• 文献检索
  • 文档翻译
  • 深度研究
  • 学术资讯
  • Suppr Zotero 插件Zotero 插件
  • 邀请有礼
  • 套餐&价格
  • 历史记录
应用&插件
Suppr Zotero 插件Zotero 插件浏览器插件Mac 客户端Windows 客户端微信小程序
定价
高级版会员购买积分包购买API积分包
服务
文献检索文档翻译深度研究API 文档MCP 服务
关于我们
关于 Suppr公司介绍联系我们用户协议隐私条款
关注我们

Suppr 超能文献

核心技术专利:CN118964589B侵权必究
粤ICP备2023148730 号-1Suppr @ 2026

文献检索

告别复杂PubMed语法,用中文像聊天一样搜索,搜遍4000万医学文献。AI智能推荐,让科研检索更轻松。

立即免费搜索

文件翻译

保留排版,准确专业,支持PDF/Word/PPT等文件格式,支持 12+语言互译。

免费翻译文档

深度研究

AI帮你快速写综述,25分钟生成高质量综述,智能提取关键信息,辅助科研写作。

立即免费体验

使用……从透锂长石、锂辉石和锂云母中生物浸出锂

Bioleaching of lithium from jadarite, spodumene, and lepidolite using .

作者信息

Kirk Rebecca D, Newsome Laura, Falagan Carmen, Hudson-Edwards Karen A

机构信息

Environment and Sustainability Institute and Camborne School of Mines University of Exeter, Cornwall, United Kingdom.

School of Environment and Life Sciences, University of Portsmouth, Portsmouth, United Kingdom.

出版信息

Front Microbiol. 2024 Nov 13;15:1467408. doi: 10.3389/fmicb.2024.1467408. eCollection 2024.

DOI:10.3389/fmicb.2024.1467408
PMID:39651346
原文链接:https://pmc.ncbi.nlm.nih.gov/articles/PMC11622194/
Abstract

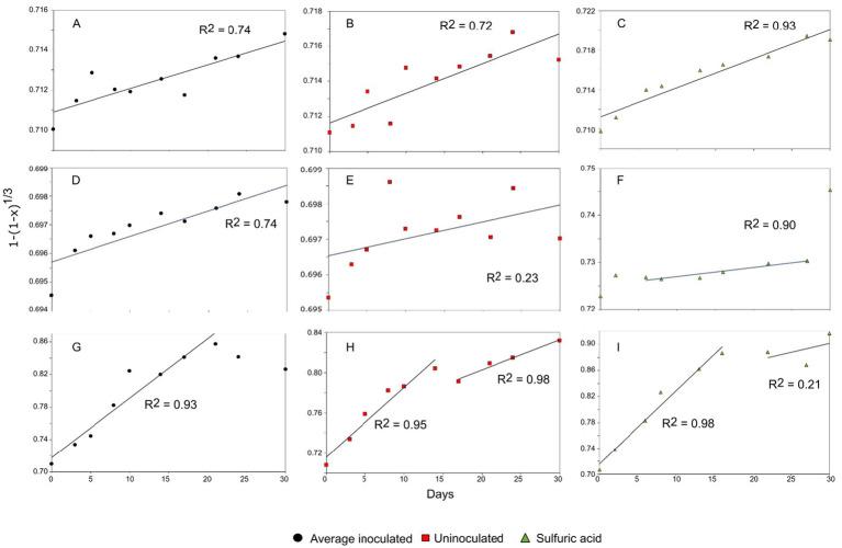
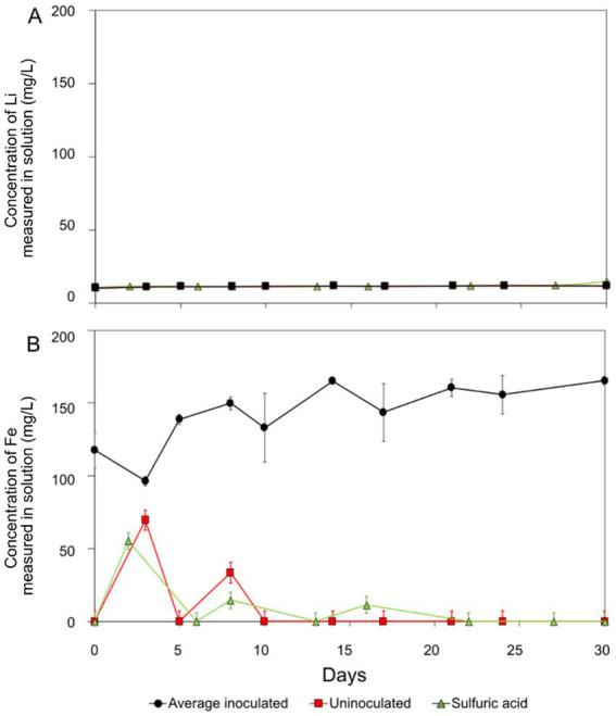
Lithium (Li) is becoming increasingly important due to its use in clean technologies that are required for the transition to net zero. Although acidophilic bioleaching has been used to recover metals from a wide range of deposits, its potential to recover Li has not yet been fully explored. In this study, we used a model Fe(II)- and S-oxidising bacterium, (At. Ferrooxidans), to extract Li from three different minerals and kinetic modelling to predict the dominant reaction pathways for Li release. Bioleaching of Li from the aluminosilicate minerals lepidolite (K(Li,Al)(Al,Si,Rb)O(F,OH)) and spodumene (LiAl(SiO)) was slow, with only up to 14% (approximately 12 mg/L) of Li released over 30 days. By contrast, accelerated Li leaching from a Li-bearing borosilicate clay (jadarite, LiNaBSiOOH) by over 50% (over 120 mg/L) in 21 days of leaching, and consistently enhanced Li release throughout the experiment compared to the uninoculated control. Biofilm formation and flocculation of sediment occurred exclusively in the experiments with and jadarite. Fe(II) present in the jadarite-bearing clay acted as an electron donor. Chemical leaching of Li from jadarite using H2SO4 was most effective, releasing approximately 75% (180 mg/L) of Li, but required more acid than bioleaching for pH control. Kinetic modelling was unable to replicate the data for jadarite bioleaching after primary abiotic leaching stages, suggesting additional processes beyond chemical leaching were responsible for the release of Li. A new crystalline phase, tentatively identified as boric acid, was observed to form after acid leaching of jadarite. Overall, the results demonstrate the potential for acidophilic bioleaching to recover Li from jadarite, with relevance for other Li-bearing deposits.

摘要

锂(Li)因其在向净零排放过渡所需的清洁技术中的应用而变得越来越重要。尽管嗜酸生物浸出已被用于从各种矿床中回收金属,但其回收锂的潜力尚未得到充分探索。在本研究中,我们使用一种典型的铁(II)和硫氧化细菌,氧化亚铁硫杆菌,从三种不同矿物中提取锂,并通过动力学建模预测锂释放的主要反应途径。从锂云母(K(Li,Al)(Al,Si,Rb)O(F,OH))和锂辉石(LiAl(SiO))等铝硅酸盐矿物中生物浸出锂的速度较慢,在30天内锂的释放量最高仅达14%(约12毫克/升)。相比之下,在21天的浸出过程中,氧化亚铁硫杆菌使含锂硼硅酸盐粘土(贾达尔石,LiNaBSiOOH)的锂浸出加速超过50%(超过120毫克/升),并且与未接种对照相比,在整个实验过程中持续提高了锂的释放量。生物膜形成和沉积物絮凝仅发生在使用氧化亚铁硫杆菌和贾达尔石的实验中。含贾达尔石的粘土中存在的铁(II)充当电子供体。使用硫酸从贾达尔石中化学浸出锂最为有效,释放了约75%(180毫克/升)的锂,但为控制pH值所需的酸比生物浸出更多。动力学建模无法复制初级非生物浸出阶段后贾达尔石生物浸出的数据,这表明除化学浸出外的其他过程导致了锂的释放。在对贾达尔石进行酸浸后,观察到一种新的结晶相,初步鉴定为硼酸。总体而言,结果表明嗜酸生物浸出从贾达尔石中回收锂的潜力,这与其他含锂矿床相关。

https://cdn.ncbi.nlm.nih.gov/pmc/blobs/fcd0/11622194/b707d1aea2f9/fmicb-15-1467408-g007.jpg
https://cdn.ncbi.nlm.nih.gov/pmc/blobs/fcd0/11622194/f00df8c7e2b8/fmicb-15-1467408-g001.jpg
https://cdn.ncbi.nlm.nih.gov/pmc/blobs/fcd0/11622194/bb1f6304cf0d/fmicb-15-1467408-g002.jpg
https://cdn.ncbi.nlm.nih.gov/pmc/blobs/fcd0/11622194/493a7754e09a/fmicb-15-1467408-g003.jpg
https://cdn.ncbi.nlm.nih.gov/pmc/blobs/fcd0/11622194/570398f6777c/fmicb-15-1467408-g004.jpg
https://cdn.ncbi.nlm.nih.gov/pmc/blobs/fcd0/11622194/2e0588799120/fmicb-15-1467408-g005.jpg
https://cdn.ncbi.nlm.nih.gov/pmc/blobs/fcd0/11622194/4b2e4cf5d76c/fmicb-15-1467408-g006.jpg
https://cdn.ncbi.nlm.nih.gov/pmc/blobs/fcd0/11622194/b707d1aea2f9/fmicb-15-1467408-g007.jpg
https://cdn.ncbi.nlm.nih.gov/pmc/blobs/fcd0/11622194/f00df8c7e2b8/fmicb-15-1467408-g001.jpg
https://cdn.ncbi.nlm.nih.gov/pmc/blobs/fcd0/11622194/bb1f6304cf0d/fmicb-15-1467408-g002.jpg
https://cdn.ncbi.nlm.nih.gov/pmc/blobs/fcd0/11622194/493a7754e09a/fmicb-15-1467408-g003.jpg
https://cdn.ncbi.nlm.nih.gov/pmc/blobs/fcd0/11622194/570398f6777c/fmicb-15-1467408-g004.jpg
https://cdn.ncbi.nlm.nih.gov/pmc/blobs/fcd0/11622194/2e0588799120/fmicb-15-1467408-g005.jpg
https://cdn.ncbi.nlm.nih.gov/pmc/blobs/fcd0/11622194/4b2e4cf5d76c/fmicb-15-1467408-g006.jpg
https://cdn.ncbi.nlm.nih.gov/pmc/blobs/fcd0/11622194/b707d1aea2f9/fmicb-15-1467408-g007.jpg

相似文献

1
Bioleaching of lithium from jadarite, spodumene, and lepidolite using .使用……从透锂长石、锂辉石和锂云母中生物浸出锂
Front Microbiol. 2024 Nov 13;15:1467408. doi: 10.3389/fmicb.2024.1467408. eCollection 2024.
2
Enhanced bioleaching of spent Li-ion batteries using A. ferrooxidans by application of external magnetic field.外加磁场强化嗜酸氧化亚铁硫杆菌对废旧锂离子电池的生物沥滤。
J Environ Manage. 2024 Sep;367:122012. doi: 10.1016/j.jenvman.2024.122012. Epub 2024 Aug 1.
3
Recovery of valuable metals from spent lithium-ion batteries using microbial agents for bioleaching: a review.利用微生物进行生物浸出从废旧锂离子电池中回收有价金属:综述
Front Microbiol. 2023 May 31;14:1197081. doi: 10.3389/fmicb.2023.1197081. eCollection 2023.
4
Comparison of three different bioleaching systems for Li recovery from lepidolite.从锂云母中回收锂的三种不同生物浸出系统的比较。
Sci Rep. 2020 Sep 3;10(1):14594. doi: 10.1038/s41598-020-71596-5.
5
Magnetic field-assisted bioleaching of cathode materials from spent Li-ion batteries using Acidithiobacillus ferrooxidans.利用氧化亚铁硫杆菌对废旧锂离子电池正极材料进行磁场辅助生物浸出
Chemosphere. 2025 May;376:144303. doi: 10.1016/j.chemosphere.2025.144303. Epub 2025 Mar 12.
6
Comparative evaluation of microbial and chemical leaching processes for heavy metal removal from dewatered metal plating sludge.比较脱水金属电镀污泥的微生物和化学浸出法去除重金属的效果。
J Hazard Mater. 2010 Feb 15;174(1-3):763-9. doi: 10.1016/j.jhazmat.2009.09.117. Epub 2009 Sep 30.
7
Enhanced effect of biochar on leaching vanadium and copper from stone coal tailings by Thiobacillus ferrooxidans.好的,我会将其翻译为简体中文。 生物炭增强氧化亚铁硫杆菌浸出煤矸石中钒和铜的效果。
Environ Sci Pollut Res Int. 2022 Mar;29(14):20398-20408. doi: 10.1007/s11356-021-17259-y. Epub 2021 Nov 4.
8
Improvement of Li and Mn bioleaching from spent lithium-ion batteries, using step-wise addition of biogenic sulfuric acid by .通过逐步添加生物源硫酸改善从废旧锂离子电池中生物浸出锂和锰 。 (原句表述不太完整,翻译可能会稍显生硬,建议补充完整准确的原文以便更精准翻译)
Heliyon. 2024 Sep 6;10(18):e37447. doi: 10.1016/j.heliyon.2024.e37447. eCollection 2024 Sep 30.
9
Bioleaching mechanism of Co and Li from spent lithium-ion battery by the mixed culture of acidophilic sulfur-oxidizing and iron-oxidizing bacteria.嗜酸硫氧化菌和铁氧化菌混合培养从废旧锂离子电池中生物浸出钴和锂的机制
Bioresour Technol. 2009 Dec;100(24):6163-9. doi: 10.1016/j.biortech.2009.06.086. Epub 2009 Aug 4.
10
Bioleaching performance of vanadium-bearing smelting ash by Acidithiobacillus ferrooxidans for vanadium recovery.氧化亚铁硫杆菌对含钒冶炼灰进行生物浸出以回收钒的性能
J Environ Manage. 2023 Jun 15;336:117615. doi: 10.1016/j.jenvman.2023.117615. Epub 2023 Mar 8.

引用本文的文献

1
Enhanced Leaching of Lepidolite by Acidophilic Microorganisms Under Mechanical Activation.机械活化下嗜酸微生物对锂云母的强化浸出
Microorganisms. 2025 Feb 13;13(2):415. doi: 10.3390/microorganisms13020415.

本文引用的文献

1
Real-Time Crystal Growth Monitoring of Boric Acid from Sodium or Lithium Sulfate Containing Aqueous Solutions by Atomic Force Microscopy.利用原子力显微镜实时监测从含硫酸钠或硫酸锂的水溶液中硼酸的晶体生长
ACS Omega. 2023 Mar 20;8(12):10822-10835. doi: 10.1021/acsomega.2c06953. eCollection 2023 Mar 28.
2
Progress in bioleaching: fundamentals and mechanisms of microbial metal sulfide oxidation - part A.生物浸出的进展:微生物金属硫化物氧化的基础和机理 - 第 A 部分。
Appl Microbiol Biotechnol. 2022 Nov;106(21):6933-6952. doi: 10.1007/s00253-022-12168-7. Epub 2022 Oct 4.
3
Recovery of Lithium Carbonate from Dilute Li-Rich Brine via Homogenous and Heterogeneous Precipitation.
通过均相和非均相沉淀从稀富锂卤水中回收碳酸锂
Ind Eng Chem Res. 2022 Sep 14;61(36):13589-13602. doi: 10.1021/acs.iecr.2c01397. Epub 2022 Aug 30.
4
Lithium bioleaching: An emerging approach for the recovery of Li from spent lithium ion batteries.锂的生物浸出:从废旧锂离子电池中回收锂的一种新兴方法。
Chemosphere. 2021 Aug;277:130196. doi: 10.1016/j.chemosphere.2021.130196. Epub 2021 Mar 6.
5
Toxicity of boric acid, borax and other boron containing compounds: A review.硼酸、硼砂及其他含硼化合物的毒性:综述。
Regul Toxicol Pharmacol. 2021 Apr;121:104873. doi: 10.1016/j.yrtph.2021.104873. Epub 2021 Jan 22.
6
Assessment of lithium criticality in the global energy transition and addressing policy gaps in transportation.评估全球能源转型中的锂关键度以及解决交通运输领域的政策差距。
Nat Commun. 2020 Sep 11;11(1):4570. doi: 10.1038/s41467-020-18402-y.
7
Comparison of three different bioleaching systems for Li recovery from lepidolite.从锂云母中回收锂的三种不同生物浸出系统的比较。
Sci Rep. 2020 Sep 3;10(1):14594. doi: 10.1038/s41598-020-71596-5.
8
Iron and sulfur oxidation pathways of Acidithiobacillus ferrooxidans.氧化亚铁硫杆菌的铁和硫氧化途径。
World J Microbiol Biotechnol. 2019 Mar 27;35(4):60. doi: 10.1007/s11274-019-2632-y.
9
NanoSIMS imaging of extracellular electron transport processes during microbial iron(III) reduction.利用纳米二次离子质谱成像技术研究微生物还原三价铁过程中的细胞外电子传递过程。
FEMS Microbiol Ecol. 2018 Aug 1;94(8). doi: 10.1093/femsec/fiy104.
10
Solid and liquid media for isolating and cultivating acidophilic and acid-tolerant sulfate-reducing bacteria.用于分离和培养嗜酸及耐酸硫酸盐还原菌的固体和液体培养基。
FEMS Microbiol Lett. 2016 May;363(10). doi: 10.1093/femsle/fnw083. Epub 2016 Mar 31.