• 文献检索
  • 文档翻译
  • 深度研究
  • 学术资讯
  • Suppr Zotero 插件Zotero 插件
  • 邀请有礼
  • 套餐&价格
  • 历史记录
应用&插件
Suppr Zotero 插件Zotero 插件浏览器插件Mac 客户端Windows 客户端微信小程序
定价
高级版会员购买积分包购买API积分包
服务
文献检索文档翻译深度研究API 文档MCP 服务
关于我们
关于 Suppr公司介绍联系我们用户协议隐私条款
关注我们

Suppr 超能文献

核心技术专利:CN118964589B侵权必究
粤ICP备2023148730 号-1Suppr @ 2026

文献检索

告别复杂PubMed语法,用中文像聊天一样搜索,搜遍4000万医学文献。AI智能推荐,让科研检索更轻松。

立即免费搜索

文件翻译

保留排版,准确专业,支持PDF/Word/PPT等文件格式,支持 12+语言互译。

免费翻译文档

深度研究

AI帮你快速写综述,25分钟生成高质量综述,智能提取关键信息,辅助科研写作。

立即免费体验

在农村实习期间,影响辅助卫生专业学生对与澳大利亚原住民合作信心提高的因素:一项前后测调查研究。

Influences on improved confidence among allied health students in working with Australian Indigenous people during a rural placement: a pre-post survey study.

机构信息

Western Australian Centre for Rural Health, School of Allied Health, The University of Western Australia (M315), 35 Stirling Highway, Perth, WA, 6009, Australia.

出版信息

BMC Med Educ. 2024 Nov 1;24(1):1246. doi: 10.1186/s12909-024-06207-2.

DOI:10.1186/s12909-024-06207-2
PMID:39487488
原文链接:https://pmc.ncbi.nlm.nih.gov/articles/PMC11529035/
Abstract

BACKGROUND

Together with addressing social determinants of health, culturally safe healthcare provision is essential for closing the health outcomes gap experienced by Aboriginal and Torres Strait Islander (Indigenous) Australians. Rural placements potentially provide students of the health professions with opportunities to enhance their knowledge and skills regarding cultural safety. We used rural placements data systematically collected from allied health students, including commencement- and end-of-placement questionnaire responses, to investigate the determinants of confidence in working with Indigenous people.

METHODS

The study comprised data from all students who provided survey data at both commencement and end of their first placement directly supervised by the administering University Department of Rural Health during the period 2019-2022. Five-point ordered responses to the question 'How confident do you feel about working with Aboriginal people?' were used to assess student and placement-related determinants of confidence (Confident/Very confident versus other) at baseline and increased confidence (≥ 1 point) during the placement using crude and adjusted multivariable robust Poisson regression.

RESULTS

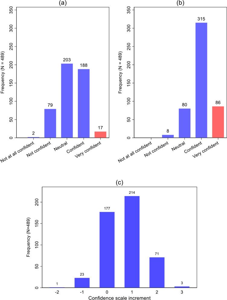
Participating students (N = 489) were from diverse allied health disciplines (including pharmacy n = 94, 19.2%; chiropractic n= 66, 13.5%; physiotherapy n= 65, 13.3%; social work n = 59, 12.1%; and occupational therapy 58, 11.9%). Confidence in dealing with Aboriginal people was lower at commencement among females compared with males (adjusted relative risk [aRR] 0.65; 95% confidence interval [CI] 0.53-0.80), and higher among students of Australian rural origin compared with others (aRR 1.49; CI 1.22-1.83) and those who reported previous experience working with Indigenous people compared with those reporting none (aRR 1.40; CI 1.14-1.72). Placement attributes associated with increased confidence working with Indigenous people between placement commencement and end were interaction with Indigenous people within the placement (aRR 2.32; CI 1.24-4.34), placement model reflecting more structured academic supervision (aRR 1.18; CI 1.02-1.37), and placement length (aRR per additional day 1.002; CI 1.001-1.004). These associations were robust to modelling that accounted for a ceiling effect on increased confidence.

CONCLUSIONS

While influenced by students' demographic attributes and prior experiences, confidence of allied health students in working with Indigenous people is enhanced during rural placements, particularly through direct contact with Indigenous people.

摘要

背景

除了解决健康决定因素问题外,提供文化安全的医疗服务对于缩小澳大利亚原住民和托雷斯海峡岛民(土著)与其他人群之间的健康结果差距至关重要。农村实习为医疗专业的学生提供了增强他们在文化安全方面的知识和技能的机会。我们使用农村实习数据,这些数据是从农村健康管理大学部门直接监督的所有相关卫生专业学生的实习开始和结束时的问卷调查中收集的,以调查影响学生与土著人合作的信心的决定因素。

方法

该研究包括在 2019 年至 2022 年期间,所有提供调查数据的学生的数据,这些学生在第一个实习期间均由管理大学农村健康部门直接监督,并且在实习开始和结束时都提供了调查数据。使用五点有序反应来评估学生和实习相关因素(“非常有信心”/“有信心”与其他)对信心的决定因素(在基线时的信心/非常有信心与其他),并在实习期间使用未调整和调整后的多变量稳健泊松回归来评估学生的信心是否增加(≥1 点)。

结果

参与研究的学生(n=489)来自不同的辅助健康学科(包括药学 94 人,占 19.2%;整脊学 66 人,占 13.5%;物理疗法 65 人,占 13.3%;社会工作 59 人,占 12.1%;职业治疗 58 人,占 11.9%)。与男性相比,女性在实习开始时处理土著人问题的信心较低(调整后的相对风险 [aRR] 0.65;95%置信区间 [CI] 0.53-0.80),而与其他地区相比,澳大利亚农村地区的学生的信心较高(aRR 1.49;CI 1.22-1.83),与那些报告没有与土著人合作经验的学生相比,有过相关经验的学生的信心更高(aRR 1.40;CI 1.14-1.72)。在实习开始和结束之间,与增加与土著人合作的信心相关的实习属性包括实习中与土著人的互动(aRR 2.32;CI 1.24-4.34)、反映更结构化学术监督的实习模式(aRR 1.18;CI 1.02-1.37)和实习时长(每天增加 1 天的信心增加 aRR 1.002;CI 1.001-1.004)。这些关联在考虑到增加信心的上限效应的建模中是稳健的。

结论

尽管受到学生人口统计学特征和先前经验的影响,但辅助医疗专业学生与土著人合作的信心在农村实习期间得到增强,尤其是通过与土著人的直接接触。

https://cdn.ncbi.nlm.nih.gov/pmc/blobs/bf18/11529035/5fc69fa0d113/12909_2024_6207_Fig2_HTML.jpg
https://cdn.ncbi.nlm.nih.gov/pmc/blobs/bf18/11529035/3970c483c0bf/12909_2024_6207_Fig1_HTML.jpg
https://cdn.ncbi.nlm.nih.gov/pmc/blobs/bf18/11529035/5fc69fa0d113/12909_2024_6207_Fig2_HTML.jpg
https://cdn.ncbi.nlm.nih.gov/pmc/blobs/bf18/11529035/3970c483c0bf/12909_2024_6207_Fig1_HTML.jpg
https://cdn.ncbi.nlm.nih.gov/pmc/blobs/bf18/11529035/5fc69fa0d113/12909_2024_6207_Fig2_HTML.jpg

相似文献

1
Influences on improved confidence among allied health students in working with Australian Indigenous people during a rural placement: a pre-post survey study.在农村实习期间,影响辅助卫生专业学生对与澳大利亚原住民合作信心提高的因素:一项前后测调查研究。
BMC Med Educ. 2024 Nov 1;24(1):1246. doi: 10.1186/s12909-024-06207-2.
2
Up close and real: living and learning in a remote community builds students' cultural capabilities and understanding of health disparities.近距离接触真实:在偏远社区生活和学习,培养学生的文化能力和对健康差距的理解。
Int J Equity Health. 2017 Jul 6;16(1):119. doi: 10.1186/s12939-017-0615-x.
3
Achieving cultural safety for Australia's First Peoples: a review of the Australian Health Practitioner Regulation Agency-registered health practitioners' Codes of Conduct and Codes of Ethics.实现澳大利亚原住民的文化安全:对澳大利亚卫生从业人员管理局注册的卫生从业人员的行为准则和道德准则的审查。
Aust Health Rev. 2021 Aug;45(4):398-406. doi: 10.1071/AH20215.
4
Experiences of occupational therapy students undertaking an Aboriginal and Torres Strait Islander health module: embedding cultural responsiveness in professional curricula.职业治疗专业学生参与原住民及托雷斯海峡岛民健康模块的经历:将文化响应能力融入专业课程。
Aust Health Rev. 2024 Aug;48(4):374-380. doi: 10.1071/AH23217.
5
Effect of a culturally safe student placement on students' understanding of, and confidence with, providing culturally safe podiatry care.文化安全学生实习对学生理解和自信提供文化安全足病护理的影响。
J Foot Ankle Res. 2021 Jan 26;14(1):9. doi: 10.1186/s13047-021-00450-2.
6
Co-design with aboriginal and torres strait islander communities: A journey.与原住民及托雷斯海峡岛民社区共同设计:一段历程。
Aust J Rural Health. 2022 Dec;30(6):816-822. doi: 10.1111/ajr.12918. Epub 2022 Aug 29.
7
Perspectives on improving wound care for Aboriginal health workers in rural and remote communities in Queensland, Australia.改善澳大利亚昆士兰州农村和偏远社区原住民卫生工作者伤口护理的观点。
BMC Health Serv Res. 2024 Sep 10;24(1):1047. doi: 10.1186/s12913-024-11490-2.
8
Challenges to student transition in allied health undergraduate education in the Australian rural and remote context: a synthesis of barriers and enablers.澳大利亚农村和偏远地区联合健康本科教育中,学生过渡面临的挑战:障碍与促进因素综述
Rural Remote Health. 2015 Apr-Jun;15(2):3069. Epub 2015 Apr 27.
9
Are we there yet? Exploring the journey to quality stroke care for Aboriginal and Torres Strait Islander peoples in rural and remote Queensland.我们到了吗?探索为昆士兰农村和偏远地区的原住民及托雷斯海峡岛民提供优质中风护理的历程。
Rural Remote Health. 2019 Sep;19(3):4850. doi: 10.22605/RRH4850. Epub 2019 Sep 6.
10
Foot health of Aboriginal and Torres Strait Islander Peoples in regional and rural NSW, Australia.澳大利亚新南威尔士州地区和农村地区的原住民和托雷斯海峡岛民的足部健康。
J Foot Ankle Res. 2020 May 28;13(1):27. doi: 10.1186/s13047-020-00397-w.

引用本文的文献

1
How Australian Rural Health Academic Centres Contribute to Developing the Health Workforce to Improve Indigenous Health: A Focused Narrative Review.澳大利亚农村卫生学术中心如何助力培养卫生人力以改善原住民健康:一项聚焦式叙述性综述
Healthcare (Basel). 2025 Aug 1;13(15):1888. doi: 10.3390/healthcare13151888.
2
The Effect of Aged-Care Rural Clinical Placements on Health Student Self-Efficacy: A Mixed-Methods Evaluation.老年护理农村临床实习对健康专业学生自我效能的影响:一项混合方法评估。
Aust J Rural Health. 2025 Aug;33(4):e70083. doi: 10.1111/ajr.70083.

本文引用的文献

1
Systematic review of Indigenous cultural safety training interventions for healthcare professionals in Australia, Canada, New Zealand and the United States.对澳大利亚、加拿大、新西兰和美国的医疗保健专业人员进行的关于原住民文化安全培训干预措施的系统评价。
BMJ Open. 2023 Oct 4;13(10):e073320. doi: 10.1136/bmjopen-2023-073320.
2
Supporting nursing and allied health student placements in rural and remote Australia: a narrative review of publications by university departments of rural health.支持澳大利亚农村和偏远地区护理和联合健康专业学生实习:农村卫生大学系出版物的叙述性回顾。
Med J Aust. 2023 Aug 7;219 Suppl 3:S14-S19. doi: 10.5694/mja2.52032.
3
An ethnographic investigation of medical students' cultural competence development in clinical placements.
临床实习中医学生文化能力发展的民族志研究。
Adv Health Sci Educ Theory Pract. 2023 Aug;28(3):705-739. doi: 10.1007/s10459-022-10179-7. Epub 2022 Nov 12.
4
Developing culturally safe education practices in optometry schools across Australia and Aotearoa New Zealand.在澳大利亚和新西兰的视光学学校中发展文化安全教育实践。
Clin Exp Optom. 2023 Mar;106(2):110-118. doi: 10.1080/08164622.2022.2136514. Epub 2022 Nov 6.
5
Does undertaking rural placements add to place of origin as a predictor of where health graduates work?从事农村实习是否会增加原籍地作为卫生专业毕业生工作地点的预测因素?
Aust J Rural Health. 2022 Aug;30(4):529-535. doi: 10.1111/ajr.12864. Epub 2022 Mar 24.
6
Culturally safe health care practice for Indigenous Peoples in Australia: A systematic meta-ethnographic review.澳大利亚原住民的文化安全医疗保健实践:系统元分析综述。
J Health Serv Res Policy. 2022 Jan;27(1):74-84. doi: 10.1177/13558196211041835. Epub 2021 Dec 7.
7
Rural placements during undergraduate training promote future rural work by nurses, midwives and allied health professionals.本科培训期间的农村实习有助于护士、助产士和专职医疗人员未来从事农村工作。
Aust J Rural Health. 2021 Apr;29(2):253-258. doi: 10.1111/ajr.12728.
8
Longitudinal Follow Up of Early Career Midwives: Insights Related to Racism Show the Need for Increased Commitment to Cultural Safety in Aboriginal Maternity Care.纵向追踪早期职业助产士:与种族主义相关的见解表明,在原住民孕产妇保健中需要更加致力于文化安全。
Int J Environ Res Public Health. 2021 Jan 31;18(3):1276. doi: 10.3390/ijerph18031276.
9
Effect of a culturally safe student placement on students' understanding of, and confidence with, providing culturally safe podiatry care.文化安全学生实习对学生理解和自信提供文化安全足病护理的影响。
J Foot Ankle Res. 2021 Jan 26;14(1):9. doi: 10.1186/s13047-021-00450-2.
10
What works, why and how? A scoping review and logic model of rural clinical placements for allied health students.什么有效、为什么有效以及如何有效?农村临床实习对辅助卫生专业学生的范围综述和逻辑模型。
BMC Health Serv Res. 2020 Sep 14;20(1):866. doi: 10.1186/s12913-020-05669-6.