• 文献检索
  • 文档翻译
  • 深度研究
  • 学术资讯
  • Suppr Zotero 插件Zotero 插件
  • 邀请有礼
  • 套餐&价格
  • 历史记录
应用&插件
Suppr Zotero 插件Zotero 插件浏览器插件Mac 客户端Windows 客户端微信小程序
定价
高级版会员购买积分包购买API积分包
服务
文献检索文档翻译深度研究API 文档MCP 服务
关于我们
关于 Suppr公司介绍联系我们用户协议隐私条款
关注我们

Suppr 超能文献

核心技术专利:CN118964589B侵权必究
粤ICP备2023148730 号-1Suppr @ 2026

文献检索

告别复杂PubMed语法,用中文像聊天一样搜索,搜遍4000万医学文献。AI智能推荐,让科研检索更轻松。

立即免费搜索

文件翻译

保留排版,准确专业,支持PDF/Word/PPT等文件格式,支持 12+语言互译。

免费翻译文档

深度研究

AI帮你快速写综述,25分钟生成高质量综述,智能提取关键信息,辅助科研写作。

立即免费体验

美国外科医师学会手术标准与乳腺癌结局

American College of Surgeons Operative Standards and Breast Cancer Outcomes.

机构信息

Department of Surgery, Michigan Medicine, Ann Arbor.

Center for Health Outcomes and Policy, Michigan Medicine, Ann Arbor.

出版信息

JAMA Netw Open. 2024 Nov 4;7(11):e2446345. doi: 10.1001/jamanetworkopen.2024.46345.

DOI:10.1001/jamanetworkopen.2024.46345
PMID:39565622
原文链接:https://pmc.ncbi.nlm.nih.gov/articles/PMC11579798/
Abstract

IMPORTANCE

The American College of Surgeons (ACS) operative standards were established to detail critical elements of cancer surgery, reduce technical variation, and improve outcomes. Two of the 6 operative standards target adequate axillary surgery for breast cancer. The potential association of the operative standards with short-term oncologic outcomes, such as nodal yield and nodal positivity rates, is currently unknown.

OBJECTIVE

To evaluate the potential association of the ACS operative standards with short-term oncologic outcomes in breast cancer.

DESIGN, SETTING, AND PARTICIPANTS: A cohort study was performed using data on 1 201 317 women 18 years or older who underwent sentinel lymph node biopsy (SLNB) or axillary lymph node dissection (ALND) for invasive breast cancer from January 1, 2012, to December 31, 2020. Patients were identified using the National Cancer Database (NCDB), a clinical oncology database encompassing approximately 70% of new cancer diagnoses, sourced from hospital registry data from 1317 facilities. Statistical analysis was performed from October 2023 to June 2024.

EXPOSURE

Sentinel lymph node biopsy or ALND.

MAIN OUTCOMES AND MEASURES

Reliability-adjusted facility-level lymph node yield and nodal positivity rate for each procedure were calculated using generalized linear mixed models, Poisson regression, and logistic regression with facility-level random intercepts.

RESULTS

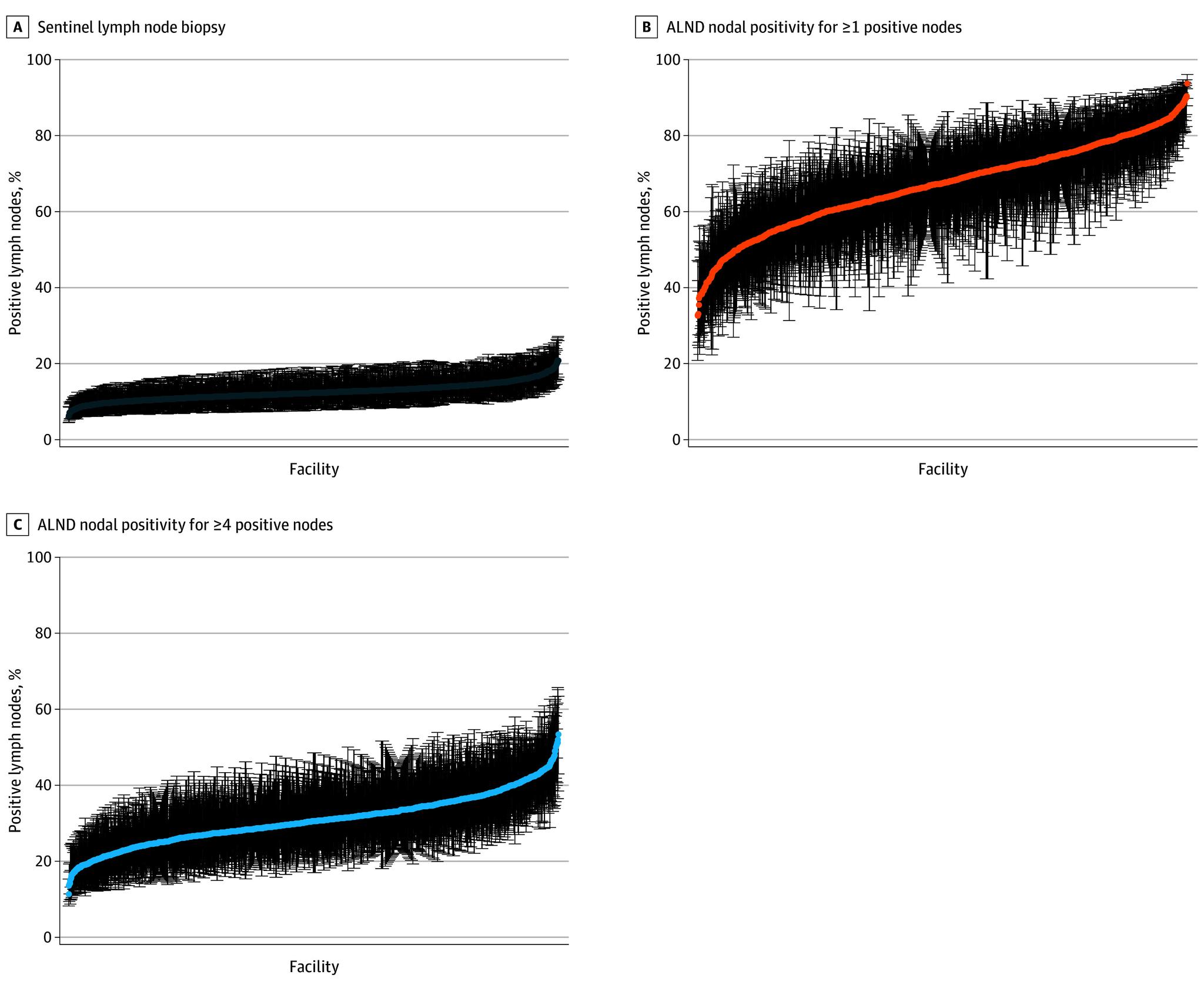
The cohort included 1 201 317 women with a median age of 62 years (IQR, 53-70 years). Facility-level nodal yield ranged from 1 to 6 for SLNB and from 6 to 22 for ALND. Median facility-level nodal yield for SLNB was 2.6 (IQR, 2.3-3.0) and the nodal positivity rate for SLNB was 12.2% (IQR, 11.0%-13.7%), with rates ranging from 6% to 21%. A weak correlation between facility-level lymph node yield and nodal positivity was observed (Spearman correlation coefficient, 0.17). Median nodal upstaging rate (≥4 positive nodes) for ALND was 30.5% (IQR, 26.5%-35.0%), with rates ranging from 11% to 54%; median nodal yield was 12.2 (IQR, 10.9-13.6). A strong correlation between nodal yield and nodal upstaging rates was observed (Spearman correlation coefficient, 0.53).

CONCLUSIONS AND RELEVANCE

In this cohort study of women undergoing axillary surgery for invasive breast cancer, facility-level variation in lymph node yield was present for both SLNB and ALND, which could potentially be improved through the ACS operative standards. However, this variation had mixed associations with nodal positivity and upstaging rates, suggesting the association of the ACS operative standards with oncologic outcomes may be mixed.

摘要

重要性

美国外科医师学院(ACS)的手术标准旨在详细说明癌症手术的关键要素,减少技术差异,并改善结果。其中 6 项手术标准中有 2 项针对乳腺癌的充分腋窝手术。目前尚不清楚这些手术标准与短期肿瘤学结果(如淋巴结产量和淋巴结阳性率)之间的潜在关联。

目的

评估 ACS 手术标准与乳腺癌短期肿瘤学结果之间的潜在关联。

设计、地点和参与者:使用 2012 年 1 月 1 日至 2020 年 12 月 31 日期间 1201317 名 18 岁或以上接受前哨淋巴结活检(SLNB)或腋窝淋巴结清扫术(ALND)的浸润性乳腺癌患者的数据进行了一项队列研究。患者通过国家癌症数据库(NCDB)确定,该数据库是一个临床肿瘤学数据库,涵盖了大约 70%的新癌症诊断,来源于来自 1317 个设施的医院登记数据。统计分析于 2023 年 10 月至 2024 年 6 月进行。

暴露

SLNB 或 ALND。

主要结果和措施

使用广义线性混合模型、泊松回归和具有设施水平随机截距的逻辑回归,计算每个程序的可靠性调整后的设施水平淋巴结产量和淋巴结阳性率。

结果

该队列包括 1201317 名中位年龄为 62 岁(IQR,53-70 岁)的女性。SLNB 的设施水平淋巴结产量范围为 1 至 6,ALND 的产量范围为 6 至 22。SLNB 的中位设施水平淋巴结产量为 2.6(IQR,2.3-3.0),SLNB 的淋巴结阳性率为 12.2%(IQR,11.0%-13.7%),比例为 6%至 21%。观察到设施水平淋巴结产量与淋巴结阳性率之间存在弱相关性(Spearman 相关系数,0.17)。ALND 的中位淋巴结升级率(≥4 个阳性淋巴结)为 30.5%(IQR,26.5%-35.0%),比例为 11%-54%;中位淋巴结产量为 12.2(IQR,10.9-13.6)。观察到淋巴结产量与淋巴结升级率之间存在很强的相关性(Spearman 相关系数,0.53)。

结论和相关性

在这项对接受浸润性乳腺癌腋窝手术的女性进行的队列研究中,SLNB 和 ALND 的淋巴结产量都存在设施水平的差异,这可能通过 ACS 手术标准得到改善。然而,这种差异与淋巴结阳性率和升级率的相关性混杂,这表明 ACS 手术标准与肿瘤学结果之间的关联可能是混杂的。

https://cdn.ncbi.nlm.nih.gov/pmc/blobs/f357/11579798/3757d58ba08c/jamanetwopen-e2446345-g003.jpg
https://cdn.ncbi.nlm.nih.gov/pmc/blobs/f357/11579798/96500c40f271/jamanetwopen-e2446345-g001.jpg
https://cdn.ncbi.nlm.nih.gov/pmc/blobs/f357/11579798/afd6375ee25b/jamanetwopen-e2446345-g002.jpg
https://cdn.ncbi.nlm.nih.gov/pmc/blobs/f357/11579798/3757d58ba08c/jamanetwopen-e2446345-g003.jpg
https://cdn.ncbi.nlm.nih.gov/pmc/blobs/f357/11579798/96500c40f271/jamanetwopen-e2446345-g001.jpg
https://cdn.ncbi.nlm.nih.gov/pmc/blobs/f357/11579798/afd6375ee25b/jamanetwopen-e2446345-g002.jpg
https://cdn.ncbi.nlm.nih.gov/pmc/blobs/f357/11579798/3757d58ba08c/jamanetwopen-e2446345-g003.jpg

相似文献

1
American College of Surgeons Operative Standards and Breast Cancer Outcomes.美国外科医师学会手术标准与乳腺癌结局
JAMA Netw Open. 2024 Nov 4;7(11):e2446345. doi: 10.1001/jamanetworkopen.2024.46345.
2
Axillary treatment for operable primary breast cancer.可手术原发性乳腺癌的腋窝治疗
Cochrane Database Syst Rev. 2017 Jan 4;1(1):CD004561. doi: 10.1002/14651858.CD004561.pub3.
3
Safety and Accuracy of Sentinel Lymph Node Biopsy Alone in Clinically Node-Positive Patients Undergoing Upfront Surgery for Invasive Breast Cancer: A Systematic Review.单独使用前哨淋巴结活检术在浸润性乳腺癌行 upfront 手术的临床阳性淋巴结患者中的安全性和准确性:一项系统评价。
Curr Oncol. 2023 Mar 7;30(3):3102-3110. doi: 10.3390/curroncol30030235.
4
Changing practice patterns in axillary management for patients with node-positive breast cancer towards increased use of sentinel lymph node biopsy-alone after neoadjuvant chemotherapy: results of a survey (MF17-01) among Turkish surgeons.新辅助化疗后,针对淋巴结阳性乳腺癌患者的腋窝处理模式发生变化,更多地采用仅前哨淋巴结活检:一项针对土耳其外科医生的调查(MF17 - 01)结果
Langenbecks Arch Surg. 2025 Jun 16;410(1):196. doi: 10.1007/s00423-025-03767-9.
5
Positron emission tomography (PET) and magnetic resonance imaging (MRI) for the assessment of axillary lymph node metastases in early breast cancer: systematic review and economic evaluation.正电子发射断层扫描(PET)和磁共振成像(MRI)在早期乳腺癌腋窝淋巴结转移评估中的应用:系统评价和经济评估。
Health Technol Assess. 2011 Jan;15(4):iii-iv, 1-134. doi: 10.3310/hta15040.
6
Trends in Surgical Axillary Staging and Clinical Outcomes Among Breast Cancer Patients With Neoadjuvant Therapy: A Population-Based Cohort Study.接受新辅助治疗的乳腺癌患者腋窝手术分期及临床结局的趋势:一项基于人群的队列研究
Clin Breast Cancer. 2025 Jul;25(5):e525-e532.e3. doi: 10.1016/j.clbc.2025.02.001. Epub 2025 Feb 6.
7
Axillary reverse mapping in N0 patients requiring sentinel lymph node biopsy - A systematic review of the literature and necessity of a randomised study.需要前哨淋巴结活检的N0患者的腋窝反向映射——文献系统评价及随机研究的必要性
Breast. 2017 Jun;33:57-70. doi: 10.1016/j.breast.2017.02.019. Epub 2017 Mar 8.
8
Different strategies in de-escalation of axillary surgery in node-positive breast cancer following neoadjuvant treatment: a systematic review and meta-analysis of long-term outcomes.新辅助治疗后腋窝淋巴结阳性乳腺癌腋窝手术降阶梯治疗的不同策略:长期结局的系统评价和荟萃分析
Breast Cancer. 2025 Apr 5. doi: 10.1007/s12282-025-01692-9.
9
Recommendation for axillary lymph node dissection in women with early breast cancer and sentinel node metastasis: A systematic review and meta-analysis of randomized controlled trials using the GRADE system.早期乳腺癌伴前哨淋巴结转移女性腋窝淋巴结清扫的推荐:使用 GRADE 系统的随机对照试验的系统评价和荟萃分析。
Int J Surg. 2016 Oct;34:73-80. doi: 10.1016/j.ijsu.2016.08.022. Epub 2016 Aug 22.
10
Oncologic Outcomes with De-Escalation of Axillary Surgery After Neoadjuvant Chemotherapy for Breast Cancer: Results from > 1500 Patients on the I-SPY2 Clinical Trial.乳腺癌新辅助化疗后腋窝手术降阶梯治疗的肿瘤学结局:I-SPY2临床试验中1500余例患者的结果
Ann Surg Oncol. 2025 May;32(5):3278-3291. doi: 10.1245/s10434-025-16973-y. Epub 2025 Feb 13.

引用本文的文献

1
Evaluating Variation in Lymph Node Sampling During Sentinel Lymph Node Biopsy for Melanoma.评估黑色素瘤前哨淋巴结活检术中淋巴结取样的差异。
Ann Surg Oncol. 2025 Aug 16. doi: 10.1245/s10434-025-18063-5.
2
National Variation in Implementation of Sentinel Lymph Node Biopsy for Clinically Node-Positive Patients Undergoing Neoadjuvant Therapy.接受新辅助治疗的临床淋巴结阳性患者前哨淋巴结活检实施情况的全国性差异。
Ann Surg Oncol. 2025 Apr 18. doi: 10.1245/s10434-025-17293-x.

本文引用的文献

1
The Volume and Cost of Quality Metric Reporting.质量指标报告的数量和成本。
JAMA. 2023 Jun 6;329(21):1840-1847. doi: 10.1001/jama.2023.7271.
2
Omitting axillary staging in selected patients: Rationale of Choosing Wisely in breast cancer treatment.选择性省略腋窝分期:乳腺癌治疗中选择明智的理由。
Surgery. 2023 Aug;174(2):413-415. doi: 10.1016/j.surg.2023.03.023. Epub 2023 May 10.
3
Editorial: Updating the Operative Standards for Cancer Surgery Key Questions.社论:更新癌症手术的操作标准关键问题。
Ann Surg Oncol. 2022 Oct;29(11):6511-6514. doi: 10.1245/s10434-022-12417-z. Epub 2022 Aug 18.
4
Technical Standards for Cancer Surgery: Commission on Cancer Standards 5.3-5.8.癌症手术技术标准:肿瘤委员会标准 5.3-5.8。
Ann Surg Oncol. 2022 Oct;29(11):6549-6558. doi: 10.1245/s10434-022-11375-w. Epub 2022 Feb 20.
5
Technical Standards for Cancer Surgery: Improving Patient Care through Synoptic Operative Reporting.癌症手术技术标准:通过手术记录概要提高患者护理质量。
Ann Surg Oncol. 2022 Oct;29(11):6526-6533. doi: 10.1245/s10434-022-11330-9. Epub 2022 Feb 16.
6
Trends in Sentinel Lymph Node Biopsies in Patients With Inflammatory Breast Cancer in the US.美国炎性乳腺癌患者前哨淋巴结活检的趋势。
JAMA Netw Open. 2022 Feb 1;5(2):e2148021. doi: 10.1001/jamanetworkopen.2021.48021.
7
New Operative Reporting Standards: Where We Stand Now and Opportunities for Innovation.新手术报告标准:我们现在的立场和创新机会。
Ann Surg Oncol. 2022 Mar;29(3):1797-1804. doi: 10.1245/s10434-021-10766-9. Epub 2021 Sep 14.
8
Axillary lymph node dissection in node-positive breast cancer: are ten nodes adequate and when is enough, enough?腋窝淋巴结清扫术在淋巴结阳性乳腺癌中的应用:十个淋巴结足够吗?何时才足够?
Breast Cancer Res Treat. 2020 Feb;179(3):661-670. doi: 10.1007/s10549-019-05500-9. Epub 2019 Nov 18.
9
Decreasing rates of axillary lymph node dissections over time: Implications for surgical resident exposure and operative skills development.随着时间的推移,腋窝淋巴结清扫术的比例逐渐下降:对外科住院医师的暴露和手术技能发展的影响。
Am J Surg. 2019 Oct;218(4):786-791. doi: 10.1016/j.amjsurg.2019.07.013. Epub 2019 Jul 18.
10
Adherence to surgical and oncologic standards improves survival in breast cancer patients.坚持外科手术和肿瘤学标准可提高乳腺癌患者的生存率。
J Surg Oncol. 2019 Aug;120(2):148-159. doi: 10.1002/jso.25506. Epub 2019 Jun 6.