Suppr超能文献

基于 MRI 的放射组学和机器学习预测乳腺癌的淋巴管血管侵犯状态。

MRI-based radiomic and machine learning for prediction of lymphovascular invasion status in breast cancer.

机构信息

Department of Radiology, Guangzhou Red Cross Hospital, Guangzhou, GuangDong, 510220, China.

Innovative Institute of Chinese Medicine and Pharmacy, Shandong University of Traditional Chinese Medicine, Jinan, Shandong, 250300, China.

出版信息

BMC Med Imaging. 2024 Nov 27;24(1):322. doi: 10.1186/s12880-024-01501-3.

Abstract

OBJECTIVE

Lymphovascular invasion (LVI) is critical for the effective treatment and prognosis of breast cancer (BC). This study aimed to investigate the value of eight machine learning models based on MRI radiomic features for the preoperative prediction of LVI status in BC.

METHODS

A total of 454 patients with BC with known LVI status who underwent breast MRI were enrolled and randomly assigned to the training and validation sets at a ratio of 7:3. Radiomic features were extracted from T2WI and dynamic contrast-enhanced (DCE) of MRI sequences, the optimal feature filter and LASSO algorithm were used to obtain the optimal features, and eight machine learning algorithms, including LASSO, logistic regression, random forest, k-nearest neighbor (KNN), support vector machine, gradient boosting decision tree, extreme gradient boosting, and light gradient boosting machine, were used to construct models for predicating LVI status in BC. The area under the receiver operating characteristic curve (AUC), accuracy, sensitivity, and specificity were used to evaluate the performance of the models.

RESULTS

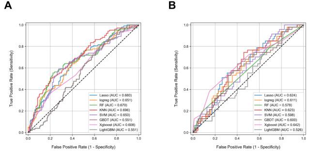
Eighteen radiomic features were retained to construct the radiomic signature. Among the eight machine learning algorithms, the KNN model demonstrated superior performance to the other models in assessing the LVI status of patients with BC, with an accuracy of 0.696 and 0.642 in training and validation sets, respectively.

CONCLUSION

The eight machine learning models based on MRI radiomics serve as reliable indicators for identifying LVI status, and the KNN model demonstrated superior performance.This model offers substantial clinical utility, facilitating timely intervention in invasive BC and ultimately aiming to enhance patient survival rates.

摘要

目的

脉管侵犯(LVI)对乳腺癌(BC)的有效治疗和预后至关重要。本研究旨在探讨基于 MRI 放射组学特征的八种机器学习模型在 BC 患者术前预测 LVI 状态的价值。

方法

共纳入 454 例已知 LVI 状态的 BC 患者,他们接受了乳腺 MRI 检查,并按 7:3 的比例随机分配到训练集和验证集中。从 T2WI 和动态对比增强(DCE)MRI 序列中提取放射组学特征,使用最优特征筛选和 LASSO 算法获取最优特征,并使用八种机器学习算法,包括 LASSO、逻辑回归、随机森林、k-最近邻(KNN)、支持向量机、梯度提升决策树、极端梯度提升和轻梯度提升机,构建用于预测 BC 中 LVI 状态的模型。使用受试者工作特征曲线下的面积(AUC)、准确性、敏感性和特异性来评估模型的性能。

结果

保留了 18 个放射组学特征来构建放射组学特征。在八种机器学习算法中,KNN 模型在评估 BC 患者的 LVI 状态方面表现优于其他模型,在训练集和验证集中的准确率分别为 0.696 和 0.642。

结论

基于 MRI 放射组学的八种机器学习模型可作为识别 LVI 状态的可靠指标,其中 KNN 模型表现最佳。该模型具有重要的临床应用价值,有助于及时干预浸润性 BC,最终提高患者的生存率。

https://cdn.ncbi.nlm.nih.gov/pmc/blobs/7b7b/11603622/78f193ad8054/12880_2024_1501_Fig1_HTML.jpg

文献检索

告别复杂PubMed语法,用中文像聊天一样搜索,搜遍4000万医学文献。AI智能推荐,让科研检索更轻松。

立即免费搜索

文件翻译

保留排版,准确专业,支持PDF/Word/PPT等文件格式,支持 12+语言互译。

免费翻译文档

深度研究

AI帮你快速写综述,25分钟生成高质量综述,智能提取关键信息,辅助科研写作。

立即免费体验