• 文献检索
  • 文档翻译
  • 深度研究
  • 学术资讯
  • Suppr Zotero 插件Zotero 插件
  • 邀请有礼
  • 套餐&价格
  • 历史记录
应用&插件
Suppr Zotero 插件Zotero 插件浏览器插件Mac 客户端Windows 客户端微信小程序
定价
高级版会员购买积分包购买API积分包
服务
文献检索文档翻译深度研究API 文档MCP 服务
关于我们
关于 Suppr公司介绍联系我们用户协议隐私条款
关注我们

Suppr 超能文献

核心技术专利:CN118964589B侵权必究
粤ICP备2023148730 号-1Suppr @ 2026

文献检索

告别复杂PubMed语法,用中文像聊天一样搜索,搜遍4000万医学文献。AI智能推荐,让科研检索更轻松。

立即免费搜索

文件翻译

保留排版,准确专业,支持PDF/Word/PPT等文件格式,支持 12+语言互译。

免费翻译文档

深度研究

AI帮你快速写综述,25分钟生成高质量综述,智能提取关键信息,辅助科研写作。

立即免费体验

基于炎症-营养指数的列线图的构建及其预测 IB 期肺腺癌患者早期复发的验证

Development and validation of an inflammation-nutrition indices-based nomogram for predicting early recurrence in patients with stage IB lung adenocarcinoma.

机构信息

Department of Thoracic Surgery, The Affiliated Lihuili Hospital, Ningbo University, Ningbo, 315000, China.

Health Science Center, Ningbo University, Ningbo, 315000, China.

出版信息

Sci Rep. 2024 Oct 23;14(1):25111. doi: 10.1038/s41598-024-76230-2.

DOI:10.1038/s41598-024-76230-2
PMID:39443648
原文链接:https://pmc.ncbi.nlm.nih.gov/articles/PMC11500178/
Abstract

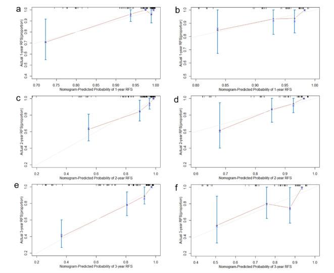
To explore the inflammation-nutrition indices and related clinical factors affecting early recurrence in patients with stage IB LUAD. A retrospective analysis was conducted on clinical and pathological data of patients diagnosed with stage IB LUAD who underwent radical surgery in our hospital from January 2016 to January 2021. Using R software, patients were randomly divided into training (n = 140) and validation (n = 59) cohorts in a 7:3 ratio. Univariate and multivariate Cox regression analyses were performed to identify risk factors for RFS and construct a predictive model. The performance of the model was evaluated using the area under the receiver operating characteristic curve (AUC), concordance index (C-index), and calibration curve. Clinical utility of the model was assessed using decision curve analysis (DCA). Multivariate Cox regression analysis revealed that vascular invasion, visceral pleural invasion, predominant pattern, preoperative NLR > 2.33, preoperative PLR > 127.62, and preoperative PNI ≤ 48.3 were independent risk factors for RFS. The C-index of the nomogram model constructed based on these independent risk factors was 0.825 (95% CI: 0.762-0.881) in the training cohort and 0.772 (95% CI: 0.667-0.876) in the validation cohort. The ROC curves showed AUCs of 0.902, 0.881, and 0.877 for 1-year, 2-year, and 3-year RFS in the training cohort and AUCs of 0.782, 0.825, and 0.732 in the validation cohort respectively. Calibration curve and decision curve analysis indicated good clinical value of the model. The nomogram model based on inflammation-nutrition indices has predictive value for early recurrence in patients with stage IB LUAD.

摘要

探讨影响 IB 期 LUAD 患者早期复发的炎症-营养指数及相关临床因素。对 2016 年 1 月至 2021 年 1 月在我院接受根治性手术治疗的 IB 期 LUAD 患者的临床和病理资料进行回顾性分析。采用 R 软件,以 7:3 的比例将患者随机分为训练集(n=140)和验证集(n=59)。采用单因素和多因素 Cox 回归分析识别 RFS 的危险因素,并构建预测模型。采用受试者工作特征曲线下面积(AUC)、一致性指数(C 指数)和校准曲线评估模型性能。采用决策曲线分析(DCA)评估模型的临床实用性。多因素 Cox 回归分析显示,血管侵犯、脏层胸膜侵犯、主要模式、术前 NLR>2.33、术前 PLR>127.62 和术前 PNI≤48.3 是 RFS 的独立危险因素。基于这些独立危险因素构建的列线图模型在训练队列中的 C 指数为 0.825(95%CI:0.762-0.881),在验证队列中的 C 指数为 0.772(95%CI:0.667-0.876)。ROC 曲线显示,训练队列中 1 年、2 年和 3 年 RFS 的 AUC 分别为 0.902、0.881 和 0.877,验证队列中的 AUC 分别为 0.782、0.825 和 0.732。校准曲线和决策曲线分析表明该模型具有良好的临床价值。基于炎症-营养指数的列线图模型对 IB 期 LUAD 患者的早期复发具有预测价值。

https://cdn.ncbi.nlm.nih.gov/pmc/blobs/a754/11500178/82730173bbd7/41598_2024_76230_Fig5_HTML.jpg
https://cdn.ncbi.nlm.nih.gov/pmc/blobs/a754/11500178/eb7448e476e8/41598_2024_76230_Fig1_HTML.jpg
https://cdn.ncbi.nlm.nih.gov/pmc/blobs/a754/11500178/69f9d58e9c51/41598_2024_76230_Fig2_HTML.jpg
https://cdn.ncbi.nlm.nih.gov/pmc/blobs/a754/11500178/717812999dab/41598_2024_76230_Fig3_HTML.jpg
https://cdn.ncbi.nlm.nih.gov/pmc/blobs/a754/11500178/b1d9e340a582/41598_2024_76230_Fig4_HTML.jpg
https://cdn.ncbi.nlm.nih.gov/pmc/blobs/a754/11500178/82730173bbd7/41598_2024_76230_Fig5_HTML.jpg
https://cdn.ncbi.nlm.nih.gov/pmc/blobs/a754/11500178/eb7448e476e8/41598_2024_76230_Fig1_HTML.jpg
https://cdn.ncbi.nlm.nih.gov/pmc/blobs/a754/11500178/69f9d58e9c51/41598_2024_76230_Fig2_HTML.jpg
https://cdn.ncbi.nlm.nih.gov/pmc/blobs/a754/11500178/717812999dab/41598_2024_76230_Fig3_HTML.jpg
https://cdn.ncbi.nlm.nih.gov/pmc/blobs/a754/11500178/b1d9e340a582/41598_2024_76230_Fig4_HTML.jpg
https://cdn.ncbi.nlm.nih.gov/pmc/blobs/a754/11500178/82730173bbd7/41598_2024_76230_Fig5_HTML.jpg

相似文献

1
Development and validation of an inflammation-nutrition indices-based nomogram for predicting early recurrence in patients with stage IB lung adenocarcinoma.基于炎症-营养指数的列线图的构建及其预测 IB 期肺腺癌患者早期复发的验证
Sci Rep. 2024 Oct 23;14(1):25111. doi: 10.1038/s41598-024-76230-2.
2
Predicting the prognosis of patients with renal cell carcinoma based on the systemic immune inflammation index and prognostic nutritional index.基于全身免疫炎症指数和预后营养指数预测肾细胞癌患者的预后。
Sci Rep. 2024 Oct 23;14(1):25045. doi: 10.1038/s41598-024-76519-2.
3
Prognostic model for predicting recurrence in hepatocellular carcinoma patients with high systemic immune-inflammation index based on machine learning in a multicenter study.基于多中心研究的机器学习构建高全身免疫炎症指数肝癌患者复发预测的预后模型。
Front Immunol. 2024 Sep 9;15:1459740. doi: 10.3389/fimmu.2024.1459740. eCollection 2024.
4
Nomograms established for predicting microvascular invasion and early recurrence in patients with small hepatocellular carcinoma.建立预测小肝细胞癌患者微血管侵犯和早期复发的列线图。
BMC Cancer. 2024 Aug 1;24(1):929. doi: 10.1186/s12885-024-12655-2.
5
Nomogram for the preoperative prediction of Ki-67 expression and prognosis in stage IA lung adenocarcinoma based on clinical and multi-slice spiral computed tomography features.基于临床和多层螺旋计算机断层扫描特征的IA期肺腺癌Ki-67表达及预后术前预测列线图
BMC Med Imaging. 2024 Jun 12;24(1):143. doi: 10.1186/s12880-024-01305-5.
6
Predictive value of inflammation and nutritional index in immunotherapy for stage IV non-small cell lung cancer and model construction.炎症和营养指标对 IV 期非小细胞肺癌免疫治疗的预测价值及模型构建。
Sci Rep. 2024 Jul 30;14(1):17511. doi: 10.1038/s41598-024-66813-4.
7
The advanced lung cancer inflammation index (ALI) predicted the postoperative survival rate of patients with non-small cell lung cancer and the construction of a nomogram model.高级肺癌炎症指数 (ALI) 预测了非小细胞肺癌患者的术后生存率和列线图模型的构建。
World J Surg Oncol. 2024 Jun 14;22(1):158. doi: 10.1186/s12957-024-03432-3.
8
Development and validation of a nomogram for predicting cancer-specific survival in small-bowel adenocarcinoma patients using the SEER database.基于 SEER 数据库的列线图模型构建与验证:用于预测小肠腺癌患者癌症特异性生存的研究。
World J Surg Oncol. 2024 Jun 7;22(1):151. doi: 10.1186/s12957-024-03438-x.
9
Development and validation of nomograms to accurately predict risk of recurrence for patients with laryngeal squamous cell carcinoma: Cohort study.列名法的开发与验证可准确预测喉鳞状细胞癌患者的复发风险:队列研究。
Int J Surg. 2020 Apr;76:163-170. doi: 10.1016/j.ijsu.2020.03.010. Epub 2020 Mar 12.
10
[Establishment and verification of a prognostic nomogram for survival of tongue squamous cell carcinoma patients who underwent cervical dissection].[接受颈清扫术的舌鳞状细胞癌患者生存预后列线图的建立与验证]
Beijing Da Xue Xue Bao Yi Xue Ban. 2024 Feb 18;56(1):120-130. doi: 10.19723/j.issn.1671-167X.2024.01.019.

本文引用的文献

1
Prognostic evaluation of stage I lung adenocarcinoma based on systematic inflammatory response.基于系统性炎症反应的 I 期肺腺癌预后评估。
JNCI Cancer Spectr. 2023 Oct 31;7(6). doi: 10.1093/jncics/pkad090.
2
Prognostic assessment of lung adenocarcinoma patients with early-staging diseases: a nomogram based on coagulation-related factors.基于凝血相关因素的列线图:用于早期肺腺癌患者预后评估。
Eur J Cardiothorac Surg. 2023 Nov 1;64(5). doi: 10.1093/ejcts/ezad313.
3
Systemic inflammation influences the prognosis of patients with radically resected non-small cell lung cancer and correlates with the immunosuppressive microenvironment.
系统性炎症影响根治性切除的非小细胞肺癌患者的预后,并与免疫抑制微环境相关。
Int J Cancer. 2023 Aug 15;153(4):826-842. doi: 10.1002/ijc.34547. Epub 2023 Apr 26.
4
Development and validation of a new prognostic immune-inflammatory-nutritional score for predicting outcomes after curative resection for intrahepatic cholangiocarcinoma: A multicenter study.开发和验证一种新的预后免疫炎症营养评分,用于预测肝内胆管癌根治性切除术后的结局:一项多中心研究。
Front Immunol. 2023 Mar 31;14:1165510. doi: 10.3389/fimmu.2023.1165510. eCollection 2023.
5
T follicular helper cells in cancer.肿瘤中的滤泡辅助 T 细胞。
Trends Cancer. 2023 Apr;9(4):309-325. doi: 10.1016/j.trecan.2022.12.007. Epub 2023 Jan 14.
6
Intratumoral and peritumoral radiomics nomograms for the preoperative prediction of lymphovascular invasion and overall survival in non-small cell lung cancer.用于术前预测非小细胞肺癌中淋巴管侵犯和总生存期的瘤内及瘤周放射组学列线图。
Eur Radiol. 2023 Feb;33(2):947-958. doi: 10.1007/s00330-022-09109-3. Epub 2022 Sep 6.
7
Non-Small Cell Lung Cancer, Version 3.2022, NCCN Clinical Practice Guidelines in Oncology.非小细胞肺癌,2022年第3版,美国国立综合癌症网络(NCCN)肿瘤学临床实践指南
J Natl Compr Canc Netw. 2022 May;20(5):497-530. doi: 10.6004/jnccn.2022.0025.
8
The 2021 WHO Classification of Lung Tumors: Impact of Advances Since 2015.2021 年世卫组织肺肿瘤分类:自 2015 年以来的进展影响。
J Thorac Oncol. 2022 Mar;17(3):362-387. doi: 10.1016/j.jtho.2021.11.003. Epub 2021 Nov 20.
9
Neutrophil extracellular traps in cancer.中性粒细胞胞外陷阱在癌症中的作用。
Semin Cancer Biol. 2022 Feb;79:91-104. doi: 10.1016/j.semcancer.2021.07.011. Epub 2021 Jul 16.
10
Preoperative Prognostic Nutrition Index as a Prognostic Indicator of Survival in Elderly Patients Undergoing Gastric Cancer Surgery.术前预后营养指数作为老年胃癌手术患者生存的预后指标
Cancer Manag Res. 2021 Jul 2;13:5263-5273. doi: 10.2147/CMAR.S316437. eCollection 2021.