• 文献检索
  • 文档翻译
  • 深度研究
  • 学术资讯
  • Suppr Zotero 插件Zotero 插件
  • 邀请有礼
  • 套餐&价格
  • 历史记录
应用&插件
Suppr Zotero 插件Zotero 插件浏览器插件Mac 客户端Windows 客户端微信小程序
定价
高级版会员购买积分包购买API积分包
服务
文献检索文档翻译深度研究API 文档MCP 服务
关于我们
关于 Suppr公司介绍联系我们用户协议隐私条款
关注我们

Suppr 超能文献

核心技术专利:CN118964589B侵权必究
粤ICP备2023148730 号-1Suppr @ 2026

文献检索

告别复杂PubMed语法,用中文像聊天一样搜索,搜遍4000万医学文献。AI智能推荐,让科研检索更轻松。

立即免费搜索

文件翻译

保留排版,准确专业,支持PDF/Word/PPT等文件格式,支持 12+语言互译。

免费翻译文档

深度研究

AI帮你快速写综述,25分钟生成高质量综述,智能提取关键信息,辅助科研写作。

立即免费体验

利用光催化、膜分离和光催化膜反应器高效去除全氟烷基和多氟烷基物质

Efficient Removal of PFASs Using Photocatalysis, Membrane Separation and Photocatalytic Membrane Reactors.

作者信息

Mabaso Nonhle Siphelele Neliswa, Tshangana Charmaine Sesethu, Muleja Adolph Anga

机构信息

Institute for Nanotechnology and Water Sustainability, College of Science, Engineering and Technology, University of South Africa, Johannesburg 1709, South Africa.

出版信息

Membranes (Basel). 2024 Oct 14;14(10):217. doi: 10.3390/membranes14100217.

DOI:10.3390/membranes14100217
PMID:39452829
原文链接:https://pmc.ncbi.nlm.nih.gov/articles/PMC11509138/
Abstract

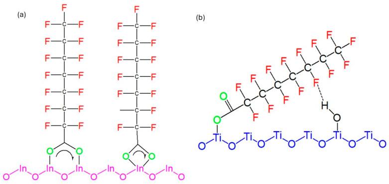
Perfluoroalkyl and polyfluoroalkyl substances (PFASs) are persistent compounds characterized by stable C-F bonds giving them high thermal and chemical stability. Numerous studies have highlighted the presence of PFASs in the environment, surface waters and animals and humans. Exposure to these chemicals has been found to cause various health effects and has necessitated the need to develop methods to remove them from the environment. To date, the use of photocatalytic degradation and membrane separation to remove PFASs from water has been widely studied; however, these methods have drawbacks hindering them from being applied at full scale, including the recovery of the photocatalyst, uneven light distribution and membrane fouling. Therefore, to overcome some of these challenges, there has been research involving the coupling of photocatalysis and membrane separation to form photocatalytic membrane reactors which facilitate in the recovery of the photocatalyst, ensuring even light distribution and mitigating fouling. This review not only highlights recent advancements in the removal of PFASs using photocatalysis and membrane separation but also provides comprehensive information on the integration of photocatalysis and membrane separation to form photocatalytic membrane reactors. It emphasizes the performance of immobilized and slurry systems in PFAS removal while also addressing the associated challenges and offering recommendations for improvement. Factors influencing the performance of these methods will be comprehensively discussed, as well as the nanomaterials used for each technology. Additionally, knowledge gaps regarding the removal of PFASs using integrated photocatalytic membrane systems will be addressed, along with a comprehensive discussion on how these technologies can be applied in real-world applications.

摘要

全氟烷基和多氟烷基物质(PFASs)是持久性化合物,其特征在于稳定的C-F键,赋予它们高的热稳定性和化学稳定性。大量研究突出了PFASs在环境、地表水以及动物和人类中的存在。已发现接触这些化学物质会导致各种健康影响,因此有必要开发从环境中去除它们的方法。迄今为止,利用光催化降解和膜分离从水中去除PFASs已得到广泛研究;然而,这些方法存在一些缺点,阻碍了它们的大规模应用,包括光催化剂的回收、光分布不均匀和膜污染。因此,为了克服其中一些挑战,已有研究涉及将光催化与膜分离相结合,形成光催化膜反应器,这有助于光催化剂的回收,确保光分布均匀并减轻污染。本综述不仅突出了利用光催化和膜分离去除PFASs的最新进展,还提供了关于光催化与膜分离集成以形成光催化膜反应器的全面信息。它强调了固定化和悬浮体系在去除PFASs方面的性能,同时也解决了相关挑战并提出了改进建议。将全面讨论影响这些方法性能的因素,以及每种技术所使用的纳米材料。此外,还将解决使用集成光催化膜系统去除PFASs方面的知识空白,并全面讨论这些技术如何应用于实际应用中。

https://cdn.ncbi.nlm.nih.gov/pmc/blobs/5cb6/11509138/4dc0642f9247/membranes-14-00217-g010.jpg
https://cdn.ncbi.nlm.nih.gov/pmc/blobs/5cb6/11509138/f70d9ea3ba04/membranes-14-00217-g002.jpg
https://cdn.ncbi.nlm.nih.gov/pmc/blobs/5cb6/11509138/4f411eae3879/membranes-14-00217-g001.jpg
https://cdn.ncbi.nlm.nih.gov/pmc/blobs/5cb6/11509138/09f3ef84fc5b/membranes-14-00217-g003.jpg
https://cdn.ncbi.nlm.nih.gov/pmc/blobs/5cb6/11509138/521aa34f465b/membranes-14-00217-g005.jpg
https://cdn.ncbi.nlm.nih.gov/pmc/blobs/5cb6/11509138/d2ce429e10d8/membranes-14-00217-g006.jpg
https://cdn.ncbi.nlm.nih.gov/pmc/blobs/5cb6/11509138/c46574608fcf/membranes-14-00217-g008.jpg
https://cdn.ncbi.nlm.nih.gov/pmc/blobs/5cb6/11509138/b3b7a2105022/membranes-14-00217-g009.jpg
https://cdn.ncbi.nlm.nih.gov/pmc/blobs/5cb6/11509138/4dc0642f9247/membranes-14-00217-g010.jpg
https://cdn.ncbi.nlm.nih.gov/pmc/blobs/5cb6/11509138/f70d9ea3ba04/membranes-14-00217-g002.jpg
https://cdn.ncbi.nlm.nih.gov/pmc/blobs/5cb6/11509138/4f411eae3879/membranes-14-00217-g001.jpg
https://cdn.ncbi.nlm.nih.gov/pmc/blobs/5cb6/11509138/09f3ef84fc5b/membranes-14-00217-g003.jpg
https://cdn.ncbi.nlm.nih.gov/pmc/blobs/5cb6/11509138/521aa34f465b/membranes-14-00217-g005.jpg
https://cdn.ncbi.nlm.nih.gov/pmc/blobs/5cb6/11509138/d2ce429e10d8/membranes-14-00217-g006.jpg
https://cdn.ncbi.nlm.nih.gov/pmc/blobs/5cb6/11509138/c46574608fcf/membranes-14-00217-g008.jpg
https://cdn.ncbi.nlm.nih.gov/pmc/blobs/5cb6/11509138/b3b7a2105022/membranes-14-00217-g009.jpg
https://cdn.ncbi.nlm.nih.gov/pmc/blobs/5cb6/11509138/4dc0642f9247/membranes-14-00217-g010.jpg

相似文献

1
Efficient Removal of PFASs Using Photocatalysis, Membrane Separation and Photocatalytic Membrane Reactors.利用光催化、膜分离和光催化膜反应器高效去除全氟烷基和多氟烷基物质
Membranes (Basel). 2024 Oct 14;14(10):217. doi: 10.3390/membranes14100217.
2
Photodegradation and photocatalysis of per- and polyfluoroalkyl substances (PFAS): A review of recent progress.全氟和多氟烷基物质(PFAS)的光降解和光催化:近期进展综述
Next Mater. 2024 Jan;2:1-12. doi: 10.1016/j.nxmate.2023.100077.
3
Strategies to improve adsorption and photocatalytic performance of metal-organic frameworks (MOFs) for perfluoroalkyl and polyfluoroalkyl substances (PFASs) removal from water: A review.提高金属有机骨架(MOFs)吸附和光催化性能以去除水中全氟烷基和多氟烷基物质(PFASs)的策略:综述。
Environ Res. 2024 Jan 1;240(Pt 1):117483. doi: 10.1016/j.envres.2023.117483. Epub 2023 Nov 3.
4
The degradation mechanisms of perfluorooctanoic acid (PFOA) and perfluorooctane sulfonic acid (PFOS) by different chemical methods: A critical review.不同化学方法降解全氟辛酸(PFOA)和全氟辛烷磺酸(PFOS)的降解机制:批判性评价。
Chemosphere. 2021 Nov;283:131168. doi: 10.1016/j.chemosphere.2021.131168. Epub 2021 Jun 13.
5
Reverse osmosis and nanofiltration membranes for highly efficient PFASs removal: overview, challenges and future perspectives.反渗透和纳滤膜在高效去除全氟烷基物质(PFASs)方面的应用:概述、挑战与未来展望。
Dalton Trans. 2021 Apr 28;50(16):5398-5410. doi: 10.1039/d1dt00360g.
6
Removal of emerging perfluorooctanoic acid and perfluorooctane sulfonate contaminants from lake water.去除湖水中新出现的全氟辛酸和全氟辛烷磺酸污染物。
Environ Technol. 2017 Aug;38(15):1937-1942. doi: 10.1080/09593330.2016.1240716. Epub 2016 Oct 11.
7
Thermal mineralization behavior of PFOA, PFHxA, and PFOS during reactivation of granular activated carbon (GAC) in nitrogen atmosphere.在氮气氛围中再激活颗粒活性炭(GAC)时,全氟辛酸(PFOA)、全氟己酸(PFHxA)和全氟辛烷磺酸(PFOS)的热矿化行为。
Environ Sci Pollut Res Int. 2018 Mar;25(8):7200-7205. doi: 10.1007/s11356-015-5353-2. Epub 2015 Sep 11.
8
Progress and perspectives on carbon-based materials for adsorptive removal and photocatalytic degradation of perfluoroalkyl and polyfluoroalkyl substances (PFAS).用于吸附去除和光催化降解全氟烷基和多氟烷基物质(PFAS)的碳基材料的进展与展望
Chemosphere. 2024 Mar;351:141164. doi: 10.1016/j.chemosphere.2024.141164. Epub 2024 Jan 10.
9
Impact of supporting electrolyte on electrochemical performance of borophene-functionalized graphene sponge anode and degradation of per- and polyfluoroalkyl substances (PFAS).支持电解质对硼烯功能化石墨烯海绵阳极的电化学性能及全氟和多氟烷基物质(PFAS)降解的影响。
Water Res. 2023 Aug 15;242:120232. doi: 10.1016/j.watres.2023.120232. Epub 2023 Jun 15.
10
Sorptive removal of per- and polyfluoroalkyl substances from aqueous solution: Enhanced sorption, challenges and perspectives.从水溶液中吸附去除全氟和多氟烷基物质:增强吸附、挑战与展望
Sci Total Environ. 2023 Feb 25;861:160647. doi: 10.1016/j.scitotenv.2022.160647. Epub 2022 Nov 29.

引用本文的文献

1
Challenges and Perspectives on Photocatalytic Membrane Reactors for Volatile Organic Compounds Degradation and Nitrogen Oxides Treatment.用于挥发性有机化合物降解和氮氧化物处理的光催化膜反应器面临的挑战与展望
Glob Chall. 2025 Apr 17;9(5):2500035. doi: 10.1002/gch2.202500035. eCollection 2025 May.

本文引用的文献

1
Hybrid graphenic and iron oxide photocatalysts for the decomposition of synthetic chemicals.用于合成化学品分解的石墨烯与氧化铁混合光催化剂。
Commun Eng. 2024 Aug 21;3(1):114. doi: 10.1038/s44172-024-00267-4.
2
Photodegradation and photocatalysis of per- and polyfluoroalkyl substances (PFAS): A review of recent progress.全氟和多氟烷基物质(PFAS)的光降解和光催化:近期进展综述
Next Mater. 2024 Jan;2:1-12. doi: 10.1016/j.nxmate.2023.100077.
3
Evaluation of commercial nanofiltration and reverse osmosis membrane filtration to remove per-and polyfluoroalkyl substances (PFAS): Effects of transmembrane pressures and water matrices.
评估商业纳滤和反渗透膜过滤去除全氟和多氟烷基物质 (PFAS):跨膜压力和水基质的影响。
Water Environ Res. 2024 Feb;96(2):e10983. doi: 10.1002/wer.10983.
4
Visible light induced degradation of perfluorooctanoic acid using iodine deficient bismuth oxyiodide photocatalyst.利用缺碘的碘氧化铋光催化剂实现可见光诱导全氟辛酸的降解
J Hazard Mater. 2023 Sep 15;458:131897. doi: 10.1016/j.jhazmat.2023.131897. Epub 2023 Jun 19.
5
Removal of per- and polyfluoroalkyl substances by nanofiltration: Effect of molecular structure and coexisting natural organic matter.纳滤去除全氟和多氟烷基物质:分子结构和共存天然有机物的影响。
J Hazard Mater. 2023 Jul 15;454:131438. doi: 10.1016/j.jhazmat.2023.131438. Epub 2023 Apr 20.
6
Photocatalytic degradation of perfluorooctanoic acid on Pb-doped TiO coated with reduced graphene oxide.载还原氧化石墨烯的 Pb 掺杂 TiO2 的光催化降解全氟辛酸
Water Environ Res. 2023 May;95(5):e10871. doi: 10.1002/wer.10871.
7
Interdependence of Kinetics and Fluid Dynamics in the Design of Photocatalytic Membrane Reactors.光催化膜反应器设计中动力学与流体动力学的相互依存关系
Membranes (Basel). 2022 Jul 29;12(8):745. doi: 10.3390/membranes12080745.
8
Photocatalytic degradation of GenX in water using a new adsorptive photocatalyst.使用新型吸附光催化剂在水中光催化降解 GenX。
Water Res. 2022 Jul 15;220:118650. doi: 10.1016/j.watres.2022.118650. Epub 2022 May 23.
9
Functionalized-MXene Thin-Film Nanocomposite Hollow Fiber Membranes for Enhanced PFAS Removal from Water.用于增强从水中去除全氟和多氟烷基物质的功能化MXene薄膜纳米复合中空纤维膜
ACS Appl Mater Interfaces. 2022 Jun 8;14(22):25397-25408. doi: 10.1021/acsami.2c03796. Epub 2022 May 24.
10
Emerging technologies for PFOS/PFOA degradation and removal: A review.新兴技术用于 PFOS/PFOA 的降解和去除:综述。
Sci Total Environ. 2022 Jun 25;827:153669. doi: 10.1016/j.scitotenv.2022.153669. Epub 2022 Feb 23.