• 文献检索
  • 文档翻译
  • 深度研究
  • 学术资讯
  • Suppr Zotero 插件Zotero 插件
  • 邀请有礼
  • 套餐&价格
  • 历史记录
应用&插件
Suppr Zotero 插件Zotero 插件浏览器插件Mac 客户端Windows 客户端微信小程序
定价
高级版会员购买积分包购买API积分包
服务
文献检索文档翻译深度研究API 文档MCP 服务
关于我们
关于 Suppr公司介绍联系我们用户协议隐私条款
关注我们

Suppr 超能文献

核心技术专利:CN118964589B侵权必究
粤ICP备2023148730 号-1Suppr @ 2026

文献检索

告别复杂PubMed语法,用中文像聊天一样搜索,搜遍4000万医学文献。AI智能推荐,让科研检索更轻松。

立即免费搜索

文件翻译

保留排版,准确专业,支持PDF/Word/PPT等文件格式,支持 12+语言互译。

免费翻译文档

深度研究

AI帮你快速写综述,25分钟生成高质量综述,智能提取关键信息,辅助科研写作。

立即免费体验

钙钛矿(CHNH)ZnBr的晶体结构、热力学性质和结构几何的精细分析

Refined Analysis of the Crystal Structure, Thermodynamic Property, and Structural Geometry of Perovskite (CHNH)ZnBr.

作者信息

Lim Ae Ran

机构信息

Graduate School of Carbon Convergence Engineering, Jeonju University, Jeonju 55069, South Korea.

Department of Science Education, Jeonju University, Jeonju 55069, South Korea.

出版信息

ACS Omega. 2024 Oct 19;9(43):43908-43913. doi: 10.1021/acsomega.4c07309. eCollection 2024 Oct 29.

DOI:10.1021/acsomega.4c07309
PMID:39494020
原文链接:https://pmc.ncbi.nlm.nih.gov/articles/PMC11525533/
Abstract

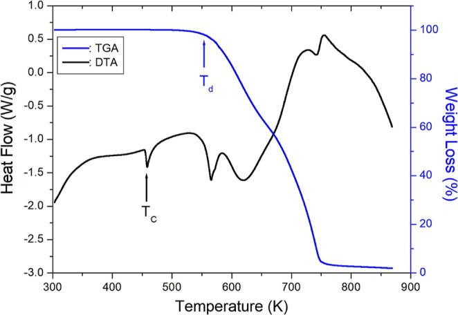
Organic-inorganic hybrid single crystals of (CHNH)ZnBr were grown by the aqueous solution technique, and their structure, phase transition temperature, and thermal stability were discussed. The crystals were determined to have a monoclinic structure using X-ray diffraction on single crystals, and a transition temperature of 458 K was confirmed from the differential scanning calorimetry and X-ray diffraction analyses on powders. Moreover, the compound exhibited excellent thermal stabilities up to 550 K. The H and C nuclear magnetic resonance chemical shifts of CH shifted in the positive direction as the temperature increased, while the H chemical shift of NH exhibited minor variations in N-H···Br hydrogen bonding, which was influenced by minor changes in the bromide ions surrounding Zn in the ZnBr anion. The spin-lattice relaxation time, which indicates the energy transfer near H and C, exhibited similar values, which is because H and C are bonded to each other in the CHNH cation. This compound exhibits high structural and thermal stabilities and is expected to pave the way for future applications.

摘要

通过水溶液技术生长出了(CHNH)ZnBr的有机-无机杂化单晶,并对其结构、相变温度和热稳定性进行了讨论。利用单晶X射线衍射确定晶体具有单斜结构,通过对粉末的差示扫描量热法和X射线衍射分析证实转变温度为458K。此外,该化合物在高达550K时表现出优异的热稳定性。随着温度升高,CH的H和C核磁共振化学位移向正方向移动,而NH的H化学位移在N-H···Br氢键中表现出微小变化,这受到ZnBr阴离子中围绕Zn的溴离子微小变化的影响。表明H和C附近能量转移的自旋-晶格弛豫时间呈现相似的值,这是因为H和C在CHNH阳离子中相互键合。该化合物表现出高结构和热稳定性,有望为未来的应用铺平道路。

https://cdn.ncbi.nlm.nih.gov/pmc/blobs/36b7/11525533/f5d0ed5bfd81/ao4c07309_0007.jpg
https://cdn.ncbi.nlm.nih.gov/pmc/blobs/36b7/11525533/f365d45d18c3/ao4c07309_0001.jpg
https://cdn.ncbi.nlm.nih.gov/pmc/blobs/36b7/11525533/351d98a231b9/ao4c07309_0002.jpg
https://cdn.ncbi.nlm.nih.gov/pmc/blobs/36b7/11525533/86431271cf73/ao4c07309_0003.jpg
https://cdn.ncbi.nlm.nih.gov/pmc/blobs/36b7/11525533/41a653079e9e/ao4c07309_0004.jpg
https://cdn.ncbi.nlm.nih.gov/pmc/blobs/36b7/11525533/48c15c409b20/ao4c07309_0005.jpg
https://cdn.ncbi.nlm.nih.gov/pmc/blobs/36b7/11525533/392b716ad88d/ao4c07309_0006.jpg
https://cdn.ncbi.nlm.nih.gov/pmc/blobs/36b7/11525533/f5d0ed5bfd81/ao4c07309_0007.jpg
https://cdn.ncbi.nlm.nih.gov/pmc/blobs/36b7/11525533/f365d45d18c3/ao4c07309_0001.jpg
https://cdn.ncbi.nlm.nih.gov/pmc/blobs/36b7/11525533/351d98a231b9/ao4c07309_0002.jpg
https://cdn.ncbi.nlm.nih.gov/pmc/blobs/36b7/11525533/86431271cf73/ao4c07309_0003.jpg
https://cdn.ncbi.nlm.nih.gov/pmc/blobs/36b7/11525533/41a653079e9e/ao4c07309_0004.jpg
https://cdn.ncbi.nlm.nih.gov/pmc/blobs/36b7/11525533/48c15c409b20/ao4c07309_0005.jpg
https://cdn.ncbi.nlm.nih.gov/pmc/blobs/36b7/11525533/392b716ad88d/ao4c07309_0006.jpg
https://cdn.ncbi.nlm.nih.gov/pmc/blobs/36b7/11525533/f5d0ed5bfd81/ao4c07309_0007.jpg

相似文献

1
Refined Analysis of the Crystal Structure, Thermodynamic Property, and Structural Geometry of Perovskite (CHNH)ZnBr.钙钛矿(CHNH)ZnBr的晶体结构、热力学性质和结构几何的精细分析
ACS Omega. 2024 Oct 19;9(43):43908-43913. doi: 10.1021/acsomega.4c07309. eCollection 2024 Oct 29.
2
Crystal structures, phase transitions, and nuclear magnetic resonance of organic-inorganic hybrid [NH(CH)]ZnBr crystals.有机-无机杂化[NH(CH)]ZnBr晶体的晶体结构、相变及核磁共振
RSC Adv. 2023 Jan 4;13(2):1078-1084. doi: 10.1039/d2ra06697a. eCollection 2023 Jan 3.
3
Investigation on the organic-inorganic hybrid crystal [NH(CH)]CuBr: structure, phase transition, thermal property, structural geometry, and dynamics.有机-无机杂化晶体[NH(CH)]CuBr的研究:结构、相变、热性质、结构几何与动力学
Sci Rep. 2023 Nov 29;13(1):21008. doi: 10.1038/s41598-023-48015-6.
4
Crystal growth, phase transition, and nuclear magnetic resonance of organic-inorganic hybrid perovskite NH(CH)CdCl.有机-无机杂化钙钛矿NH(CH)CdCl的晶体生长、相变及核磁共振
RSC Adv. 2023 Sep 1;13(37):26015-26022. doi: 10.1039/d3ra04381a. eCollection 2023 Aug 29.
5
Organic-inorganic hybrid [NH(CH)NH]ZnBr crystal: structural characterization, phase transitions, thermal properties, and structural dynamics.有机-无机杂化[NH(CH)NH]ZnBr晶体:结构表征、相变、热性质及结构动力学
RSC Adv. 2022 Oct 10;12(44):28720-28727. doi: 10.1039/d2ra04834e. eCollection 2022 Oct 4.
6
Phase transition, thermal stability, and molecular dynamics of organic-inorganic hybrid perovskite [NH(CH)NH]CuCl crystals.有机-无机杂化钙钛矿[NH(CH)NH]CuCl晶体的相变、热稳定性及分子动力学
RSC Adv. 2022 Jul 20;12(32):20679-20685. doi: 10.1039/d2ra02975h. eCollection 2022 Jul 14.
7
Processing on crystal growth, structure, thermal property, and nuclear magnetic resonance of organic-inorganic hybrid perovskite type [NH(CH)NH]ZnCl crystal.有机-无机杂化钙钛矿型[NH(CH)NH]ZnCl晶体的晶体生长、结构、热性质及核磁共振研究
RSC Adv. 2023 Oct 26;13(44):31027-31035. doi: 10.1039/d3ra05752f. eCollection 2023 Oct 18.
8
Crystal structure, structural geometry, and molecular motion of organic-inorganic perovskite [N(CH)]MnCl crystals at phases I, II, and III.有机-无机钙钛矿[N(CH)]MnCl晶体在I、II和III相的晶体结构、结构几何学和分子运动
Sci Rep. 2024 Nov 4;14(1):26607. doi: 10.1038/s41598-024-78376-5.
9
Advances in physicochemical characterization of lead-free hybrid perovskite [NH(CH)NH]CuBr crystals.无铅杂化钙钛矿[NH(CH)NH]CuBr晶体的物理化学表征进展。
Sci Rep. 2022 May 24;12(1):8769. doi: 10.1038/s41598-022-12832-y.
10
Study on Paramagnetic Interactions of (CHNH)CoBr Hybrid Perovskites Based on Nuclear Magnetic Resonance (NMR) Relaxation Time.基于核磁共振(NMR)弛豫时间的(CHNH)CoBr 杂化钙钛矿的顺磁相互作用研究。
Molecules. 2019 Aug 9;24(16):2895. doi: 10.3390/molecules24162895.

本文引用的文献

1
Single-crystal growth, crystal structure, and molecular dynamics of organic-inorganic [NH(CH)NH]CuBr.有机-无机化合物[NH(CH)NH]CuBr的单晶生长、晶体结构及分子动力学
Sci Rep. 2024 Sep 4;14(1):20532. doi: 10.1038/s41598-024-71702-x.
2
NH(CH)CuCl Organic-Inorganic Hybrid Perovskite: Consideration to Crystal Structure, Thermodynamics, and Structural Molecular Dynamics.NH(CH)CuCl有机-无机杂化钙钛矿:对晶体结构、热力学和结构分子动力学的考量
ACS Omega. 2024 Jul 29;9(32):34918-34926. doi: 10.1021/acsomega.4c04606. eCollection 2024 Aug 13.
3
Growth, structure, phase transition, thermal properties, and structural dynamics of organic-inorganic hybrid [NH(CH)NH]ZnCl crystal.
有机-无机杂化[NH(CH)NH]ZnCl晶体的生长、结构、相变、热性质及结构动力学
Sci Rep. 2022 Oct 7;12(1):16901. doi: 10.1038/s41598-022-21464-1.
4
2D layered all-inorganic halide perovskites: recent trends in their structure, synthesis and properties.二维层状全无机卤化物钙钛矿:其结构、合成与性质的最新趋势
Nanoscale. 2020 Oct 29;12(41):21094-21117. doi: 10.1039/d0nr06138g.
5
A Three-Dimensional Molecular Perovskite Ferroelastic with Two-Step Switching of Quadratic Nonlinear Optical Properties Tuned by Molecular Chiral Design.一种具有两步二次非线性光学性质切换的三维分子钙钛矿铁电体,通过分子手性设计进行调控。
J Phys Chem Lett. 2020 Oct 1;11(19):7960-7965. doi: 10.1021/acs.jpclett.0c02235. Epub 2020 Sep 9.
6
Chemical nature of ferroelastic twin domains in CHNHPbI perovskite.CHNHPbI钙钛矿中铁电弹性孪晶畴的化学性质。
Nat Mater. 2018 Nov;17(11):1013-1019. doi: 10.1038/s41563-018-0152-z. Epub 2018 Aug 27.
7
CsPbICl, All-Inorganic Two-Dimensional Ruddlesden-Popper Mixed Halide Perovskite with Optoelectronic Response.CsPbICl,具有光电响应的全无机二维Ruddlesden-Popper混合卤化物钙钛矿。
J Am Chem Soc. 2018 Sep 5;140(35):11085-11090. doi: 10.1021/jacs.8b06046. Epub 2018 Aug 22.
8
Copper-Substituted Lead Perovskite Materials Constructed with Different Halides for Working (CHNH)CuX-Based Perovskite Solar Cells from Experimental and Theoretical View.不同卤化物构建的铜取代铅钙钛矿材料用于(CHNH)CuX 基钙钛矿太阳能电池:从实验和理论角度。
ACS Appl Mater Interfaces. 2018 Apr 11;10(14):11699-11707. doi: 10.1021/acsami.8b00495. Epub 2018 Mar 30.
9
CHNHPbI perovskites: Ferroelasticity revealed.CHNHPbI 钙钛矿:铁弹性的揭示。
Sci Adv. 2017 Apr 14;3(4):e1602165. doi: 10.1126/sciadv.1602165. eCollection 2017 Apr.
10
Synthesis, structure, and magnetic behavior of bis(2-amino-5-fluoropyridinium) tetrachlorocuprate(II).
Inorg Chem. 2007 Dec 24;46(26):11254-65. doi: 10.1021/ic701645y. Epub 2007 Nov 17.