Suppr超能文献

基于甘氨酸的[3+2]环加成反应合成含吡咯烷的多环化合物

Glycine-Based [3+2] Cycloaddition for the Synthesis of Pyrrolidine-Containing Polycyclic Compounds.

作者信息

Zhou Tieli, Zhang Xiaofeng, Zhan Desheng, Zhang Wei

机构信息

College of Food Science and Engineering, Changchun University, Changchun 130022, China.

Department of Cancer Biology, Dana-Farber Cancer Institute, Harvard University, Boston, MA 02215, USA.

出版信息

Molecules. 2024 Dec 4;29(23):5726. doi: 10.3390/molecules29235726.

Abstract

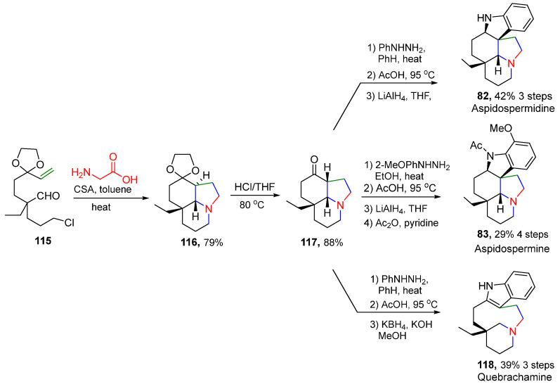
The synthesis of pyrrolidine compounds with biological interest is an active research topic. Glycine could be a versatile starting material for making pyrrolidine derivatives. This review covers recent works on glycine-based [3+2] cycloaddition and combines other annulation reactions in the one-pot synthesis of pyrrolidine-containing heterocyclic compounds. Synthetic method development, substrate scope, and reaction mechanisms are discussed. Applications of the compounds in drug discovery are briefly mentioned. This paper is helpful for chemists in the development of efficient and sustainable methods for the preparation of bioactive pyrrolidine compounds.

摘要

具有生物学意义的吡咯烷化合物的合成是一个活跃的研究课题。甘氨酸可能是制备吡咯烷衍生物的一种通用起始原料。本综述涵盖了基于甘氨酸的[3+2]环加成反应的近期研究工作,并结合了其他环化反应用于含吡咯烷杂环化合物的一锅法合成。讨论了合成方法的发展、底物范围和反应机理。简要提及了这些化合物在药物发现中的应用。本文有助于化学家开发高效且可持续的方法来制备生物活性吡咯烷化合物。

https://cdn.ncbi.nlm.nih.gov/pmc/blobs/cc06/11643519/61b155961d7b/molecules-29-05726-g001.jpg

文献检索

告别复杂PubMed语法,用中文像聊天一样搜索,搜遍4000万医学文献。AI智能推荐,让科研检索更轻松。

立即免费搜索

文件翻译

保留排版,准确专业,支持PDF/Word/PPT等文件格式,支持 12+语言互译。

免费翻译文档

深度研究

AI帮你快速写综述,25分钟生成高质量综述,智能提取关键信息,辅助科研写作。

立即免费体验