Suppr超能文献

猪硬腭中正畸微螺钉的特性研究:一项实验与有限元研究

Characterizing orthodontic mini-screws in the hard palate of pigs: An experimental and finite-element study.

作者信息

Valeri Cristina, Aloisio Angelo, Quinzi Vincenzo, di Stefano Gianmarco, Marzo Giuseppe

机构信息

Department of Life, Health and Environmental Sciences, Postgraduate School of Orthodontics, Università degli Studi dell'Aquila, Via Piazzale Salvatore Tommasi 1, Abruzzo, L'Aquila 67100, Italy.

Department of Civil, Construction-Architectural and Environmental Engineering, Università degli Studi dell'Aquila, L'Aquila, 67100, Italy.

出版信息

Heliyon. 2024 Jan 22;10(3):e24952. doi: 10.1016/j.heliyon.2024.e24952. eCollection 2024 Feb 15.

Abstract

OBJECTIVE

This paper analyses the mechanical response of mini-implants under pull-out, push-in, and shear forces.

MATERIALS AND METHODS

The authors have devised a specialized testing apparatus, using a universal testing machine, for the mechanical characterisation of orthodontic mini-implants (OMI) installed in pig hard palate. The experimental investigation encompasses seven screw types, each subjected to pull-out, push-in, and shear forces. Each test was conducted three times to assess the inherent uncertainties, with three torque insertions, with a total of 189 tests. The resulting load-displacement curves provide information on the secant stiffness and ultimate capacity of the tested screws in all three loading scenarios.These findings were used to develop a 3D finite element model to assess the OMI mechanical performance.

RESULTS

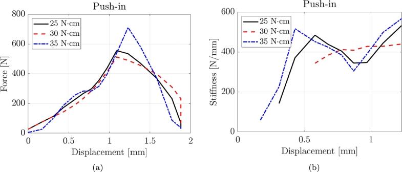
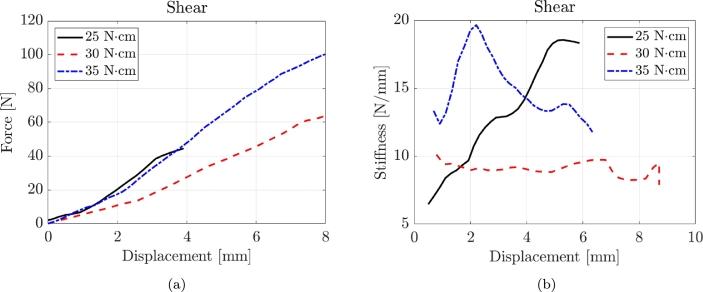
Torque is particularly influential in push-in tests for both dependent variables. At the same time, the length appears to be more critical in pull-out tests for the capacity. Diameter's influence is consistent across all tests but is especially significant for the secant stiffness in shear tests.

CONCLUSIONS

Pull-out tests displayed linear behaviour until failure, whereas push-in tests showed increasing stiffness with more significant deformation. Higher torque led to higher capacity with a minor effect on the stiffness.

CLINICAL SIGNIFICANCE

This paper provides insights into the mechanical behaviour of orthodontic mini-implants, offering guidance to orthodontic practitioners and researchers. Understanding how torque affects stability and performance under different loads informs the selection and design of mini-implants, potentially improving orthodontic treatments and patient outcomes.

摘要

目的

本文分析了微型种植体在拔出、压入和剪切力作用下的力学响应。

材料与方法

作者设计了一种专门的测试装置,利用万能材料试验机对安装在猪硬腭中的正畸微型种植体(OMI)进行力学特性表征。实验研究涵盖七种螺钉类型,每种类型均承受拔出、压入和剪切力。每项测试进行三次以评估固有不确定性,每次测试进行三次扭矩植入,总共进行189次测试。所得的载荷 - 位移曲线提供了在所有三种加载情况下测试螺钉的割线刚度和极限承载力的信息。这些结果用于建立三维有限元模型以评估OMI的力学性能。

结果

对于两个因变量,扭矩在压入测试中影响尤为显著。同时,对于承载力而言,长度在拔出测试中似乎更为关键。直径在所有测试中的影响是一致的,但在剪切测试中对割线刚度的影响尤为显著。

结论

拔出测试在失效前呈现线性行为,而压入测试显示随着变形增大刚度增加。较高的扭矩导致较高的承载力,对刚度影响较小。

临床意义

本文深入探讨了正畸微型种植体的力学行为,为正畸从业者和研究人员提供了指导。了解扭矩如何在不同载荷下影响稳定性和性能有助于微型种植体的选择和设计,可能改善正畸治疗效果和患者预后。

https://cdn.ncbi.nlm.nih.gov/pmc/blobs/7763/11637073/13dd69dd656a/gr001.jpg

文献AI研究员

20分钟写一篇综述,助力文献阅读效率提升50倍。

立即体验

用中文搜PubMed

大模型驱动的PubMed中文搜索引擎

马上搜索

文档翻译

学术文献翻译模型,支持多种主流文档格式。

立即体验