Suppr超能文献

脂积累产物作为糖尿病前期和糖尿病的预测因子:来自 NHANES 数据(1999-2018 年)的见解。

Lipid Accumulation Product as a Predictor of Prediabetes and Diabetes: Insights From NHANES Data (1999-2018).

机构信息

Department of Critical Care Medicine, West China Hospital, Sichuan University, Chengdu, China.

West China School of Nursing, Sichuan University, Chengdu, China.

出版信息

J Diabetes Res. 2024 Nov 11;2024:2874122. doi: 10.1155/2024/2874122. eCollection 2024.

Abstract

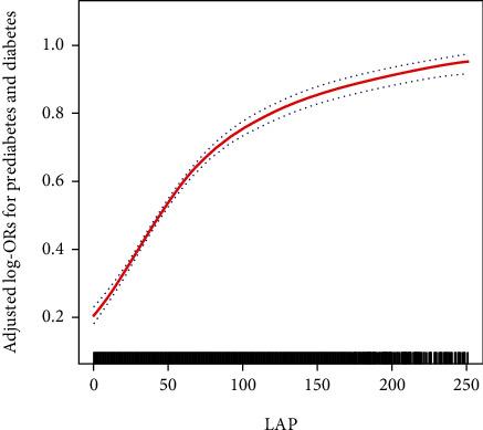
The study investigates the association between lipid accumulation product (LAP) and the risk of prediabetes and diabetes. LAP, a measure indicating lipid overaccumulation, is hypothesized to be a significant predictor for these conditions. This research utilizes data from the National Health and Nutrition Examination Survey (NHANES) conducted between 1999 and 2018. The study followed a structured methodology, starting with data extraction from the NHANES database. Participants' eligibility was determined based on specific inclusion and exclusion criteria, resulting in a final sample size of 24,121 individuals. LAP was calculated using established formulas for men and women. The diagnosis of prediabetes and diabetes was based on standard medical criteria, including HbA1c levels, fasting plasma glucose, and oral glucose tolerance test (OGTT) results. Covariates like demographic variables, lifestyle factors, and other health indicators were also considered. Statistical analysis involved categorizing LAP into quartiles and employing logistic regression models to examine the relationship between LAP and the risk of prediabetes and diabetes. Participants in the highest LAP quartile exhibited distinct characteristics: older age, lower education levels, more former smokers and drinkers, higher blood pressure and cholesterol levels, and greater use of medications. A positive association was observed between LAP and the incidence of prediabetes and diabetes across all models. Specifically, each 10-unit increase in LAP was linked to a 22% increase in risk. Nonlinear relationships were also explored, revealing an inflection point in the risk correlation at an LAP value of 68.1. The study concludes that LAP is a significant predictor of prediabetes and diabetes risk, with higher LAP levels correlating with increased risk. This finding underscores the potential of LAP as a useful marker in identifying individuals at higher risk for these conditions. It also highlights the importance of considering LAP in preventive health strategies.

摘要

本研究旨在探讨脂质蓄积产物(LAP)与糖尿病前期和糖尿病风险之间的关联。LAP 是衡量脂质过度蓄积的指标,被假设为这些疾病的重要预测因子。本研究利用了 1999 年至 2018 年期间进行的国家健康与营养调查(NHANES)的数据。研究采用了结构化的方法,首先从 NHANES 数据库中提取数据。根据具体的纳入和排除标准确定参与者的资格,最终样本量为 24121 人。男性和女性的 LAP 均采用既定公式计算。糖尿病前期和糖尿病的诊断基于包括 HbA1c 水平、空腹血浆葡萄糖和口服葡萄糖耐量试验(OGTT)结果在内的标准医学标准。还考虑了人口统计学变量、生活方式因素和其他健康指标等协变量。统计分析包括将 LAP 分为四分位数,并采用逻辑回归模型来检查 LAP 与糖尿病前期和糖尿病风险之间的关系。最高 LAP 四分位数的参与者具有明显的特征:年龄较大、教育水平较低、以前吸烟和饮酒者较多、血压和胆固醇水平较高、以及更多地使用药物。在所有模型中,LAP 与糖尿病前期和糖尿病的发生率之间均存在正相关关系。具体而言,LAP 每增加 10 个单位,风险增加 22%。还探讨了非线性关系,发现 LAP 值为 68.1 时,风险相关性存在拐点。研究结论认为,LAP 是糖尿病前期和糖尿病风险的重要预测因子,较高的 LAP 水平与风险增加相关。这一发现强调了 LAP 作为识别这些疾病高危人群的有用标志物的潜力。它还突出了在预防保健策略中考虑 LAP 的重要性。

https://cdn.ncbi.nlm.nih.gov/pmc/blobs/8ae2/11573446/579232e36f5a/JDR2024-2874122.001.jpg

文献检索

告别复杂PubMed语法,用中文像聊天一样搜索,搜遍4000万医学文献。AI智能推荐,让科研检索更轻松。

立即免费搜索

文件翻译

保留排版,准确专业,支持PDF/Word/PPT等文件格式,支持 12+语言互译。

免费翻译文档

深度研究

AI帮你快速写综述,25分钟生成高质量综述,智能提取关键信息,辅助科研写作。

立即免费体验