• 文献检索
  • 文档翻译
  • 深度研究
  • 学术资讯
  • Suppr Zotero 插件Zotero 插件
  • 邀请有礼
  • 套餐&价格
  • 历史记录
应用&插件
Suppr Zotero 插件Zotero 插件浏览器插件Mac 客户端Windows 客户端微信小程序
定价
高级版会员购买积分包购买API积分包
服务
文献检索文档翻译深度研究API 文档MCP 服务
关于我们
关于 Suppr公司介绍联系我们用户协议隐私条款
关注我们

Suppr 超能文献

核心技术专利:CN118964589B侵权必究
粤ICP备2023148730 号-1Suppr @ 2026

文献检索

告别复杂PubMed语法,用中文像聊天一样搜索,搜遍4000万医学文献。AI智能推荐,让科研检索更轻松。

立即免费搜索

文件翻译

保留排版,准确专业,支持PDF/Word/PPT等文件格式,支持 12+语言互译。

免费翻译文档

深度研究

AI帮你快速写综述,25分钟生成高质量综述,智能提取关键信息,辅助科研写作。

立即免费体验

一种针对肠道微生物群的自我管理半定量食物频率问卷的开发与验证:Stance4Health-FFQ

Development and Validation of a Self-Administered Semiquantitative Food Frequency Questionnaire Focused on Gut Microbiota: The Stance4Health-FFQ.

作者信息

Formisano Annarita, Russo Marika Dello, Russo Paola, Siani Alfonso, Hinojosa-Nogueira Daniel, Navajas-Porras Beatriz, Toledano-Marín Ángela, Pastoriza Silvia, Blasco Telmo, Lerma-Aguilera Alberto, Francino María Pilar, Planes Francisco Javier, González-Vigil Verónica, Rufián-Henares José Ángel, Lauria Fabio

机构信息

Institute of Food Science, National Research Council of Italy, 83100 Avellino, Italy.

Department of Precision Medicine, University of Campania "L. Vanvitelli", 80138 Naples, Italy.

出版信息

Nutrients. 2024 Nov 26;16(23):4064. doi: 10.3390/nu16234064.

DOI:10.3390/nu16234064
PMID:39683458
原文链接:https://pmc.ncbi.nlm.nih.gov/articles/PMC11643877/
Abstract

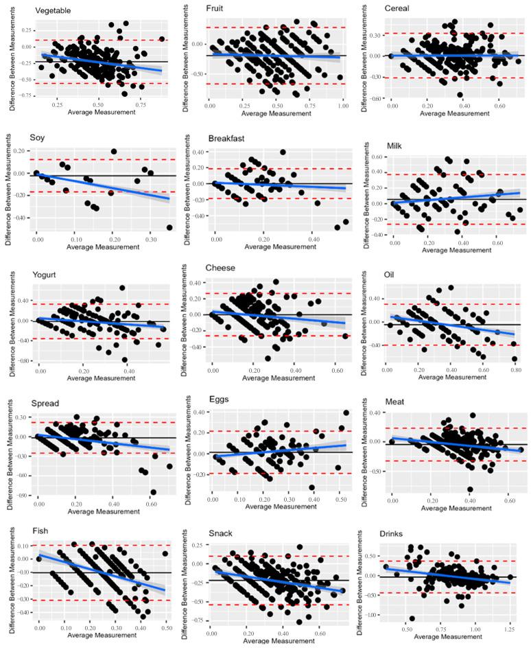
: Diet significantly influences gut microbiota (GM), with variations in GM responses linked to the type and quantity of food consumed. These variations underscore the need for personalized nutrition. The Stance4Health (S4H) project developed the S4H Food Frequency Questionnaire (S4H-FFQ) and the i-Diet S4H app to assess dietary intake of foods affecting GM. This study aimed to validate the S4H-FFQ against the validated I.Family-FFQ and the i-Diet S4H app; The S4H-FFQ, with 200 food items across 14 food groups, evaluates dietary intake over the past month. Qualitative validation compared food group consumption frequencies from the S4H-FFQ and the I.Family-FFQ, while quantitative validation assessed nutrient and energy intake using the i-Diet S4H app. The S4H-GM score, a measure of GM-relevant food consumption, was evaluated through the S4H-FFQ and i-Diet S4H app; : Pearson correlations between the S4H-FFQ and the I.Family-FFQ ranged from 0.3 to 0.7 and were statistically significant across all the food groups. Quantitative validation showed lower but consistent correlations, comparable with other studies, confirming the S4H-FFQ's ability to estimate food intake. A positive correlation was also found between the S4H-GM scores from the S4H-FFQ and the i-Diet S4H app ( < 0.001); : The S4H-FFQ is a reliable tool for assessing dietary patterns that influence GM. Its application in nutritional studies can enhance personalized nutrition and support future research aimed at optimizing GM and improving health outcomes.

摘要

饮食对肠道微生物群(GM)有显著影响,GM反应的变化与所摄入食物的类型和数量有关。这些变化凸显了个性化营养的必要性。Stance4Health(S4H)项目开发了S4H食物频率问卷(S4H-FFQ)和i-Diet S4H应用程序,以评估影响GM的食物的饮食摄入量。本研究旨在对照经过验证的I.Family-FFQ和i-Diet S4H应用程序对S4H-FFQ进行验证;S4H-FFQ涵盖14个食物组中的200种食物,评估过去一个月的饮食摄入量。定性验证比较了S4H-FFQ和I.Family-FFQ中食物组的消费频率,而定性验证则使用i-Diet S4H应用程序评估营养素和能量摄入量。通过S4H-FFQ和i-Diet S4H应用程序评估了S4H-GM评分,这是一种与GM相关食物消费的衡量指标;S4H-FFQ与I.Family-FFQ之间的Pearson相关性在0.3至0.7之间,并且在所有食物组中均具有统计学意义。定量验证显示相关性较低但一致,与其他研究相当,证实了S4H-FFQ估计食物摄入量的能力。在S4H-FFQ和i-Diet S4H应用程序的S4H-GM评分之间也发现了正相关(<0.001);S4H-FFQ是评估影响GM的饮食模式的可靠工具。它在营养研究中的应用可以增强个性化营养,并支持未来旨在优化GM和改善健康结果的研究。

https://cdn.ncbi.nlm.nih.gov/pmc/blobs/b5b0/11643877/258728cbc9cd/nutrients-16-04064-g005.jpg
https://cdn.ncbi.nlm.nih.gov/pmc/blobs/b5b0/11643877/0a042dc5ec53/nutrients-16-04064-g001.jpg
https://cdn.ncbi.nlm.nih.gov/pmc/blobs/b5b0/11643877/b0f0c9febf44/nutrients-16-04064-g002.jpg
https://cdn.ncbi.nlm.nih.gov/pmc/blobs/b5b0/11643877/ea7bd19b501e/nutrients-16-04064-g003.jpg
https://cdn.ncbi.nlm.nih.gov/pmc/blobs/b5b0/11643877/74a74ae19722/nutrients-16-04064-g004.jpg
https://cdn.ncbi.nlm.nih.gov/pmc/blobs/b5b0/11643877/258728cbc9cd/nutrients-16-04064-g005.jpg
https://cdn.ncbi.nlm.nih.gov/pmc/blobs/b5b0/11643877/0a042dc5ec53/nutrients-16-04064-g001.jpg
https://cdn.ncbi.nlm.nih.gov/pmc/blobs/b5b0/11643877/b0f0c9febf44/nutrients-16-04064-g002.jpg
https://cdn.ncbi.nlm.nih.gov/pmc/blobs/b5b0/11643877/ea7bd19b501e/nutrients-16-04064-g003.jpg
https://cdn.ncbi.nlm.nih.gov/pmc/blobs/b5b0/11643877/74a74ae19722/nutrients-16-04064-g004.jpg
https://cdn.ncbi.nlm.nih.gov/pmc/blobs/b5b0/11643877/258728cbc9cd/nutrients-16-04064-g005.jpg

相似文献

1
Development and Validation of a Self-Administered Semiquantitative Food Frequency Questionnaire Focused on Gut Microbiota: The Stance4Health-FFQ.一种针对肠道微生物群的自我管理半定量食物频率问卷的开发与验证:Stance4Health-FFQ
Nutrients. 2024 Nov 26;16(23):4064. doi: 10.3390/nu16234064.
2
Online dietary intake estimation: reproducibility and validity of the Food4Me food frequency questionnaire against a 4-day weighed food record.在线膳食摄入量估计:Food4Me食物频率问卷相对于4天称重食物记录的可重复性和有效性。
J Med Internet Res. 2014 Aug 11;16(8):e190. doi: 10.2196/jmir.3355.
3
Relative Validity and Reliability of a 1-Week, Semiquantitative Food Frequency Questionnaire for Women Participating in the Supplemental Nutrition Assistance Program.参加补充营养援助计划的女性使用一周半定量食物频率问卷的相对有效性和可靠性。
J Acad Nutr Diet. 2017 Dec;117(12):1972-1982.e2. doi: 10.1016/j.jand.2017.05.013. Epub 2017 Jun 29.
4
Reproducibility and relative validity of a food frequency questionnaire to assess dietary intake of adults living in a Mediterranean country.评估居住在一个地中海国家的成年人饮食摄入量的食物频率问卷的可重复性和相对有效性。
PLoS One. 2019 Jun 17;14(6):e0218541. doi: 10.1371/journal.pone.0218541. eCollection 2019.
5
Development and validation of a comprehensive semi-quantitative food frequency questionnaire that includes FODMAP intake and glycemic index.一种包含可发酵低聚糖、双糖、单糖和多元醇(FODMAP)摄入量及血糖生成指数的综合半定量食物频率问卷的开发与验证。
J Am Diet Assoc. 2010 Oct;110(10):1469-76. doi: 10.1016/j.jada.2010.07.011.
6
Development and validation of a quantitative food frequency questionnaire to assess dietary intake among Lebanese adults.开发和验证一种用于评估黎巴嫩成年人饮食摄入的定量食物频率问卷。
Nutr J. 2020 Jul 6;19(1):65. doi: 10.1186/s12937-020-00581-5.
7
Use of a food frequency questionnaire to assess diets of Jamaican adults: validation and correlation with biomarkers.使用食物频率问卷评估牙买加成年人的饮食:验证和与生物标志物的相关性。
Nutr J. 2011 Apr 9;10:28. doi: 10.1186/1475-2891-10-28.
8
Reproducibility and relative validity of energy and macronutrient intake of a food frequency questionnaire developed for the German part of the EPIC project. European Prospective Investigation into Cancer and Nutrition.为欧洲癌症与营养前瞻性调查(EPIC)项目德国部分所开发的食物频率问卷中能量及常量营养素摄入量的可重复性和相对效度。欧洲癌症与营养前瞻性调查。
Int J Epidemiol. 1997;26 Suppl 1:S71-81. doi: 10.1093/ije/26.suppl_1.s71.
9
Dietary Assessment in the MetaCardis Study: Development and Relative Validity of an Online Food Frequency Questionnaire.MetaCardis研究中的饮食评估:在线食物频率问卷的开发及相对效度
J Acad Nutr Diet. 2017 Jun;117(6):878-888. doi: 10.1016/j.jand.2016.10.030. Epub 2016 Dec 23.
10
The 72-Item Semi-Quantitative Food Frequency Questionnaire (72-Item SQ-FFQ) for Polish Young Adults: Reproducibility and Relative Validity.波兰青年 72 项半定量食物频率问卷(72-Item SQ-FFQ)的再现性和相对有效性。
Nutrients. 2022 Jun 29;14(13):2696. doi: 10.3390/nu14132696.

引用本文的文献

1
Dietary Exposure to Food Contaminants of Pregnant Women in Northern Spain and Possible Effects on Fetal Anthropometric Parameters.西班牙北部孕妇膳食中食品污染物的暴露情况及其对胎儿人体测量参数的潜在影响。
Toxics. 2025 May 16;13(5):399. doi: 10.3390/toxics13050399.

本文引用的文献

1
Unraveling the Gut Microbiota: Implications for Precision Nutrition and Personalized Medicine.解析肠道微生物群:对精准营养和个性化医疗的意义。
Nutrients. 2024 Nov 6;16(22):3806. doi: 10.3390/nu16223806.
2
The interplay between diet and the gut microbiome: implications for health and disease.饮食与肠道微生物组的相互作用:对健康和疾病的影响。
Nat Rev Microbiol. 2024 Nov;22(11):671-686. doi: 10.1038/s41579-024-01068-4. Epub 2024 Jul 15.
3
Effects of different foods and cooking methods on the gut microbiota: an approach.不同食物及烹饪方法对肠道微生物群的影响:一种研究方法。
Front Microbiol. 2024 Jan 8;14:1334623. doi: 10.3389/fmicb.2023.1334623. eCollection 2023.
4
Translation of nutrigenomic research for personalised and precision nutrition for cancer prevention and for cancer survivors.癌症预防和癌症生存者的个性化和精准营养的营养基因组学研究的翻译。
Redox Biol. 2023 Jun;62:102710. doi: 10.1016/j.redox.2023.102710. Epub 2023 Apr 22.
5
Stance4Health Nutritional APP: A Path to Personalized Smart Nutrition.立场健康营养 APP:个性化智能营养之路。
Nutrients. 2023 Jan 5;15(2):276. doi: 10.3390/nu15020276.
6
Personalized Diets based on the Gut Microbiome as a Target for Health Maintenance: from Current Evidence to Future Possibilities.基于肠道微生物组的个性化饮食作为维持健康的目标:从现有证据到未来的可能性。
J Microbiol Biotechnol. 2022 Dec 28;32(12):1497-1505. doi: 10.4014/jmb.2209.09050. Epub 2022 Oct 25.
7
Prediction of degradation pathways of phenolic compounds in the human gut microbiota through enzyme promiscuity methods.通过酶的多功能性方法预测人肠道微生物群中酚类化合物的降解途径。
NPJ Syst Biol Appl. 2022 Jul 12;8(1):24. doi: 10.1038/s41540-022-00234-9.
8
The Stance4Health Project: Evaluating a Smart Personalised Nutrition Service for Gut Microbiota Modulation in Normal- and Overweight Adults and Children with Obesity, Gluten-Related Disorders or Allergy/Intolerance to Cow's Milk.Stance4Health项目:评估一项针对正常体重及超重的成人和儿童(患有肥胖症、麸质相关疾病或对牛奶过敏/不耐受)的肠道微生物群调节的智能个性化营养服务。
Foods. 2022 May 19;11(10):1480. doi: 10.3390/foods11101480.
9
Microbiome Modelling Toolbox 2.0: efficient, tractable modelling of microbiome communities.微生物组建模工具箱 2.0:高效、可处理的微生物组群落建模。
Bioinformatics. 2022 Apr 12;38(8):2367-2368. doi: 10.1093/bioinformatics/btac082.
10
Development of an Unified Food Composition Database for the European Project "Stance4Health".开发一个统一的食品成分数据库,用于欧洲项目“Stance4Health”。
Nutrients. 2021 Nov 24;13(12):4206. doi: 10.3390/nu13124206.