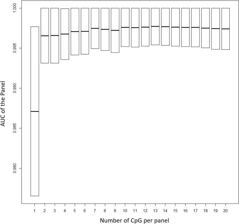
The DNA methylation of COL25A1 and METAP1D was predicted to be a colorectal cancer biomarker by bioinformatics analysis (ROC AUC = 1, 95% CI [0.999-1]). The two biomarkers were confirmed with tissue samples, and the combination of COL25A1 and METAP1D yielded 49% sensitivity and 100% specificity for cell-free DNA.

CONCLUSION

Bioinformatics analysis of public databases revealed COL25A1 and METAP1D DNA methylation as clinically applicable liquid biopsies DNA methylation biomarkers. The specificity implies an excellent positive predictive value for follow-up, and the high sensitivity and relative noninvasiveness of a blood-based test make these biomarkers compatible with colorectal cancer screening. However, the clinical impact of these biomarkers in colorectal cancer screening and follow-up needs to be established in further prospective studies.

摘要

背景

结直肠癌是一个公共卫生问题,也是 2022 年全球导致癌症死亡的第三大原因。早期诊断可以改善预后,使筛查成为结直肠癌管理的核心部分。通过研究无细胞循环肿瘤 DNA,可以对结直肠癌患者进行血液筛查、诊断和随访。本研究旨在鉴定结直肠癌的新型 DNA 甲基化生物标志物,可用于结直肠癌患者的随访。

方法

使用生物信息学分析在基因表达综合数据库(GEO)(n=507)中建立 DNA 甲基化图谱,随后在癌症基因组图谱(TCGA)数据库(n=348)中进行验证。然后在结直肠癌患者(n=35)和健康供体(n=35)的局部组织和无细胞 DNA 样本中使用甲基化特异性数字 PCR 对该图谱进行验证。

结果

通过生物信息学分析预测 COL25A1 和 METAP1D 的 DNA 甲基化是结直肠癌的生物标志物(ROC AUC=1,95%CI [0.999-1])。这两个生物标志物在组织样本中得到验证,COL25A1 和 METAP1D 的组合对无细胞 DNA 的灵敏度为 49%,特异性为 100%。

结论

对公共数据库的生物信息学分析揭示了 COL25A1 和 METAP1D 的 DNA 甲基化为具有临床应用价值的液体活检 DNA 甲基化生物标志物。特异性意味着随访的阳性预测值极好,基于血液的检测具有较高的灵敏度和相对无创性,使这些生物标志物与结直肠癌筛查兼容。然而,这些生物标志物在结直肠癌筛查和随访中的临床影响需要在进一步的前瞻性研究中确定。

https://cdn.ncbi.nlm.nih.gov/pmc/blobs/a8f6/11490026/4a83c8d6b819/13148_2024_1748_Fig9_HTML.jpg
https://cdn.ncbi.nlm.nih.gov/pmc/blobs/a8f6/11490026/8a89af822750/13148_2024_1748_Fig1_HTML.jpg
https://cdn.ncbi.nlm.nih.gov/pmc/blobs/a8f6/11490026/d8c90377ab01/13148_2024_1748_Fig2_HTML.jpg
https://cdn.ncbi.nlm.nih.gov/pmc/blobs/a8f6/11490026/36b9c989a22e/13148_2024_1748_Fig3_HTML.jpg
https://cdn.ncbi.nlm.nih.gov/pmc/blobs/a8f6/11490026/cfa1dbaee16a/13148_2024_1748_Fig4_HTML.jpg
https://cdn.ncbi.nlm.nih.gov/pmc/blobs/a8f6/11490026/21d5bb0c33a6/13148_2024_1748_Fig5_HTML.jpg
https://cdn.ncbi.nlm.nih.gov/pmc/blobs/a8f6/11490026/3b5cadb28306/13148_2024_1748_Fig6_HTML.jpg
https://cdn.ncbi.nlm.nih.gov/pmc/blobs/a8f6/11490026/9805bc90d08b/13148_2024_1748_Fig7_HTML.jpg
https://cdn.ncbi.nlm.nih.gov/pmc/blobs/a8f6/11490026/400fe1575ea6/13148_2024_1748_Fig8_HTML.jpg
https://cdn.ncbi.nlm.nih.gov/pmc/blobs/a8f6/11490026/4a83c8d6b819/13148_2024_1748_Fig9_HTML.jpg
https://cdn.ncbi.nlm.nih.gov/pmc/blobs/a8f6/11490026/8a89af822750/13148_2024_1748_Fig1_HTML.jpg
https://cdn.ncbi.nlm.nih.gov/pmc/blobs/a8f6/11490026/d8c90377ab01/13148_2024_1748_Fig2_HTML.jpg
https://cdn.ncbi.nlm.nih.gov/pmc/blobs/a8f6/11490026/36b9c989a22e/13148_2024_1748_Fig3_HTML.jpg
https://cdn.ncbi.nlm.nih.gov/pmc/blobs/a8f6/11490026/cfa1dbaee16a/13148_2024_1748_Fig4_HTML.jpg
https://cdn.ncbi.nlm.nih.gov/pmc/blobs/a8f6/11490026/21d5bb0c33a6/13148_2024_1748_Fig5_HTML.jpg
https://cdn.ncbi.nlm.nih.gov/pmc/blobs/a8f6/11490026/3b5cadb28306/13148_2024_1748_Fig6_HTML.jpg
https://cdn.ncbi.nlm.nih.gov/pmc/blobs/a8f6/11490026/9805bc90d08b/13148_2024_1748_Fig7_HTML.jpg
https://cdn.ncbi.nlm.nih.gov/pmc/blobs/a8f6/11490026/400fe1575ea6/13148_2024_1748_Fig8_HTML.jpg
https://cdn.ncbi.nlm.nih.gov/pmc/blobs/a8f6/11490026/4a83c8d6b819/13148_2024_1748_Fig9_HTML.jpg

相似文献

1
COL25A1 and METAP1D DNA methylation are promising liquid biopsy epigenetic biomarkers of colorectal cancer using digital PCR.COL25A1 和 METAP1D 的 DNA 甲基化是使用数字 PCR 检测结直肠癌的有前途的液体活检表观遗传生物标志物。
Clin Epigenetics. 2024 Oct 18;16(1):146. doi: 10.1186/s13148-024-01748-1.
2
Novel DNA methylation biomarkers show high sensitivity and specificity for blood-based detection of colorectal cancer-a clinical biomarker discovery and validation study.新型 DNA 甲基化生物标志物具有高灵敏度和特异性,可用于基于血液的结直肠癌检测——一项临床生物标志物发现和验证研究。
Clin Epigenetics. 2019 Nov 14;11(1):158. doi: 10.1186/s13148-019-0757-3.
3
Cell-Free DNA as a Diagnostic Blood-Based Biomarker for Colorectal Cancer: A Systematic Review.无细胞游离 DNA 作为结直肠癌的一种基于血液的诊断生物标志物:系统评价。
J Surg Res. 2019 Apr;236:184-197. doi: 10.1016/j.jss.2018.11.029. Epub 2018 Dec 21.
4
Early detection of the major male cancer types in blood-based liquid biopsies using a DNA methylation panel.基于 DNA 甲基化panel 的血液液体活检对主要男性癌症类型的早期检测。
Clin Epigenetics. 2019 Dec 2;11(1):175. doi: 10.1186/s13148-019-0779-x.
5
The detection of specific hypermethylated WIF1 and NPY genes in circulating DNA by crystal digital PCR™ is a powerful new tool for colorectal cancer diagnosis and screening.晶芯数字 PCR™ 检测循环 DNA 中特定的 WIF1 和 NPY 基因甲基化可作为结直肠癌诊断和筛查的有力新工具。
BMC Cancer. 2021 Oct 10;21(1):1092. doi: 10.1186/s12885-021-08816-2.
6
Development of a liquid biopsy based purely quantitative digital droplet PCR assay for detection of MLH1 promoter methylation in colorectal cancer patients.开发一种基于纯定量数字液滴 PCR 检测的液体活检方法,用于检测结直肠癌患者 MLH1 启动子甲基化。
BMC Cancer. 2021 Jul 10;21(1):797. doi: 10.1186/s12885-021-08497-x.
7
Circulating-tumour DNA methylation of HAND1 gene: a promising biomarker in early detection of colorectal cancer.循环肿瘤 DNA 甲基化 HAND1 基因:结直肠癌早期检测有前途的生物标志物。
BMC Med Genomics. 2024 Apr 30;17(1):117. doi: 10.1186/s12920-024-01893-9.
8
Multiplexed DNA Methylation Analysis in Colorectal Cancer Using Liquid Biopsy and Its Diagnostic and Predictive Value.利用液体活检进行结直肠癌的多重 DNA 甲基化分析及其诊断和预测价值。
Curr Issues Mol Biol. 2021 Oct 3;43(3):1419-1435. doi: 10.3390/cimb43030100.
9
Application of Multiplex Bisulfite PCR-Ligase Detection Reaction-Real-Time Quantitative PCR Assay in Interrogating Bioinformatically Identified, Blood-Based Methylation Markers for Colorectal Cancer.多重亚硫酸氢盐 PCR-连接酶检测反应-实时定量 PCR 分析在探索基于血液的结直肠癌生物信息学鉴定甲基化标记物中的应用。
J Mol Diagn. 2020 Jul;22(7):885-900. doi: 10.1016/j.jmoldx.2020.03.009. Epub 2020 May 12.
10
Early Diagnosis of Colorectal Cancer Based on Bisulfite-free Site-specific Methylation Identification PCR Strategy: High-Sensitivity, Accuracy, and Primary Medical Accessibility.基于无亚硫酸氢盐的特异性甲基化识别 PCR 策略的结直肠癌早期诊断:高灵敏度、准确性和初级医疗可及性。
Adv Sci (Weinh). 2024 Sep;11(33):e2401137. doi: 10.1002/advs.202401137. Epub 2024 Jun 13.

引用本文的文献

1
Liquid biopsy - a narrative review with an update on current US governmental clinical trials targeting immunotherapy.液体活检——一篇叙述性综述及美国目前针对免疫疗法的政府临床试验的最新情况
Future Sci OA. 2025 Dec;11(1):2527598. doi: 10.1080/20565623.2025.2527598. Epub 2025 Aug 7.
2
Recent advances on gene-related DNA methylation in cancer diagnosis, prognosis, and treatment: a clinical perspective.癌症诊断、预后及治疗中基因相关DNA甲基化的最新进展:临床视角
Clin Epigenetics. 2025 May 5;17(1):76. doi: 10.1186/s13148-025-01884-2.

本文引用的文献

1
A Cell-free DNA Blood-Based Test for Colorectal Cancer Screening.基于无细胞游离 DNA 的血液检测用于结直肠癌筛查。
N Engl J Med. 2024 Mar 14;390(11):973-983. doi: 10.1056/NEJMoa2304714.
2
Structural insights into N-terminal methionine cleavage by the human mitochondrial methionine aminopeptidase, MetAP1D.人类线粒体甲硫氨酸氨肽酶 1D(MetAP1D)对 N-端甲硫氨酸的切割的结构见解。
Sci Rep. 2023 Dec 15;13(1):22326. doi: 10.1038/s41598-023-49332-6.
3
Evaluation of a Multi-Gene Methylation Blood-Test for the Detection of Colorectal Cancer.
多基因甲基化血液检测用于结直肠癌检测的评估。
Med Sci (Basel). 2023 Sep 15;11(3):60. doi: 10.3390/medsci11030060.
4
Treatment of Metastatic Colorectal Cancer: ASCO Guideline.转移性结直肠癌的治疗:ASCO 指南。
J Clin Oncol. 2023 Jan 20;41(3):678-700. doi: 10.1200/JCO.22.01690. Epub 2022 Oct 17.
5
Discovery and validation of tissue-specific DNA methylation as noninvasive diagnostic markers for colorectal cancer.发现和验证组织特异性 DNA 甲基化为结直肠癌的非侵入性诊断标志物。
Clin Epigenetics. 2022 Aug 16;14(1):102. doi: 10.1186/s13148-022-01312-9.
6
Using Circulating Tumor DNA in Colorectal Cancer: Current and Evolving Practices.利用循环肿瘤 DNA 进行结直肠癌诊疗:现状与未来发展。
J Clin Oncol. 2022 Aug 20;40(24):2846-2857. doi: 10.1200/JCO.21.02615. Epub 2022 Jul 15.
7
DNA methylation-based diagnostic, prognostic, and predictive biomarkers in colorectal cancer.基于 DNA 甲基化的结直肠癌诊断、预后和预测生物标志物。
Biochim Biophys Acta Rev Cancer. 2022 May;1877(3):188722. doi: 10.1016/j.bbcan.2022.188722. Epub 2022 Mar 17.
8
A mathematical model of ctDNA shedding predicts tumor detection size.循环肿瘤DNA脱落的数学模型可预测肿瘤检测大小。
Sci Adv. 2020 Dec 11;6(50). doi: 10.1126/sciadv.abc4308. Print 2020 Dec.
9
A Systematic Literature Review and Meta-Analysis Describing the Prevalence of , and Gene Mutations in Metastatic Colorectal Cancer.一项描述转移性结直肠癌中 、 和 基因突变发生率的系统文献综述与荟萃分析。 (原文中“ , and ”处信息缺失,需补充完整相关基因名称才能准确翻译)
Gastroenterology Res. 2020 Oct;13(5):184-198. doi: 10.14740/gr1167. Epub 2020 Oct 8.
10
Next-Generation Sequencing in High-Sensitive Detection of Mutations in Tumors: Challenges, Advances, and Applications.下一代测序在肿瘤突变高敏检测中的应用:挑战、进展和应用。
J Mol Diagn. 2020 Aug;22(8):994-1007. doi: 10.1016/j.jmoldx.2020.04.213. Epub 2020 May 29.