• 文献检索
  • 文档翻译
  • 深度研究
  • 学术资讯
  • Suppr Zotero 插件Zotero 插件
  • 邀请有礼
  • 套餐&价格
  • 历史记录
应用&插件
Suppr Zotero 插件Zotero 插件浏览器插件Mac 客户端Windows 客户端微信小程序
定价
高级版会员购买积分包购买API积分包
服务
文献检索文档翻译深度研究API 文档MCP 服务
关于我们
关于 Suppr公司介绍联系我们用户协议隐私条款
关注我们

Suppr 超能文献

核心技术专利:CN118964589B侵权必究
粤ICP备2023148730 号-1Suppr @ 2026

文献检索

告别复杂PubMed语法,用中文像聊天一样搜索,搜遍4000万医学文献。AI智能推荐,让科研检索更轻松。

立即免费搜索

文件翻译

保留排版,准确专业,支持PDF/Word/PPT等文件格式,支持 12+语言互译。

免费翻译文档

深度研究

AI帮你快速写综述,25分钟生成高质量综述,智能提取关键信息,辅助科研写作。

立即免费体验

普通绿茎叶蜂(Tenthredo)的基因组序列,林奈,1758年。

The genome sequence of the common green Tenthredo,  Linnaeus, 1758.

作者信息

Falk Steven, Green Andrew, Broad Gavin R

机构信息

Independent Researcher, Kenilworth, Warwickshire, UK.

Sawfly Recording Scheme, Bedford, Bedfordshire, UK.

出版信息

Wellcome Open Res. 2024 Oct 11;8:80. doi: 10.12688/wellcomeopenres.18992.2. eCollection 2023.

DOI:10.12688/wellcomeopenres.18992.2
PMID:39483416
原文链接:https://pmc.ncbi.nlm.nih.gov/articles/PMC11525098/
Abstract

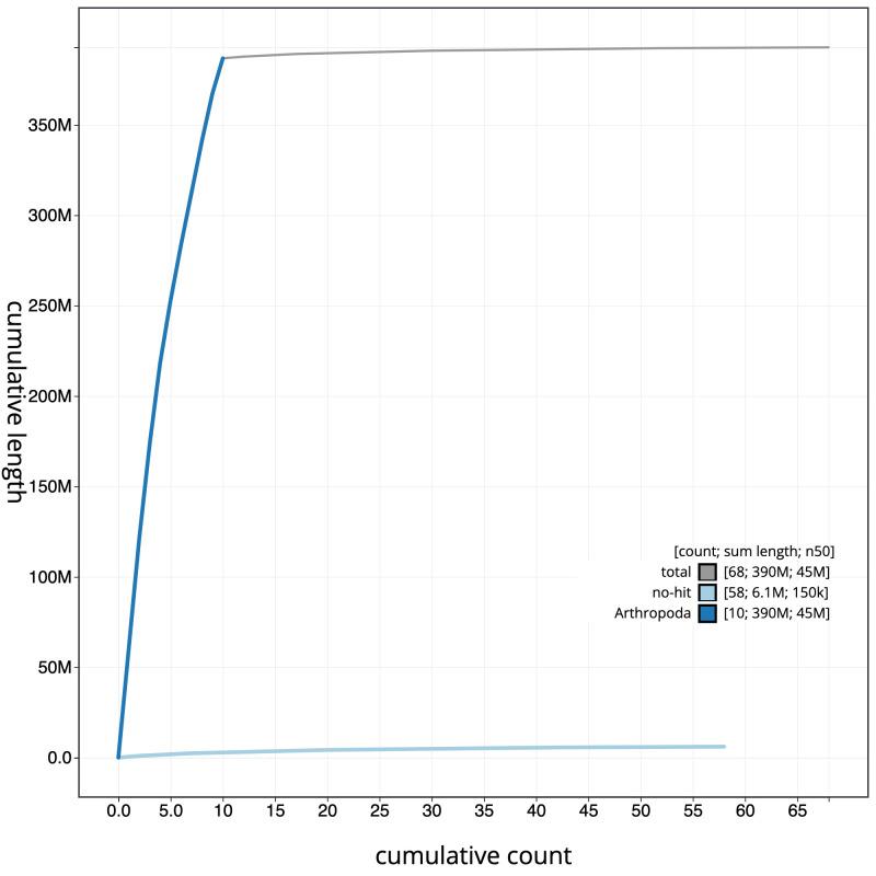
We present a genome assembly from an individual female (the common green Tenthredo; Arthropoda; Insecta; Hymenoptera; Tenthredinidae). The genome sequence is 392.8 megabases in span. Most of the assembly is scaffolded into 10 chromosomal pseudomolecules. The mitochondrial genome has also been assembled and is 15.6 kilobases in length. Gene annotation of this assembly on Ensembl has identified 11,086 protein coding genes.

摘要

我们展示了一个来自雌性个体(普通绿叶锯蜂;节肢动物门;昆虫纲;膜翅目;叶蜂科)的基因组组装结果。基因组序列跨度为392.8兆碱基。大部分组装序列被构建成10条染色体假分子。线粒体基因组也已组装完成,长度为15.6千碱基。在Ensembl上对该组装序列进行的基因注释已鉴定出11,086个蛋白质编码基因。

https://cdn.ncbi.nlm.nih.gov/pmc/blobs/71a1/11525100/96d7c03c1cde/wellcomeopenres-8-25598-g0004.jpg
https://cdn.ncbi.nlm.nih.gov/pmc/blobs/71a1/11525100/9a6f2b6f6e13/wellcomeopenres-8-25598-g0000.jpg
https://cdn.ncbi.nlm.nih.gov/pmc/blobs/71a1/11525100/2e0cb886fb5f/wellcomeopenres-8-25598-g0001.jpg
https://cdn.ncbi.nlm.nih.gov/pmc/blobs/71a1/11525100/5b2c6bc162d9/wellcomeopenres-8-25598-g0002.jpg
https://cdn.ncbi.nlm.nih.gov/pmc/blobs/71a1/11525100/7b50325225ba/wellcomeopenres-8-25598-g0003.jpg
https://cdn.ncbi.nlm.nih.gov/pmc/blobs/71a1/11525100/96d7c03c1cde/wellcomeopenres-8-25598-g0004.jpg
https://cdn.ncbi.nlm.nih.gov/pmc/blobs/71a1/11525100/9a6f2b6f6e13/wellcomeopenres-8-25598-g0000.jpg
https://cdn.ncbi.nlm.nih.gov/pmc/blobs/71a1/11525100/2e0cb886fb5f/wellcomeopenres-8-25598-g0001.jpg
https://cdn.ncbi.nlm.nih.gov/pmc/blobs/71a1/11525100/5b2c6bc162d9/wellcomeopenres-8-25598-g0002.jpg
https://cdn.ncbi.nlm.nih.gov/pmc/blobs/71a1/11525100/7b50325225ba/wellcomeopenres-8-25598-g0003.jpg
https://cdn.ncbi.nlm.nih.gov/pmc/blobs/71a1/11525100/96d7c03c1cde/wellcomeopenres-8-25598-g0004.jpg

相似文献

1
The genome sequence of the common green Tenthredo,  Linnaeus, 1758.普通绿茎叶蜂(Tenthredo)的基因组序列,林奈,1758年。
Wellcome Open Res. 2024 Oct 11;8:80. doi: 10.12688/wellcomeopenres.18992.2. eCollection 2023.
2
The genome sequence of  Klug, 1814, a sawfly.锯蜂(1814年,克鲁格)的基因组序列
Wellcome Open Res. 2024 Mar 28;7:120. doi: 10.12688/wellcomeopenres.17811.2. eCollection 2022.
3
The genome sequence of the small wasp-sawfly, (R. Stein, 1885).小黄蜂锯蜂的基因组序列(R. 斯坦,1885年)
Wellcome Open Res. 2023 Oct 12;8:459. doi: 10.12688/wellcomeopenres.19523.1. eCollection 2023.
4
The genome sequence of a sawfly, (Costa, 1859).一种叶蜂(Costa,1859年)的基因组序列。
Wellcome Open Res. 2024 Feb 12;9:28. doi: 10.12688/wellcomeopenres.20897.1. eCollection 2024.
5
The genome sequence of the pale Rhogogaster, (Benson, 1943).苍白罗戈加斯特(Benson,1943)的基因组序列。
Wellcome Open Res. 2023 Feb 6;8:59. doi: 10.12688/wellcomeopenres.18924.1. eCollection 2023.
6
The genome sequence of the Early Bumblebee, (Linnaeus, 1761).早黄蜂(林奈,1761年)的基因组序列。
Wellcome Open Res. 2023 Mar 29;8:143. doi: 10.12688/wellcomeopenres.19250.1. eCollection 2023.
7
The genome sequence of the Buff-tailed Bumblebee, (Linnaeus, 1758).黄尾熊蜂(林奈,1758年)的基因组序列。
Wellcome Open Res. 2023 Apr 12;8:161. doi: 10.12688/wellcomeopenres.19248.1. eCollection 2023.
8
The genome sequence of the common green furrow bee, (Fabricius, 1793).普通绿沟蜂(法布里修斯,1793年)的基因组序列。
Wellcome Open Res. 2024 Mar 25;8:28. doi: 10.12688/wellcomeopenres.18715.2. eCollection 2023.
9
The genome sequence of the Green Silver-lines, (Linnaeus, 1758).绿银线(林奈,1758年)的基因组序列。
Wellcome Open Res. 2024 Mar 1;9:117. doi: 10.12688/wellcomeopenres.21014.1. eCollection 2024.
10
The genome sequence of the Green-brindled Crescent, (Linnaeus, 1758).绿带新月蝶(林奈,1758年)的基因组序列。
Wellcome Open Res. 2023 Feb 3;8:53. doi: 10.12688/wellcomeopenres.18935.1. eCollection 2023.

本文引用的文献

1
Comparative transcriptomics revealed parallel evolution and innovation of photosymbiosis molecular mechanisms in a marine bivalve.比较转录组学揭示了海洋双壳类动物中光合作用分子机制的平行进化和创新。
Proc Biol Sci. 2024 May;291(2023):20232408. doi: 10.1098/rspb.2023.2408. Epub 2024 May 29.
2
The genome sequence of the giant clam, (Linnaeus, 1758).大砗磲(林奈,1758年)的基因组序列。
Wellcome Open Res. 2024 Mar 19;9:145. doi: 10.12688/wellcomeopenres.21136.1. eCollection 2024.
3
The genome sequence of  Klug, 1814, a sawfly.锯蜂(1814年,克鲁格)的基因组序列
Wellcome Open Res. 2024 Mar 28;7:120. doi: 10.12688/wellcomeopenres.17811.2. eCollection 2022.
4
MitoHiFi: a python pipeline for mitochondrial genome assembly from PacBio high fidelity reads.MitoHiFi:一个从 PacBio 高保真reads 组装线粒体基因组的 Python 分析流程
BMC Bioinformatics. 2023 Jul 18;24(1):288. doi: 10.1186/s12859-023-05385-y.
5
YaHS: yet another Hi-C scaffolding tool.YaHS:另一个 Hi-C 支架工具。
Bioinformatics. 2023 Jan 1;39(1). doi: 10.1093/bioinformatics/btac808.
6
BUSCO Update: Novel and Streamlined Workflows along with Broader and Deeper Phylogenetic Coverage for Scoring of Eukaryotic, Prokaryotic, and Viral Genomes.BUSCO 更新:用于真核生物、原核生物和病毒基因组评分的新颖且简化的工作流程以及更广泛和更深的系统发育覆盖范围。
Mol Biol Evol. 2021 Sep 27;38(10):4647-4654. doi: 10.1093/molbev/msab199.
7
Towards complete and error-free genome assemblies of all vertebrate species.致力于完成所有脊椎动物物种的完整且无错误的基因组组装。
Nature. 2021 Apr;592(7856):737-746. doi: 10.1038/s41586-021-03451-0. Epub 2021 Apr 28.
8
Haplotype-resolved de novo assembly using phased assembly graphs with hifiasm.使用带有 hifiasm 的相定装配图进行单体型解析从头组装。
Nat Methods. 2021 Feb;18(2):170-175. doi: 10.1038/s41592-020-01056-5. Epub 2021 Feb 1.
9
Significantly improving the quality of genome assemblies through curation.通过编辑显著提高基因组组装的质量。
Gigascience. 2021 Jan 9;10(1). doi: 10.1093/gigascience/giaa153.
10
MitoFinder: Efficient automated large-scale extraction of mitogenomic data in target enrichment phylogenomics.MitoFinder:目标富集系统发育基因组学中高效自动化的大规模线粒体基因组数据提取。
Mol Ecol Resour. 2020 Jul;20(4):892-905. doi: 10.1111/1755-0998.13160. Epub 2020 Apr 25.