• 文献检索
  • 文档翻译
  • 深度研究
  • 学术资讯
  • Suppr Zotero 插件Zotero 插件
  • 邀请有礼
  • 套餐&价格
  • 历史记录
应用&插件
Suppr Zotero 插件Zotero 插件浏览器插件Mac 客户端Windows 客户端微信小程序
定价
高级版会员购买积分包购买API积分包
服务
文献检索文档翻译深度研究API 文档MCP 服务
关于我们
关于 Suppr公司介绍联系我们用户协议隐私条款
关注我们

Suppr 超能文献

核心技术专利:CN118964589B侵权必究
粤ICP备2023148730 号-1Suppr @ 2026

文献检索

告别复杂PubMed语法,用中文像聊天一样搜索,搜遍4000万医学文献。AI智能推荐,让科研检索更轻松。

立即免费搜索

文件翻译

保留排版,准确专业,支持PDF/Word/PPT等文件格式,支持 12+语言互译。

免费翻译文档

深度研究

AI帮你快速写综述,25分钟生成高质量综述,智能提取关键信息,辅助科研写作。

立即免费体验

患者全身健康状况在高级别软骨肉瘤预后中的重要性:一项全国多中心研究

The Importance of Patient Systemic Health Status in High-Grade Chondrosarcoma Prognosis: A National Multicenter Study.

作者信息

van Praag Veroniek M, Molenaar Dominique, Tendijck Guus A H, Schaap Gerard R, Jutte Paul C, van der Geest Ingrid C M, Fiocco Marta, van de Sande Michiel A J

机构信息

Department of Orthopedic Surgery, Leiden University Medical Center, Albinusdreef 2, 2333 ZA Leiden, The Netherlands.

Department of Orthopedic Surgery, Amsterdam University Medical Center, Meibergdreef 9, 1105 AZ Amsterdam, The Netherlands.

出版信息

Cancers (Basel). 2024 Oct 14;16(20):3484. doi: 10.3390/cancers16203484.

DOI:10.3390/cancers16203484
PMID:39456578
原文链接:https://pmc.ncbi.nlm.nih.gov/articles/PMC11506449/
Abstract

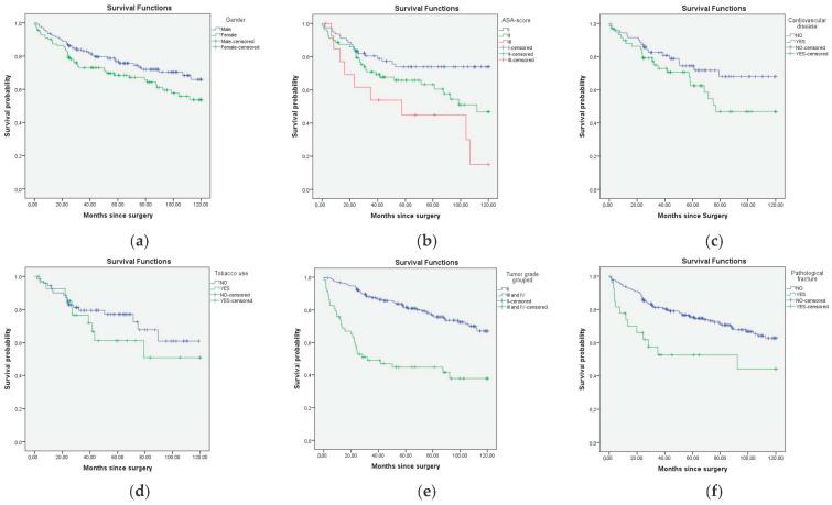
Due to the relatively advanced age and high mortality rate of patients with high-grade chondrosarcoma (CS), it is important to holistically assess patient- and tumor characteristics in multidisciplinary team and shared decision-making with regard to treatment options. While current prognostic models include multiple tumor and treatment characteristics, the only patient characteristics that are commonly included are age and gender. Based on clinical experience, we believe that factors related to patient preoperative systemic health status such as the American Society of Anesthesiologists (ASA) score may be equally important prognostic factors for overall survival (OS). A retrospective nationwide cohort study was identified from four specialized bone sarcoma centers in The Netherlands. Patients with a primary CS grade II, III, and dedifferentiated CS were eligible. Prognostic factors including age at presentation, gender, ASA score, CVD, tobacco use, BMI, histological tumor grade, tumor size, pathological fracture, presentation after unplanned excision, type of surgery and surgical margin were evaluated. The outcome measure was OS at the time of surgery. The Kaplan-Meier methodology was employed to estimate OS; a log-rank test was used to assess the difference in survival. To study the impact of prognostic factors on OS, a multivariate Cox proportional hazard regression model was estimated. In total, 249 patients were eligible for this study, and 89 were deceased at the end of follow-up. In multivariate analysis, histological grade (HR 2.247, 95% CI 1.334-3.783), ASA score III (HR 2.615, 95% CI 1.145-5.976, vs. ASA I), and age per year (HR: 1.025, 95% CI 1.004-1.045) were negatively associated with OS. No association was found between tobacco use, BMI, gender or cardiovascular disease and OS in this cohort. Pathological fracture and tumor size were only associated with OS in univariate analysis. This multicenter study is the first on sarcomas to include ASA in a prognostic model. Results show that ASA score as a proxy for patients' systemic health status should be included when providing a prognosis for patients with a high-grade primary CS, besides the conventional risk factors such as tumor grade and age. Specifically, severe systemic disease (ASA score III) is a strong negative predictor. Conversely, we found no difference in OS between ASA scores I and II. These findings aid multidisciplinary team and shared decision-making with regard to these complex sarcoma patients that often require life-changing surgeries. Prognostic level III. See the instructions for authors for the complete description of levels of evidence.

摘要

由于高级别软骨肉瘤(CS)患者年龄相对较大且死亡率较高,在多学科团队中全面评估患者特征和肿瘤特征,并就治疗方案进行共同决策非常重要。虽然目前的预后模型包括多种肿瘤和治疗特征,但通常纳入的唯一患者特征是年龄和性别。根据临床经验,我们认为与患者术前全身健康状况相关的因素,如美国麻醉医师协会(ASA)评分,可能是总生存期(OS)同样重要的预后因素。一项回顾性全国队列研究来自荷兰的四个专业骨肉瘤中心。原发性CS II级、III级和去分化CS患者符合条件。评估了预后因素,包括就诊时年龄、性别、ASA评分、心血管疾病、吸烟情况、体重指数、组织学肿瘤分级、肿瘤大小、病理性骨折、计划外切除后就诊、手术类型和手术切缘。结局指标是手术时的OS。采用Kaplan-Meier方法估计OS;使用对数秩检验评估生存差异。为了研究预后因素对OS的影响,估计了多变量Cox比例风险回归模型。总共249例患者符合本研究条件,89例在随访结束时死亡。在多变量分析中,组织学分级(HR 2.247,95%CI 1.334 - 3.783)、ASA评分III(HR 2.615,95%CI 1.145 - 5.976,与ASA I相比)和每年年龄(HR:1.025,95%CI 1.004 - 1.045)与OS呈负相关。在该队列中,未发现吸烟、体重指数、性别或心血管疾病与OS之间存在关联。病理性骨折和肿瘤大小仅在单变量分析中与OS相关。这项多中心研究是肉瘤领域首次将ASA纳入预后模型的研究。结果表明,在为高级别原发性CS患者提供预后时,除了肿瘤分级和年龄等传统风险因素外,应将ASA评分作为患者全身健康状况的指标纳入。具体而言,严重全身疾病(ASA评分III)是一个强有力的负性预测因素。相反,我们发现ASA评分I和II之间的OS没有差异。这些发现有助于多学科团队针对这些通常需要改变生活的手术的复杂肉瘤患者进行共同决策。预后水平III。有关证据水平的完整描述,请参阅作者指南。

https://cdn.ncbi.nlm.nih.gov/pmc/blobs/9bfd/11506449/a960c04dbbdc/cancers-16-03484-g002.jpg
https://cdn.ncbi.nlm.nih.gov/pmc/blobs/9bfd/11506449/e1e1feab07d9/cancers-16-03484-g0A1.jpg
https://cdn.ncbi.nlm.nih.gov/pmc/blobs/9bfd/11506449/ec0d4aa5959a/cancers-16-03484-g001.jpg
https://cdn.ncbi.nlm.nih.gov/pmc/blobs/9bfd/11506449/a960c04dbbdc/cancers-16-03484-g002.jpg
https://cdn.ncbi.nlm.nih.gov/pmc/blobs/9bfd/11506449/e1e1feab07d9/cancers-16-03484-g0A1.jpg
https://cdn.ncbi.nlm.nih.gov/pmc/blobs/9bfd/11506449/ec0d4aa5959a/cancers-16-03484-g001.jpg
https://cdn.ncbi.nlm.nih.gov/pmc/blobs/9bfd/11506449/a960c04dbbdc/cancers-16-03484-g002.jpg

相似文献

1
The Importance of Patient Systemic Health Status in High-Grade Chondrosarcoma Prognosis: A National Multicenter Study.患者全身健康状况在高级别软骨肉瘤预后中的重要性:一项全国多中心研究
Cancers (Basel). 2024 Oct 14;16(20):3484. doi: 10.3390/cancers16203484.
2
Characteristics and Long-Term Outcome of Surgically Managed High-Grade Extremity Chondrosarcoma.手术治疗高级别肢体软骨肉瘤的特点及长期预后。
Iowa Orthop J. 2023;43(1):71-75.
3
Elevated Controlling Nutritional Status (CONUT) Score is Associated with Poor Long-term Survival in Patients with Low-grade Soft-tissue Sarcomas Treated with Surgical Resection.控制营养状况(CONUT)评分升高与接受手术切除治疗的低度软组织肉瘤患者的不良长期生存相关。
Clin Orthop Relat Res. 2019 Oct;477(10):2287-2295. doi: 10.1097/CORR.0000000000000767.
4
Homogenous and Heterogenous Prognostic Factors for Patients with Bone Sarcoma.骨肉瘤患者的同质和异质预后因素。
Orthop Surg. 2021 Feb;13(1):134-144. doi: 10.1111/os.12851. Epub 2020 Dec 10.
5
Identifying the Prognosis Factors and Predicting the Survival Probability in Patients with Non-Metastatic Chondrosarcoma from the SEER Database.从 SEER 数据库中识别非转移性软骨肉瘤患者的预后因素并预测其生存概率。
Orthop Surg. 2019 Oct;11(5):801-810. doi: 10.1111/os.12521.
6
Prognostic role of elevated preoperative systemic inflammatory markers in localized soft tissue sarcoma.术前全身炎症标志物升高在局限性软组织肉瘤中的预后作用
Cancer Biomark. 2016;16(3):333-42. doi: 10.3233/CBM-160571.
7
Does Resection of the Primary Tumor Improve Survival in Patients With Metastatic Chondrosarcoma?原发肿瘤切除术是否能改善转移性软骨肉瘤患者的生存?
Clin Orthop Relat Res. 2019 Mar;477(3):573-583. doi: 10.1097/CORR.0000000000000632.
8
Folic acid supplementation and malaria susceptibility and severity among people taking antifolate antimalarial drugs in endemic areas.在流行地区,服用抗叶酸抗疟药物的人群中,叶酸补充剂与疟疾易感性和严重程度的关系。
Cochrane Database Syst Rev. 2022 Feb 1;2(2022):CD014217. doi: 10.1002/14651858.CD014217.
9
How Are Indeterminate Pulmonary Nodules at Diagnosis Associated with Survival in Patients with High-Grade Osteosarcoma?初诊时的不确定肺部结节与高级别骨肉瘤患者的生存有何关联?
Clin Orthop Relat Res. 2021 Feb 1;479(2):298-308. doi: 10.1097/CORR.0000000000001491.
10
Prognostic Factors and Treatment Options for Patients with High-Grade Chondrosarcoma.高级别软骨肉瘤患者的预后因素和治疗选择。
Med Sci Monit. 2019 Nov 25;25:8952-8967. doi: 10.12659/MSM.917959.

本文引用的文献

1
Chondrosarcoma of the Proximal Humerus: Does the Margin Affect Survival?肱骨近端软骨肉瘤:切缘是否影响生存率?
Cancers (Basel). 2023 Apr 17;15(8):2337. doi: 10.3390/cancers15082337.
2
Evaluation of prognostic factors affecting survival in chondrosarcoma treatment and comparison with literature.评估影响软骨肉瘤治疗生存的预后因素并与文献比较。
Jt Dis Relat Surg. 2022;33(2):440-448. doi: 10.52312/jdrs.2022.526. Epub 2022 Jul 6.
3
Influence of American Society of Anesthesiologists Score on Oncologic Outcomes in Patients With Upper Tract Urothelial Carcinoma After Radical Nephroureterectomy: A Large-Sample Study in Two Institutions.
美国麻醉医师协会评分对根治性肾输尿管切除术后上尿路尿路上皮癌患者肿瘤学结局的影响:一项在两家机构开展的大样本研究
Front Oncol. 2021 Oct 4;11:723669. doi: 10.3389/fonc.2021.723669. eCollection 2021.
4
The impact of preoperative ASA-physical status on postoperative complications and long-term survival outcomes in gastric cancer patients.术前 ASA 身体状况对胃癌患者术后并发症和长期生存结局的影响。
Eur Rev Med Pharmacol Sci. 2019 Sep;23(17):7383-7390. doi: 10.26355/eurrev_201909_18846.
5
Prognostic factors for patients with chondrosarcoma: A survival analysis based on the Surveillance, Epidemiology, and End Results (SEER) database (1973-2012).软骨肉瘤患者的预后因素:基于监测、流行病学和最终结果(SEER)数据库(1973 - 2012年)的生存分析
J Bone Oncol. 2018 Sep 18;13:55-61. doi: 10.1016/j.jbo.2018.09.003. eCollection 2018 Nov.
6
Dynamic prediction of overall survival for patients with high-grade extremity soft tissue sarcoma.高级别肢体软组织肉瘤患者总生存期的动态预测
Surg Oncol. 2018 Dec;27(4):695-701. doi: 10.1016/j.suronc.2018.09.003. Epub 2018 Sep 7.
7
Incidence, outcomes and prognostic factors during 25 years of treatment of chondrosarcomas.软骨肉瘤25年治疗期间的发病率、治疗结果及预后因素
Surg Oncol. 2018 Sep;27(3):402-408. doi: 10.1016/j.suronc.2018.05.009. Epub 2018 May 6.
8
Survival and prognostic factors in conventional central chondrosarcoma.常规中央性软骨肉瘤的生存和预后因素。
BMC Cancer. 2018 Aug 24;18(1):849. doi: 10.1186/s12885-018-4741-7.
9
The role of surgical margins in chondrosarcoma.软骨肉瘤中外科边界的作用。
Eur J Surg Oncol. 2018 Sep;44(9):1412-1418. doi: 10.1016/j.ejso.2018.05.033. Epub 2018 Jun 8.
10
Public awareness and healthcare professional advice for obesity as a risk factor for cancer in the UK: a cross-sectional survey.英国公众对肥胖作为癌症风险因素的认知和医疗保健专业人员的建议:一项横断面调查。
J Public Health (Oxf). 2018 Dec 1;40(4):797-805. doi: 10.1093/pubmed/fdx145.