• 文献检索
  • 文档翻译
  • 深度研究
  • 学术资讯
  • Suppr Zotero 插件Zotero 插件
  • 邀请有礼
  • 套餐&价格
  • 历史记录
应用&插件
Suppr Zotero 插件Zotero 插件浏览器插件Mac 客户端Windows 客户端微信小程序
定价
高级版会员购买积分包购买API积分包
服务
文献检索文档翻译深度研究API 文档MCP 服务
关于我们
关于 Suppr公司介绍联系我们用户协议隐私条款
关注我们

Suppr 超能文献

核心技术专利:CN118964589B侵权必究
粤ICP备2023148730 号-1Suppr @ 2026

文献检索

告别复杂PubMed语法,用中文像聊天一样搜索,搜遍4000万医学文献。AI智能推荐,让科研检索更轻松。

立即免费搜索

文件翻译

保留排版,准确专业,支持PDF/Word/PPT等文件格式,支持 12+语言互译。

免费翻译文档

深度研究

AI帮你快速写综述,25分钟生成高质量综述,智能提取关键信息,辅助科研写作。

立即免费体验

基于随访CT影像预测表现为磨玻璃结节的肺腺癌侵袭性的列线图。

A nomogram for predicting invasiveness of lung adenocarcinoma manifesting as ground-glass nodules based on follow-up CT imaging.

作者信息

Li Hanting, Luo Qinyue, Zheng Yuting, Ding Chengyu, Yang Jinrong, Chen Leqing, Liu Xiaoqing, Guo Tingting, Fan Jun, Han Xiaoyu, Shi Heshui

机构信息

Department of Radiology, Wuhan Union Hospital, Tongji Medical College, Huazhong University of Science and Technology, Wuhan, China.

Hubei Province Key Laboratory of Molecular Imaging, Wuhan, China.

出版信息

Transl Lung Cancer Res. 2024 Oct 31;13(10):2617-2635. doi: 10.21037/tlcr-24-492. Epub 2024 Oct 28.

DOI:10.21037/tlcr-24-492
PMID:39507036
原文链接:https://pmc.ncbi.nlm.nih.gov/articles/PMC11535823/
Abstract

BACKGROUND

Different pathological stages of lung adenocarcinoma require different surgical strategies and have varying prognoses. Predicting their invasiveness is clinically important. This study aims to develop a nomogram to predict the invasiveness of lung adenocarcinoma manifesting as ground-glass nodules (GGNs) based on follow-up computed tomography (CT) imaging.

METHODS

We retrospectively collected data of 623 GGNs from 601 patients who underwent two follow-up chest CT scans and were confirmed as lung adenocarcinoma by postoperative pathology between June 2017 and August 2023. These patients were randomly divided into training and testing sets in a 7:3 ratio. Eighty-seven GGNs from 86 patients who underwent surgery between September 2023 and April 2024 were prospectively collected as a validation set. The volume, mean density, solid component volume (SV), percentage of solid component (PSC), and mass of GGNs were evaluated using the InferRead CT Lung software. Patients were classified into Group A (atypical adenomatous hyperplasia, adenocarcinoma in situ, and minimally invasive adenocarcinoma) and Group B (invasive adenocarcinoma). Three predictive models were established: model 1 utilized clinical characteristics and morphological features on pre-surgical CT, model 2 incorporated clinical characteristics, morphological features and quantitative parameters on pre-surgical CT, and model 3 utilized all selected features on baseline and pre-surgical CT.

RESULTS

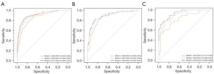
Model 3 achieved a satisfying area under the curves values of 0.911, 0.893, and 0.932 in the training, testing, and validation sets, respectively, demonstrating superior predictive performance than model1 (0.855, 0.858, and 0.816) and model2 (0.895, 0.891, and 0.903). A nomogram was constructed based on model 3. Calibration curves showed a good fit, and decision curve analysis showed that the nomogram was clinically useful.

CONCLUSIONS

The nomogram based on morphological features and quantitative parameters from follow-up CT images showed good discrimination and calibration abilities in predicting the invasiveness of lung adenocarcinoma manifesting as GGNs.

摘要

背景

肺腺癌的不同病理阶段需要不同的手术策略,且预后各异。预测其侵袭性在临床上具有重要意义。本研究旨在基于随访计算机断层扫描(CT)影像开发一种列线图,以预测表现为磨玻璃结节(GGN)的肺腺癌的侵袭性。

方法

我们回顾性收集了2017年6月至2023年8月期间601例接受两次胸部CT随访扫描且术后病理确诊为肺腺癌的患者的623个GGN数据。这些患者按7:3的比例随机分为训练集和测试集。前瞻性收集了2023年9月至2024年4月期间86例接受手术的患者的87个GGN作为验证集。使用InferRead CT Lung软件评估GGN的体积、平均密度、实性成分体积(SV)、实性成分百分比(PSC)和质量。患者分为A组(非典型腺瘤样增生、原位腺癌和微浸润腺癌)和B组(浸润性腺癌)。建立了三种预测模型:模型1利用术前CT的临床特征和形态学特征,模型2纳入术前CT的临床特征、形态学特征和定量参数,模型3利用基线和术前CT上所有选定的特征。

结果

模型3在训练集、测试集和验证集中的曲线下面积值分别为0.911、0.893和0.932,显示出比模型1(0.855、0.858和0.816)和模型2(0.895、0.891和0.903)更好的预测性能。基于模型3构建了列线图。校准曲线显示拟合良好,决策曲线分析表明列线图在临床上有用。

结论

基于随访CT图像的形态学特征和定量参数的列线图在预测表现为GGN的肺腺癌的侵袭性方面显示出良好的区分能力和校准能力。

https://cdn.ncbi.nlm.nih.gov/pmc/blobs/5ac0/11535823/936feaa36821/tlcr-13-10-2617-f8.jpg
https://cdn.ncbi.nlm.nih.gov/pmc/blobs/5ac0/11535823/b5c1874bf016/tlcr-13-10-2617-f1.jpg
https://cdn.ncbi.nlm.nih.gov/pmc/blobs/5ac0/11535823/6b836cc4ae60/tlcr-13-10-2617-f2.jpg
https://cdn.ncbi.nlm.nih.gov/pmc/blobs/5ac0/11535823/aa59ba71210f/tlcr-13-10-2617-f3.jpg
https://cdn.ncbi.nlm.nih.gov/pmc/blobs/5ac0/11535823/f3bbb48096d5/tlcr-13-10-2617-f4.jpg
https://cdn.ncbi.nlm.nih.gov/pmc/blobs/5ac0/11535823/2d38635c7ebf/tlcr-13-10-2617-f5.jpg
https://cdn.ncbi.nlm.nih.gov/pmc/blobs/5ac0/11535823/39737667840b/tlcr-13-10-2617-f6.jpg
https://cdn.ncbi.nlm.nih.gov/pmc/blobs/5ac0/11535823/06021941c97f/tlcr-13-10-2617-f7.jpg
https://cdn.ncbi.nlm.nih.gov/pmc/blobs/5ac0/11535823/936feaa36821/tlcr-13-10-2617-f8.jpg
https://cdn.ncbi.nlm.nih.gov/pmc/blobs/5ac0/11535823/b5c1874bf016/tlcr-13-10-2617-f1.jpg
https://cdn.ncbi.nlm.nih.gov/pmc/blobs/5ac0/11535823/6b836cc4ae60/tlcr-13-10-2617-f2.jpg
https://cdn.ncbi.nlm.nih.gov/pmc/blobs/5ac0/11535823/aa59ba71210f/tlcr-13-10-2617-f3.jpg
https://cdn.ncbi.nlm.nih.gov/pmc/blobs/5ac0/11535823/f3bbb48096d5/tlcr-13-10-2617-f4.jpg
https://cdn.ncbi.nlm.nih.gov/pmc/blobs/5ac0/11535823/2d38635c7ebf/tlcr-13-10-2617-f5.jpg
https://cdn.ncbi.nlm.nih.gov/pmc/blobs/5ac0/11535823/39737667840b/tlcr-13-10-2617-f6.jpg
https://cdn.ncbi.nlm.nih.gov/pmc/blobs/5ac0/11535823/06021941c97f/tlcr-13-10-2617-f7.jpg
https://cdn.ncbi.nlm.nih.gov/pmc/blobs/5ac0/11535823/936feaa36821/tlcr-13-10-2617-f8.jpg

相似文献

1
A nomogram for predicting invasiveness of lung adenocarcinoma manifesting as ground-glass nodules based on follow-up CT imaging.基于随访CT影像预测表现为磨玻璃结节的肺腺癌侵袭性的列线图。
Transl Lung Cancer Res. 2024 Oct 31;13(10):2617-2635. doi: 10.21037/tlcr-24-492. Epub 2024 Oct 28.
2
A nomogram based on the quantitative and qualitative features of CT imaging for the prediction of the invasiveness of ground glass nodules in lung adenocarcinoma.基于 CT 成像的定量和定性特征的列线图预测肺腺癌磨玻璃结节的侵袭性。
BMC Cancer. 2024 Apr 9;24(1):438. doi: 10.1186/s12885-024-12207-8.
3
A nomogram for predicting invasiveness of lung adenocarcinoma manifesting as pure ground-glass nodules: incorporating subjective CT signs and histogram parameters based on artificial intelligence.一种用于预测表现为纯磨玻璃结节的肺腺癌侵袭性的列线图:基于人工智能整合主观CT征象和直方图参数
J Cancer Res Clin Oncol. 2023 Nov;149(17):15323-15333. doi: 10.1007/s00432-023-05262-4. Epub 2023 Aug 25.
4
Development and Validation a Nomogram Incorporating CT Radiomics Signatures and Radiological Features for Differentiating Invasive Adenocarcinoma From Adenocarcinoma and Minimally Invasive Adenocarcinoma Presenting as Ground-Glass Nodules Measuring 5-10mm in Diameter.开发并验证一种列线图,该列线图纳入CT影像组学特征和放射学特征,用于鉴别直径5-10mm的磨玻璃结节型浸润性腺癌与腺癌及微浸润性腺癌。
Front Oncol. 2021 Apr 21;11:618677. doi: 10.3389/fonc.2021.618677. eCollection 2021.
5
Development and validation of a radiomics nomogram for identifying invasiveness of pulmonary adenocarcinomas appearing as subcentimeter ground-glass opacity nodules.开发并验证一种基于影像组学的列线图模型,用于识别表现为亚厘米磨玻璃密度结节的肺腺癌的侵袭性。
Eur J Radiol. 2019 Mar;112:161-168. doi: 10.1016/j.ejrad.2019.01.021. Epub 2019 Jan 22.
6
A computerized tomography-based radiomic model for assessing the invasiveness of lung adenocarcinoma manifesting as ground-glass opacity nodules.基于计算机断层扫描的放射组学模型评估表现为磨玻璃密度结节的肺腺癌侵袭性。
Respir Res. 2022 Apr 16;23(1):96. doi: 10.1186/s12931-022-02016-7.
7
The combined nomogram based on the CT features may be used as a complementary method of frozen sections to predict invasive lung adenocarcinoma manifesting as ground-glass nodules.基于CT特征的联合列线图可作为冰冻切片的补充方法,用于预测表现为磨玻璃结节的浸润性肺腺癌。
J Thorac Dis. 2020 May;12(5):2361-2371. doi: 10.21037/jtd.2020.03.75.
8
Invasive Prediction of Ground Glass Nodule Based on Clinical Characteristics and Radiomics Feature.基于临床特征和影像组学特征的磨玻璃结节侵袭性预测
Front Genet. 2022 Jan 6;12:783391. doi: 10.3389/fgene.2021.783391. eCollection 2021.
9
[Growth Regularity of Pulmonary Ground Glass Nodules Based on 3D Reconstruction Technology].基于三维重建技术的肺磨玻璃结节生长规律研究
Zhongguo Fei Ai Za Zhi. 2023 Apr 20;26(4):265-273. doi: 10.3779/j.issn.1009-3419.2023.101.11.
10
Radiomics nomogram: A noninvasive tool for preoperative evaluation of the invasiveness of pulmonary adenocarcinomas manifesting as ground-glass nodules.影像组学列线图:一种用于术前评估表现为磨玻璃结节的肺腺癌侵袭性的非侵入性工具。
Transl Oncol. 2021 Jan;14(1):100936. doi: 10.1016/j.tranon.2020.100936. Epub 2020 Nov 20.

引用本文的文献

1
Machine Learning Model for Predicting Pathological Invasiveness of Pulmonary Ground-Glass Nodules Based on AI-Extracted Radiomic Features.基于人工智能提取的影像组学特征预测肺磨玻璃结节病理侵袭性的机器学习模型
Thorac Cancer. 2025 Aug;16(15):e70128. doi: 10.1111/1759-7714.70128.
2
Natural course of lung adenocarcinoma manifesting as ground-glass nodules: invasiveness assessment based on growth evaluation.表现为磨玻璃结节的肺腺癌自然病程:基于生长评估的侵袭性评估
Transl Lung Cancer Res. 2025 Jun 30;14(6):2180-2196. doi: 10.21037/tlcr-2025-395. Epub 2025 Jun 24.
3
Development and validation of CT radiomics diagnostic models: differentiating benign from malignant pulmonary nodules and evaluating malignancy degree.

本文引用的文献

1
Guidelines for clinical practice of fusion detection in non-small-cell lung cancer: a proposal from the Chinese RATICAL study group.非小细胞肺癌融合检测临床实践指南:中国RATICAL研究组的建议
J Natl Cancer Cent. 2021 Jul 30;1(4):123-131. doi: 10.1016/j.jncc.2021.07.005. eCollection 2021 Dec.
2
Lack of incremental value of three-dimensional measurement in assessing invasiveness for lung cancer.三维测量评估肺癌侵袭性的增值作用有限。
Eur J Cardiothorac Surg. 2023 Dec 1;64(6). doi: 10.1093/ejcts/ezad373.
3
The solid component within part-solid nodules: 3-dimensional quantification, correlation with the malignant grade of nonmucinous pulmonary adenocarcinomas, and comparisons with 2-dimentional measures and semantic features in low-dose computed tomography.
CT影像组学诊断模型的开发与验证:鉴别肺结节的良恶性及评估恶性程度
J Thorac Dis. 2025 Mar 31;17(3):1645-1672. doi: 10.21037/jtd-2025-152. Epub 2025 Mar 20.
部分实性结节内的实性成分:三维定量,与非黏液性肺腺癌恶性程度的相关性,以及与低剂量 CT 的二维测量和语义特征的比较。
Cancer Imaging. 2023 Jun 22;23(1):65. doi: 10.1186/s40644-023-00577-4.
4
The predictive accuracy of CT radiomics combined with machine learning in predicting the invasiveness of small nodular lung adenocarcinoma.CT影像组学联合机器学习在预测小实性肺腺癌侵袭性方面的预测准确性
Transl Lung Cancer Res. 2023 Mar 31;12(3):530-546. doi: 10.21037/tlcr-23-82. Epub 2023 Mar 24.
5
A CT-based nomogram for predicting the risk of adenocarcinomas in patients with subsolid nodule according to the 2021 WHO classification.基于 CT 的列线图,用于根据 2021 年世卫组织分类预测亚实性结节患者腺癌风险。
Cancer Imaging. 2022 Sep 5;22(1):46. doi: 10.1186/s40644-022-00483-1.
6
Longitudinal prediction of lung nodule invasiveness by sequential modelling with common clinical computed tomography (CT) measurements: a prediction accuracy study.通过使用常见临床计算机断层扫描(CT)测量值的序列建模对肺结节侵袭性进行纵向预测:一项预测准确性研究。
Transl Lung Cancer Res. 2022 May;11(5):845-857. doi: 10.21037/tlcr-22-319.
7
A computerized tomography-based radiomic model for assessing the invasiveness of lung adenocarcinoma manifesting as ground-glass opacity nodules.基于计算机断层扫描的放射组学模型评估表现为磨玻璃密度结节的肺腺癌侵袭性。
Respir Res. 2022 Apr 16;23(1):96. doi: 10.1186/s12931-022-02016-7.
8
Artificial intelligence for detection and characterization of pulmonary nodules in lung cancer CT screening: ready for practice?人工智能在肺癌CT筛查中检测和表征肺结节:准备好应用于临床了吗?
Transl Lung Cancer Res. 2021 May;10(5):2378-2388. doi: 10.21037/tlcr-2020-lcs-06.
9
Managing of screening-detected sub-solid nodules-a European perspective.筛查发现的亚实性结节的管理——欧洲视角
Transl Lung Cancer Res. 2021 May;10(5):2368-2377. doi: 10.21037/tlcr.2020.03.37.
10
Lung cancer probability and clinical outcomes of baseline and new subsolid nodules detected on low-dose CT screening.低剂量 CT 筛查中检测到的基线和新亚实性结节的肺癌概率和临床结局。
Thorax. 2021 Oct;76(10):980-988. doi: 10.1136/thoraxjnl-2020-215107. Epub 2021 Apr 15.