Suppr超能文献

米非司酮片两种制剂在健康中国受试者空腹条件下的药代动力学及生物等效性:一项单中心、开放、随机、单剂量、双周期、两序列、交叉试验

Pharmacokinetics and bioequivalence of two formulations of mifepristone tablets in healthy Chinese subjects under fasting conditions: a single-center, open, randomized, single-dose, double-period, two-sequence, crossover trial.

作者信息

Yan Yufeng, Zhu Xiaoshan, Dong Ping, Liu Cheng, Lu Lingqing, Zeng Liyan, Chen Guiying, Meng Xianmin, Liu Min

机构信息

Department of Pharmacy, Shanghai Public Health Clinical Center, Fudan University, Shanghai, China.

Wuhan Jiulong Humanwell Pharmaceutical Co., Ltd., Wuhan, China.

出版信息

Front Pharmacol. 2024 Oct 16;15:1479205. doi: 10.3389/fphar.2024.1479205. eCollection 2024.

Abstract

OBJECTIVE

A bioequivalence (BE) study was performed to evaluate the pharmacokinetics, safety, and bioequivalence of two formulations of mifepristone tablets in healthy Chinese volunteers under fasting conditions.

METHODS

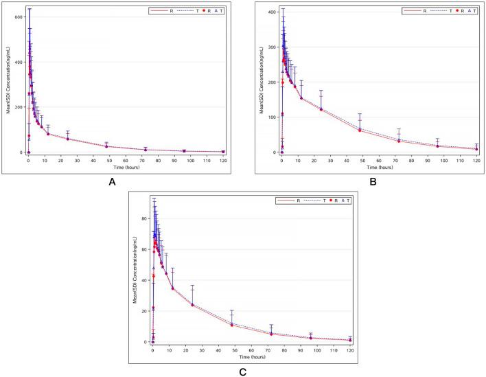
A single-center, open, randomized, single-dose, double-period, two-sequence, crossover study in healthy subjects under fasting conditions was performed. The subjects received a single fasting dose of mifepristone (10 mg/tablet) during the first and second periods, followed by a 14-day washout period, during which frequent pharmacokinetic (PK) sampling occurred up to 120 h. The pharmacokinetic parameters of mifepristone were calculated based on the plasma drug concentration-time profile. Primary endpoints were the BE of major pharmacokinetic parameters (AUC and AUC) and the maximum observed serum concentration (C). Secondary endpoints were safety parameters.

RESULTS

Forty subjects (34 male and 6 female subjects) were randomly assigned to treatment, with 39 completing the two-period study. After the single administration of mifepristone tablets (test preparation vs. reference preparation) under fasting conditions, the geometric mean ratios (GMRs) of C, AUC, and AUC were 98.76%, 104.28%, and 104.83%, respectively. The primary metabolites of mifepristone (RU42633 and RU42698),the GMRs of C, AUC, AUC were 102.33% and 100.97%, 103.17% and 103.71%, 104.02% and 103.84%, respectively. Similarly, for another metabolite of mifepristone (RU42698), the GMRs of C, AUC, and AUC were 100.97%, 103.71%, and 103.84%, respectively. All 90% confidence intervals (CIs) for the test/reference AUC ratio and C ratio were within the acceptable range (80%-125%) for BE, which met the requirements of bioequivalence. No serious adverse events (AEs) occurred, and all AEs were classified as level 1 or 2.

CONCLUSION

The PK parameters of mifepristone and its metabolites (RU42633 and RU42698) were measured using the (GMRs) of AUC, AUC, and C and were similar between the test and reference drug. The two formulations of mifepristone showed good tolerability and a similar safety profile.

CLINICAL TRIAL REGISTRATION

chinadrugtrials.org.cn, identifier CTR20182413.

摘要

目的

进行一项生物等效性(BE)研究,以评估米非司酮片两种制剂在空腹条件下于健康中国志愿者体内的药代动力学、安全性及生物等效性。

方法

在空腹条件下对健康受试者开展一项单中心、开放、随机、单剂量、双周期、双序列、交叉研究。受试者在第一和第二周期接受单次空腹剂量的米非司酮(10毫克/片),随后有14天的洗脱期,在此期间频繁进行药代动力学(PK)采样直至120小时。根据血浆药物浓度-时间曲线计算米非司酮的药代动力学参数。主要终点为主要药代动力学参数(AUC和AUC)及观察到的最大血清浓度(C)的生物等效性。次要终点为安全性参数。

结果

40名受试者(34名男性和6名女性受试者)被随机分配接受治疗,39名完成了两周期研究。在空腹条件下单次服用米非司酮片(受试制剂与参比制剂)后,C、AUC和AUC的几何平均比值(GMRs)分别为98.76%、104.28%和104.83%。米非司酮的主要代谢产物(RU42633和RU42698),C、AUC、AUC的GMRs分别为102.33%和100.97%、103.17%和                                                                                                                                                                                                                                                                                                                                                                                                                                                                                                                                                                                                                                                                                                                                                                                                                                                                                                                                                                                                                                                                                                                                                                                                                                                                                                      &emsp

https://cdn.ncbi.nlm.nih.gov/pmc/blobs/f733/11522854/2e14e39ef43f/fphar-15-1479205-g001.jpg

文献检索

告别复杂PubMed语法,用中文像聊天一样搜索,搜遍4000万医学文献。AI智能推荐,让科研检索更轻松。

立即免费搜索

文件翻译

保留排版,准确专业,支持PDF/Word/PPT等文件格式,支持 12+语言互译。

免费翻译文档

深度研究

AI帮你快速写综述,25分钟生成高质量综述,智能提取关键信息,辅助科研写作。

立即免费体验