• 文献检索
  • 文档翻译
  • 深度研究
  • 学术资讯
  • Suppr Zotero 插件Zotero 插件
  • 邀请有礼
  • 套餐&价格
  • 历史记录
应用&插件
Suppr Zotero 插件Zotero 插件浏览器插件Mac 客户端Windows 客户端微信小程序
定价
高级版会员购买积分包购买API积分包
服务
文献检索文档翻译深度研究API 文档MCP 服务
关于我们
关于 Suppr公司介绍联系我们用户协议隐私条款
关注我们

Suppr 超能文献

核心技术专利:CN118964589B侵权必究
粤ICP备2023148730 号-1Suppr @ 2026

文献检索

告别复杂PubMed语法,用中文像聊天一样搜索,搜遍4000万医学文献。AI智能推荐,让科研检索更轻松。

立即免费搜索

文件翻译

保留排版,准确专业,支持PDF/Word/PPT等文件格式,支持 12+语言互译。

免费翻译文档

深度研究

AI帮你快速写综述,25分钟生成高质量综述,智能提取关键信息,辅助科研写作。

立即免费体验

用于评估高级护理人员对 23 种潜在可改变癌症风险因素的感知重要性的混合多准则决策模型。

Hybrid multi-criteria decision-making model for assessing perceived significance of 23 potentially modifiable cancer risk factors among senior nursing officers.

机构信息

Evidence-Based Medicine Center, Taizhou Hospital of Zhejiang Province, Affiliated to Wenzhou Medical University, Linhai, Zhejiang, 317000, China.

Department of Gastroenterology, Taizhou Hospital of Zhejiang Province, Affiliated to Wenzhou Medical University, Linhai, Zhejiang, 317000, China.

出版信息

BMC Cancer. 2024 Oct 30;24(1):1334. doi: 10.1186/s12885-024-13078-9.

DOI:10.1186/s12885-024-13078-9
PMID:39478524
原文链接:https://pmc.ncbi.nlm.nih.gov/articles/PMC11523639/
Abstract

BACKGROUND

Potentially modifiable cancer risk factors have been increasingly recognized among the Chinese population. In this study, we aimed to investigate the perceived significance of these risk factors among senior nursing officers, who play a crucial role in providing healthcare services. We also sought to determine senior nursing officers' performance in reducing these risk factors.

METHODS

A questionnaire survey regarding 23 potentially modifiable cancer risk factors was conducted in November 2023 with 58 senior nursing officers at Taizhou Hospital in Zhejiang Province, China. The consistent fuzzy preference relation method and importance-performance analysis were used to determine the attribute weights and performance levels.

RESULTS

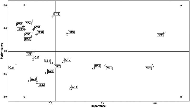
The senior nursing officers considered diabetes, ultraviolet radiation exposure, PM exposure, excess body weight, physical inactivity, alcohol consumption and secondhand smoking significant. However, performance in reducing secondhand smoking, physical inactivity, excess body weight, PM exposure, and ultraviolet radiation exposure required improvement.

CONCLUSIONS

The proposed hybrid multiple-criteria decision-making model enhances our understanding of the perceived significance of 23 modifiable cancer risk factors and performance in reducing them, which could facilitate improvements in health education efforts.

摘要

背景

在中国人群中,越来越多的人认识到可改变的癌症风险因素。在这项研究中,我们旨在调查在提供医疗服务方面发挥关键作用的高级护理人员对这些风险因素的感知重要性。我们还试图确定高级护理人员在降低这些风险因素方面的表现。

方法

2023 年 11 月,在中国浙江省台州医院对 58 名高级护理人员进行了一项关于 23 种潜在可改变的癌症风险因素的问卷调查。使用一致模糊偏好关系方法和重要性-绩效分析来确定属性权重和绩效水平。

结果

高级护理人员认为糖尿病、紫外线辐射暴露、PM 暴露、超重、身体活动不足、饮酒和二手烟是重要的。然而,在减少二手烟、身体活动不足、超重、PM 暴露和紫外线辐射暴露方面的表现需要改进。

结论

所提出的混合多准则决策模型增强了我们对 23 种可改变癌症风险因素的感知重要性及其降低风险的表现的理解,这有助于改善健康教育工作。

https://cdn.ncbi.nlm.nih.gov/pmc/blobs/3882/11523639/b5860a1c9347/12885_2024_13078_Fig2_HTML.jpg
https://cdn.ncbi.nlm.nih.gov/pmc/blobs/3882/11523639/c2a16e5955d1/12885_2024_13078_Fig1_HTML.jpg
https://cdn.ncbi.nlm.nih.gov/pmc/blobs/3882/11523639/b5860a1c9347/12885_2024_13078_Fig2_HTML.jpg
https://cdn.ncbi.nlm.nih.gov/pmc/blobs/3882/11523639/c2a16e5955d1/12885_2024_13078_Fig1_HTML.jpg
https://cdn.ncbi.nlm.nih.gov/pmc/blobs/3882/11523639/b5860a1c9347/12885_2024_13078_Fig2_HTML.jpg

相似文献

1
Hybrid multi-criteria decision-making model for assessing perceived significance of 23 potentially modifiable cancer risk factors among senior nursing officers.用于评估高级护理人员对 23 种潜在可改变癌症风险因素的感知重要性的混合多准则决策模型。
BMC Cancer. 2024 Oct 30;24(1):1334. doi: 10.1186/s12885-024-13078-9.
2
Using hybrid consistent fuzzy preference relations-importance-performance analysis model to improve shared decision-making quality based on orthopaedic nurses' perceptions.基于骨科护士感知,利用混合一致性模糊偏好关系-重要性-绩效分析模型提高共享决策质量。
J Clin Nurs. 2023 Jul;32(13-14):3568-3575. doi: 10.1111/jocn.16427. Epub 2022 Jun 29.
3
Proportion and number of cancer cases and deaths attributable to potentially modifiable risk factors in the United States.美国可改变的潜在风险因素导致的癌症病例和死亡人数及比例。
CA Cancer J Clin. 2018 Jan;68(1):31-54. doi: 10.3322/caac.21440. Epub 2017 Nov 21.
4
Disparities by province, age, and sex in site-specific cancer burden attributable to 23 potentially modifiable risk factors in China: a comparative risk assessment.中国 23 种潜在可改变风险因素导致的特定部位癌症负担的省际、年龄和性别差异:一项比较风险评估。
Lancet Glob Health. 2019 Feb;7(2):e257-e269. doi: 10.1016/S2214-109X(18)30488-1.
5
Proportion and number of cancer cases and deaths attributable to potentially modifiable risk factors in the United States, 2019.2019 年美国归因于潜在可改变风险因素的癌症病例与死亡人数及比例。
CA Cancer J Clin. 2024 Sep-Oct;74(5):405-432. doi: 10.3322/caac.21858. Epub 2024 Jul 11.
6
Senior house officers' work related stressors, psychological distress, and confidence in performing clinical tasks in accident and emergency: a questionnaire study.住院医师在急诊工作中的工作相关压力源、心理困扰及临床任务执行信心:一项问卷调查研究
BMJ. 1997 Mar 8;314(7082):713-8. doi: 10.1136/bmj.314.7082.713.
7
Assessing evidence-based practice competencies of undergraduate nursing students using a developed multi-criteria decision-analysis model.运用已建立的多准则决策分析模型评估本科护生的循证实践能力。
Nurse Educ Pract. 2024 Mar;76:103919. doi: 10.1016/j.nepr.2024.103919. Epub 2024 Feb 16.
8
The Hybrid Multiple-Criteria Decision-Making Model for Home Healthcare Nurses' Job Satisfaction Evaluation and Improvement.居家医护护士工作满意度评估与提升的混合多准则决策模型。
Int J Public Health. 2022 Sep 28;67:1604940. doi: 10.3389/ijph.2022.1604940. eCollection 2022.
9
Age-related disparities in diabetes risk attributable to modifiable risk factor profiles in Chinese adults: a nationwide, population-based, cohort study.中国成年人中可改变的风险因素对糖尿病发病风险的影响存在年龄差异:一项全国性、基于人群的队列研究。
Lancet Healthy Longev. 2021 Oct;2(10):e618-e628. doi: 10.1016/S2666-7568(21)00177-X. Epub 2021 Sep 7.
10
Dyslipidemia and its associated factors among community adults located in Shangcheng district, Zhejiang province.浙江省尚城区社区成年人血脂异常及其相关因素。
Sci Rep. 2024 Feb 21;14(1):4268. doi: 10.1038/s41598-024-54953-6.

本文引用的文献

1
Healthy Lifestyle and Cancer Risk: Modifiable Risk Factors to Prevent Cancer.健康生活方式与癌症风险:可改变的癌症预防风险因素。
Nutrients. 2024 Mar 11;16(6):800. doi: 10.3390/nu16060800.
2
A Systematic Review of the Effectiveness of Health Education Programs for Cervical Cancer Prevention in Rural Communities: Implications for Promoting Health Equity.农村社区宫颈癌预防健康教育项目有效性的系统评价:促进健康公平的意义。
J Cancer Educ. 2024 Apr;39(2):126-138. doi: 10.1007/s13187-023-02385-7. Epub 2023 Nov 24.
3
The global prevalence of overweight and obesity among nurses: A systematic review and meta-analyses.
全球护士超重和肥胖的流行率:系统评价和荟萃分析。
J Clin Nurs. 2023 Dec;32(23-24):7934-7955. doi: 10.1111/jocn.16861. Epub 2023 Sep 29.
4
Current status of and future perspectives on care for cancer survivors in China.中国癌症幸存者护理的现状与未来展望
Glob Health Med. 2023 Aug 31;5(4):208-215. doi: 10.35772/ghm.2023.01014.
5
Applying a multi-criteria decision-making approach to identify key satisfaction gaps in hospital nurses' work environment.应用多标准决策方法识别医院护士工作环境中的关键满意度差距。
Heliyon. 2023 Mar 21;9(3):e14721. doi: 10.1016/j.heliyon.2023.e14721. eCollection 2023 Mar.
6
Educational Needs in Oncology Nursing: A Scoping Review.肿瘤护理中的教育需求:一项范围综述
Healthcare (Basel). 2022 Dec 9;10(12):2494. doi: 10.3390/healthcare10122494.
7
The Hybrid Multiple-Criteria Decision-Making Model for Home Healthcare Nurses' Job Satisfaction Evaluation and Improvement.居家医护护士工作满意度评估与提升的混合多准则决策模型。
Int J Public Health. 2022 Sep 28;67:1604940. doi: 10.3389/ijph.2022.1604940. eCollection 2022.
8
The effectiveness of health education interventions on cervical cancer prevention in Africa: A systematic review.健康教育干预措施在非洲预防宫颈癌中的有效性:系统评价。
Prev Med. 2022 Nov;164:107219. doi: 10.1016/j.ypmed.2022.107219. Epub 2022 Aug 22.
9
NURSES' knowledge, skills and personal attributes for providing competent health education practice, and its influencing factors: A cross-sectional study.护士提供胜任的健康教育实践的知识、技能和个人特质及其影响因素:一项横断面研究。
Nurse Educ Pract. 2022 Jan;58:103277. doi: 10.1016/j.nepr.2021.103277. Epub 2021 Dec 15.
10
Adolescents' Perceptions About Cancer and Preferences for Cancer Education.青少年对癌症的认知及对癌症教育的偏好。
Cancer Control. 2021 Jan-Dec;28:10732748211036057. doi: 10.1177/10732748211036057.