Suppr超能文献

不同秸秆还田方式对玉米土壤特性及产量潜力的影响。

Effects of different straw return methods on soil properties and yield potential of maize.

机构信息

Inner Mongolia Agricultural University, No. 275, Xin Jian East Street, Hohhot, 010019, China.

Key Laboratory of Crop Cultivation and Genetic Improvement of Inner Mongolia Autonomous Region, Hohhot, 010019, Inner Mongolia Autonomous Region, China.

出版信息

Sci Rep. 2024 Nov 19;14(1):28682. doi: 10.1038/s41598-024-70404-8.

Abstract

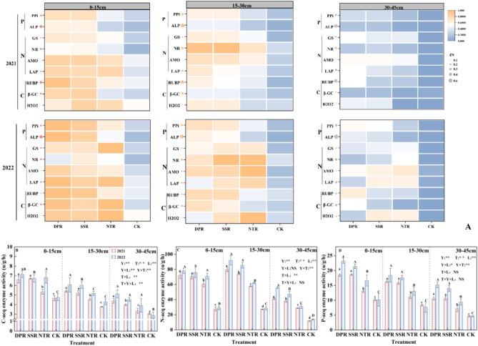
Long-term continual straw return can enhance soil quality and increase crop yields by perpetually altering the soil environment. However, little is known about how different straw return methods affect soil physicochemical properties, enzymatic processes, and crop yields. The study aims to determine how different straw return practices improve soil structure, nutrients, enzyme activities, and maize yields. In this experiment, a field trial was conducted in 2021-2022 in the irrigated area of the Tumochuan Plain Irrigation District to determine the effects of four different straw returns on soil structure, nutrients, enzyme activities, soil quality, and maize yields. The four types of straw return included straw incorporation with deep tillage (DPR), straw incorporation with subsoiling (SSR), no-tillage mulching straw return, and farmer's shallow rotation (CK). Our results showed that DPR and SSR enhanced water retention capacity by reducing the bulk weight of the 0-45 cm soil layer. DPR and SSR significantly increased soil organic C (12.76%), total nitrogen (25.32%), and available nutrients (i.e. AP, NO-N) in the 0-45 cm soil layer compared to CK, whereas there were no differences between straw-returned treatments in the 0-15 cm soil layer. Finally, maize yield was significantly increased by 13.14% and 11.41% in the second year of DPR and SSR, respectively, compared to CK. This study demonstrated that DPR and SSR are effective at enhancing the agricultural utilization of crop residues and represent feasible strategies for improving physical, chemical, and biological processes in continuous maize cropping systems, leading to increased crop productivity.

摘要

长期连续秸秆还田通过不断改变土壤环境来提高土壤质量和增加作物产量。然而,对于不同的秸秆还田方式如何影响土壤理化性质、酶活性和作物产量,人们知之甚少。本研究旨在确定不同的秸秆还田方式如何改善土壤结构、养分、酶活性和玉米产量。在 2021-2022 年,在土默川平原灌区的灌溉区进行了田间试验,以确定四种不同的秸秆还田方式对土壤结构、养分、酶活性、土壤质量和玉米产量的影响。四种秸秆还田方式包括深松埋茬(DPR)、深松旋耕(SSR)、免耕覆盖秸秆还田和农民浅旋耕(CK)。结果表明,DPR 和 SSR 通过降低 0-45cm 土层的容重来提高保水能力。与 CK 相比,DPR 和 SSR 显著增加了 0-45cm 土层的土壤有机碳(12.76%)、全氮(25.32%)和有效养分(即 AP、NO-N),而秸秆还田处理在 0-15cm 土层中没有差异。最后,与 CK 相比,DPR 和 SSR 分别使第二年的玉米产量增加了 13.14%和 11.41%。本研究表明,DPR 和 SSR 有效地提高了作物残茬的农业利用效率,是改善连续玉米种植系统物理、化学和生物学过程的可行策略,可提高作物生产力。

https://cdn.ncbi.nlm.nih.gov/pmc/blobs/a915/11577005/3244160a973a/41598_2024_70404_Fig1_HTML.jpg

文献AI研究员

20分钟写一篇综述,助力文献阅读效率提升50倍。

立即体验

用中文搜PubMed

大模型驱动的PubMed中文搜索引擎

马上搜索

文档翻译

学术文献翻译模型,支持多种主流文档格式。

立即体验