• 文献检索
  • 文档翻译
  • 深度研究
  • 学术资讯
  • Suppr Zotero 插件Zotero 插件
  • 邀请有礼
  • 套餐&价格
  • 历史记录
应用&插件
Suppr Zotero 插件Zotero 插件浏览器插件Mac 客户端Windows 客户端微信小程序
定价
高级版会员购买积分包购买API积分包
服务
文献检索文档翻译深度研究API 文档MCP 服务
关于我们
关于 Suppr公司介绍联系我们用户协议隐私条款
关注我们

Suppr 超能文献

核心技术专利:CN118964589B侵权必究
粤ICP备2023148730 号-1Suppr @ 2026

文献检索

告别复杂PubMed语法,用中文像聊天一样搜索,搜遍4000万医学文献。AI智能推荐,让科研检索更轻松。

立即免费搜索

文件翻译

保留排版,准确专业,支持PDF/Word/PPT等文件格式,支持 12+语言互译。

免费翻译文档

深度研究

AI帮你快速写综述,25分钟生成高质量综述,智能提取关键信息,辅助科研写作。

立即免费体验

研究模板头部模型对事件相关电位源定位的影响:一项模拟与真实数据研究。

Investigating the effect of template head models on Event-Related Potential source localization: a simulation and real-data study.

作者信息

Depuydt Emma, Criel Yana, De Letter Miet, van Mierlo Pieter

机构信息

Medical Imaging and Signal Processing Group, Department of Electronics and Information Systems, Ghent University, Ghent, Belgium.

BrainComm Research Group, Department of Rehabilitation Sciences, Ghent University, Ghent, Belgium.

出版信息

Front Neurosci. 2024 Oct 8;18:1443752. doi: 10.3389/fnins.2024.1443752. eCollection 2024.

DOI:10.3389/fnins.2024.1443752
PMID:39440187
原文链接:https://pmc.ncbi.nlm.nih.gov/articles/PMC11493687/
Abstract

INTRODUCTION

Event-Related Potentials (ERPs) are valuable for studying brain activity with millisecond-level temporal resolution. While the temporal resolution of this technique is excellent, the spatial resolution is limited. Source localization aims to identify the brain regions generating the EEG data, thus increasing the spatial resolution, but its accuracy depends heavily on the head model used. This study compares the performance of subject-specific and template-based head models in both simulated and real-world ERP localization tasks.

METHODS

Simulated data mimicking realistic ERPs was created to evaluate the impact of head model choice systematically, after which subject-specific and template-based head models were used for the reconstruction of the data. The different modeling approaches were also applied to a face recognition dataset.

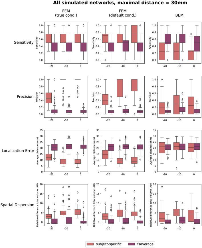
RESULTS

The results indicate that the template models capture the simulated activity less accurately, producing more spurious sources and identifying less true sources correctly. Furthermore, the results show that while creating more accurate and detailed head models is beneficial for the localization accuracy when using subject-specific head models, this is less the case for template head models. The main N170 source of the face recognition dataset was correctly localized to the fusiform gyrus, a known face processing area, using the subject-specific models. Apart from the fusiform gyrus, the template models also reconstructed several other sources, illustrating the localization inaccuracies.

DISCUSSION

While template models allow researchers to investigate the neural generators of ERP components when no subject-specific MRIs are available, it could lead to misinterpretations. Therefore, it is important to consider a priori knowledge and hypotheses when interpreting results obtained with template head models, acknowledging potential localization errors.

摘要

引言

事件相关电位(ERP)对于以毫秒级时间分辨率研究大脑活动具有重要价值。虽然该技术的时间分辨率极佳,但其空间分辨率有限。源定位旨在识别产生脑电图数据的脑区,从而提高空间分辨率,但其准确性在很大程度上取决于所使用的头部模型。本研究比较了特定受试者头部模型和基于模板的头部模型在模拟和实际ERP定位任务中的性能。

方法

创建模拟逼真ERP的模拟数据,以系统评估头部模型选择的影响,之后使用特定受试者头部模型和基于模板的头部模型对数据进行重建。不同的建模方法也应用于一个人脸识别数据集。

结果

结果表明,模板模型对模拟活动的捕捉不够准确,产生了更多虚假源,正确识别的真实源较少。此外,结果表明,虽然创建更准确、更详细的头部模型在使用特定受试者头部模型时有利于提高定位准确性,但对于模板头部模型而言情况并非如此。使用特定受试者模型时,人脸识别数据集的主要N170源被正确定位到梭状回,这是一个已知的面部处理区域。除了梭状回,模板模型还重建了其他几个源,说明了定位不准确的情况。

讨论

虽然当没有特定受试者的磁共振成像(MRI)时,模板模型允许研究人员研究ERP成分的神经发生器,但这可能会导致误解。因此,在解释使用模板头部模型获得的结果时,考虑先验知识和假设并认识到潜在的定位误差非常重要。

https://cdn.ncbi.nlm.nih.gov/pmc/blobs/6c35/11493687/208d2f15fd66/fnins-18-1443752-g0007.jpg
https://cdn.ncbi.nlm.nih.gov/pmc/blobs/6c35/11493687/87cc8ccdb21e/fnins-18-1443752-g0001.jpg
https://cdn.ncbi.nlm.nih.gov/pmc/blobs/6c35/11493687/d934d914a1e9/fnins-18-1443752-g0002.jpg
https://cdn.ncbi.nlm.nih.gov/pmc/blobs/6c35/11493687/b537f127551d/fnins-18-1443752-g0003.jpg
https://cdn.ncbi.nlm.nih.gov/pmc/blobs/6c35/11493687/bd1f75ad2674/fnins-18-1443752-g0004.jpg
https://cdn.ncbi.nlm.nih.gov/pmc/blobs/6c35/11493687/9f827ad74c37/fnins-18-1443752-g0005.jpg
https://cdn.ncbi.nlm.nih.gov/pmc/blobs/6c35/11493687/6c4b10d43eae/fnins-18-1443752-g0006.jpg
https://cdn.ncbi.nlm.nih.gov/pmc/blobs/6c35/11493687/208d2f15fd66/fnins-18-1443752-g0007.jpg
https://cdn.ncbi.nlm.nih.gov/pmc/blobs/6c35/11493687/87cc8ccdb21e/fnins-18-1443752-g0001.jpg
https://cdn.ncbi.nlm.nih.gov/pmc/blobs/6c35/11493687/d934d914a1e9/fnins-18-1443752-g0002.jpg
https://cdn.ncbi.nlm.nih.gov/pmc/blobs/6c35/11493687/b537f127551d/fnins-18-1443752-g0003.jpg
https://cdn.ncbi.nlm.nih.gov/pmc/blobs/6c35/11493687/bd1f75ad2674/fnins-18-1443752-g0004.jpg
https://cdn.ncbi.nlm.nih.gov/pmc/blobs/6c35/11493687/9f827ad74c37/fnins-18-1443752-g0005.jpg
https://cdn.ncbi.nlm.nih.gov/pmc/blobs/6c35/11493687/6c4b10d43eae/fnins-18-1443752-g0006.jpg
https://cdn.ncbi.nlm.nih.gov/pmc/blobs/6c35/11493687/208d2f15fd66/fnins-18-1443752-g0007.jpg

相似文献

1
Investigating the effect of template head models on Event-Related Potential source localization: a simulation and real-data study.研究模板头部模型对事件相关电位源定位的影响:一项模拟与真实数据研究。
Front Neurosci. 2024 Oct 8;18:1443752. doi: 10.3389/fnins.2024.1443752. eCollection 2024.
2
Evaluating Head Models for Cortical Source Localization of the Face-Sensitive N290 Component in Infants.评估婴儿面部敏感 N290 成分皮质源定位的头模型。
Brain Topogr. 2022 Jul;35(4):398-415. doi: 10.1007/s10548-022-00899-9. Epub 2022 May 11.
3
Bayesian model selection of template forward models for EEG source reconstruction.贝叶斯模板正向模型选择在 EEG 源重建中的应用。
Neuroimage. 2014 Jun;93 Pt 1:11-22. doi: 10.1016/j.neuroimage.2014.02.022. Epub 2014 Feb 26.
4
Neuroanatomic localization of priming effects for famous faces with latency-corrected event-related potentials.利用潜伏期校正的事件相关电位对名人面孔启动效应进行神经解剖学定位。
Brain Res. 2016 Feb 1;1632:58-72. doi: 10.1016/j.brainres.2015.12.001. Epub 2015 Dec 9.
5
Time course of ERP generators to syllables in infants: a source localization study using age-appropriate brain templates.婴儿对音节的 ERP 发生器的时程:使用适合年龄的大脑模板进行的源定位研究。
Neuroimage. 2012 Feb 15;59(4):3275-87. doi: 10.1016/j.neuroimage.2011.11.048. Epub 2011 Dec 1.
6
Evaluation of Brain Source Localization Methods Based on Test-Retest Reliability With Multiple Session EEG Data.基于多次 EEG 数据的测试-重测可靠性评估脑源定位方法。
IEEE Trans Biomed Eng. 2023 Jul;70(7):2080-2090. doi: 10.1109/TBME.2023.3235377. Epub 2023 Jun 19.
7
Comparison of EEG Source Localization Using Simplified and Anatomically Accurate Head Models in Younger and Older Adults.采用简化和解剖精确的头部模型对年轻和老年成年人进行 EEG 源定位比较。
IEEE Trans Neural Syst Rehabil Eng. 2023;31:2591-2602. doi: 10.1109/TNSRE.2023.3281356. Epub 2023 Jun 13.
8
Interpreting abnormality: an EEG and MEG study of P50 and the auditory paired-stimulus paradigm.解读异常:一项关于P50和听觉配对刺激范式的脑电图和脑磁图研究。
Biol Psychol. 2003 Dec;65(1):1-20. doi: 10.1016/s0301-0511(03)00094-2.
9
Complex patterns of spatially extended generators of epileptic activity: Comparison of source localization methods cMEM and 4-ExSo-MUSIC on high resolution EEG and MEG data.复杂的空间扩展癫痫活动发生器模式:高分辨率 EEG 和 MEG 数据上 cMEM 和 4-ExSo-MUSIC 源定位方法的比较。
Neuroimage. 2016 Dec;143:175-195. doi: 10.1016/j.neuroimage.2016.08.044. Epub 2016 Aug 22.
10
Effects of forward model errors on EEG source localization.正向模型误差对 EEG 源定位的影响。
Brain Topogr. 2013 Jul;26(3):378-96. doi: 10.1007/s10548-012-0274-6. Epub 2013 Jan 26.

本文引用的文献

1
Cortical Generators and Connections Underlying Phoneme Perception: A Mismatch Negativity and P300 Investigation.皮层发生器和音位感知的连接:失匹配负波和 P300 研究。
Brain Topogr. 2024 Nov;37(6):1089-1117. doi: 10.1007/s10548-024-01065-z. Epub 2024 Jul 3.
2
Effect of Healthy Aging and Gender on Syntactic Input Processing: A P600 Event-Related Potential Study.健康老龄化和性别对句法输入加工的影响:P600 事件相关电位研究。
J Speech Lang Hear Res. 2023 Aug 3;66(8):2701-2732. doi: 10.1044/2023_JSLHR-22-00633. Epub 2023 Jul 26.
3
Evaluating the influence of anatomical accuracy and electrode positions on EEG forward solutions.
评估解剖准确性和电极位置对 EEG 正问题的影响。
Neuroimage. 2023 Aug 15;277:120259. doi: 10.1016/j.neuroimage.2023.120259. Epub 2023 Jun 29.
4
Comparison of EEG Source Localization Using Simplified and Anatomically Accurate Head Models in Younger and Older Adults.采用简化和解剖精确的头部模型对年轻和老年成年人进行 EEG 源定位比较。
IEEE Trans Neural Syst Rehabil Eng. 2023;31:2591-2602. doi: 10.1109/TNSRE.2023.3281356. Epub 2023 Jun 13.
5
Brainstorm-DUNEuro: An integrated and user-friendly Finite Element Method for modeling electromagnetic brain activity.Brainstorm-DUNEuro:一种用于模拟电磁脑活动的集成式、用户友好的有限元方法。
Neuroimage. 2023 Feb 15;267:119851. doi: 10.1016/j.neuroimage.2022.119851. Epub 2023 Jan 1.
6
Towards an objective evaluation of EEG/MEG source estimation methods - The linear approach.面向 EEG/MEG 源估计方法的客观评估 - 线性方法。
Neuroimage. 2022 Jul 15;255:119177. doi: 10.1016/j.neuroimage.2022.119177. Epub 2022 Apr 4.
7
Source imaging of high-density visual evoked potentials with multi-scale brain parcellations and connectomes.基于多尺度脑区划分和连接组学的高密度视觉诱发电位源成像。
Sci Data. 2022 Jan 19;9(1):9. doi: 10.1038/s41597-021-01116-1.
8
The Influence of the Head Model Conductor on the Source Localization of Auditory Evoked Potentials.头模型导体对听觉诱发电位源定位的影响。
Brain Topogr. 2021 Nov;34(6):793-812. doi: 10.1007/s10548-021-00871-z. Epub 2021 Sep 27.
9
Spatial fidelity of MEG/EEG source estimates: A general evaluation approach.MEG/EEG 源估计的空间保真度:一种通用评估方法。
Neuroimage. 2021 Jan 1;224:117430. doi: 10.1016/j.neuroimage.2020.117430. Epub 2020 Oct 7.
10
Modeling time-varying brain networks with a self-tuning optimized Kalman filter.用自调优优化卡尔曼滤波器对时变脑网络进行建模。
PLoS Comput Biol. 2020 Aug 17;16(8):e1007566. doi: 10.1371/journal.pcbi.1007566. eCollection 2020 Aug.