• 文献检索
  • 文档翻译
  • 深度研究
  • 学术资讯
  • Suppr Zotero 插件Zotero 插件
  • 邀请有礼
  • 套餐&价格
  • 历史记录
应用&插件
Suppr Zotero 插件Zotero 插件浏览器插件Mac 客户端Windows 客户端微信小程序
定价
高级版会员购买积分包购买API积分包
服务
文献检索文档翻译深度研究API 文档MCP 服务
关于我们
关于 Suppr公司介绍联系我们用户协议隐私条款
关注我们

Suppr 超能文献

核心技术专利:CN118964589B侵权必究
粤ICP备2023148730 号-1Suppr @ 2026

文献检索

告别复杂PubMed语法,用中文像聊天一样搜索,搜遍4000万医学文献。AI智能推荐,让科研检索更轻松。

立即免费搜索

文件翻译

保留排版,准确专业,支持PDF/Word/PPT等文件格式,支持 12+语言互译。

免费翻译文档

深度研究

AI帮你快速写综述,25分钟生成高质量综述,智能提取关键信息,辅助科研写作。

立即免费体验

德国一项关于腮腺恶性肿瘤诊断、治疗及转归的单中心8年回顾性研究。

A Retrospective 8-Year Single Institutional Study in Germany Regarding Diagnosis, Treatment, and Outcome of Malignant Parotid Tumors.

作者信息

Andrianopoulou S, Fiedler L S, Lippert B M, Bulut O C

机构信息

Department for Otorhinolaryngology, Head and Neck, Plastic Surgery, SLK Clinics, Heilbronn, Baden-Württemberg, Germany.

Medical University Heidelberg, Heidelberg, Baden-Württemberg, Germany.

出版信息

Int J Surg Oncol. 2024 Dec 9;2024:7598063. doi: 10.1155/ijso/7598063. eCollection 2024.

DOI:10.1155/ijso/7598063
PMID:39687544
原文链接:https://pmc.ncbi.nlm.nih.gov/articles/PMC11649345/
Abstract

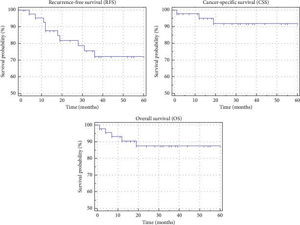
This study sought to comprehensively evaluate the diagnosis, therapeutic interventions, and outcomes of individuals afflicted with malignant parotid tumors at a tertiary care otolaryngology department in Heilbronn, Germany, spanning the years 2010-2018. The primary objective was to juxtapose this dataset with findings from analogous single and multicenter investigations. We conducted a meticulous analysis of electronic medical records pertaining to 45 patients subjected to primary parotid cancer treatment. The male-to-female ratio was 3:2, with an average age of 61 years. Predominant histological types included mucoepidermoid and squamous cell carcinomas, with ultrasound emerging as the predominant diagnostic modality (97.8% sensitivity). Intraoperative frozen sections exhibited a high level of sensitivity. Notably, lymph node metastasis was prevalent in T3 tumors, frequently located intraparotid and at Neck level II. Solely one patient exhibited distant metastases (pulmonary). All patients underwent parotidectomy, and 29% necessitated a secondary procedure due to positive resection margins. Postoperative complications encompassed facial nerve palsy, seromas, and salivary fistulas. Adjuvant radiotherapy (38%) was recommended for high-grade tumors, T3/T4 stage, N+, perineural invasion (PNI), and positive or uncertain surgical margins. Neck dissection was executed in 67% of instances, with 20% revealing occult lymph node metastases. Recurrence manifested in 22% of patients, primarily as locoregional recurrence (80%) and distant metastases (20%). The 3-year recurrence-free survival (RFS), cancer-specific survival (CSS), and overall survival (OS) rates stood at 72.1%, 91.9%, and 87.5%, respectively. Noteworthy factors influencing RFS included preoperative facial palsy, T stage, resection margins, and PNI. In summary, the management of parotid cancer involving surgical interventions, neck dissection, and radiotherapy in high-risk patients yielded commendable outcomes with minimal complications, showcasing survival rates exceeding 70%. Timely diagnosis at an early stage is imperative for achieving tumor-free margins and enhancing survival rates. More assertive therapeutic strategies are advocated for cases presenting with preoperative facial nerve palsy and PNI.

摘要

本研究旨在全面评估2010年至2018年期间德国海尔布隆一家三级护理耳鼻喉科中患有腮腺恶性肿瘤患者的诊断、治疗干预措施及治疗结果。主要目的是将该数据集与类似的单中心和多中心研究结果进行对比。我们对45例接受原发性腮腺癌治疗患者的电子病历进行了细致分析。男女比例为3:2,平均年龄为61岁。主要组织学类型包括黏液表皮样癌和鳞状细胞癌,超声是主要的诊断方式(敏感性为97.8%)。术中冰冻切片显示出较高的敏感性。值得注意的是,T3期肿瘤中淋巴结转移较为常见,常位于腮腺内和颈部II区。仅1例患者出现远处转移(肺部)。所有患者均接受了腮腺切除术,29%的患者因手术切缘阳性而需要二次手术。术后并发症包括面神经麻痹、血清肿和涎瘘。对于高级别肿瘤、T3/T4期、N+、神经周围浸润(PNI)以及手术切缘阳性或不确定的患者,建议进行辅助放疗(38%)。67%的病例进行了颈部清扫,其中20%发现隐匿性淋巴结转移。22%的患者出现复发,主要为局部区域复发(80%)和远处转移(20%)。3年无复发生存率(RFS)、癌症特异性生存率(CSS)和总生存率(OS)分别为72.1%、91.9%和87.5%。影响RFS的显著因素包括术前面神经麻痹、T分期、手术切缘和PNI。总之,对腮腺癌患者进行手术干预、颈部清扫以及对高危患者进行放疗,并发症极少,取得了值得称赞的结果,生存率超过70%。早期及时诊断对于实现无瘤切缘和提高生存率至关重要。对于术前出现面神经麻痹和PNI的病例,提倡采取更积极的治疗策略。

https://cdn.ncbi.nlm.nih.gov/pmc/blobs/6ec5/11649345/2ff5380f4428/IJSO2024-7598063.003.jpg
https://cdn.ncbi.nlm.nih.gov/pmc/blobs/6ec5/11649345/181f5d106ea1/IJSO2024-7598063.001.jpg
https://cdn.ncbi.nlm.nih.gov/pmc/blobs/6ec5/11649345/dec4e362e15c/IJSO2024-7598063.002.jpg
https://cdn.ncbi.nlm.nih.gov/pmc/blobs/6ec5/11649345/2ff5380f4428/IJSO2024-7598063.003.jpg
https://cdn.ncbi.nlm.nih.gov/pmc/blobs/6ec5/11649345/181f5d106ea1/IJSO2024-7598063.001.jpg
https://cdn.ncbi.nlm.nih.gov/pmc/blobs/6ec5/11649345/dec4e362e15c/IJSO2024-7598063.002.jpg
https://cdn.ncbi.nlm.nih.gov/pmc/blobs/6ec5/11649345/2ff5380f4428/IJSO2024-7598063.003.jpg

相似文献

1
A Retrospective 8-Year Single Institutional Study in Germany Regarding Diagnosis, Treatment, and Outcome of Malignant Parotid Tumors.德国一项关于腮腺恶性肿瘤诊断、治疗及转归的单中心8年回顾性研究。
Int J Surg Oncol. 2024 Dec 9;2024:7598063. doi: 10.1155/ijso/7598063. eCollection 2024.
2
Patterns of lymph node metastasis of parotid cancer.腮腺癌的淋巴结转移模式。
Auris Nasus Larynx. 2016 Aug;43(4):446-50. doi: 10.1016/j.anl.2015.11.002. Epub 2015 Dec 4.
3
Long-term outcomes and quality of life of 186 patients with primary parotid carcinoma treated with surgery and radiotherapy at the Daniel den Hoed Cancer Center.丹尼尔·丹霍德癌症中心 186 例原发性腮腺癌患者手术联合放疗的长期疗效及生活质量。
Int J Radiat Oncol Biol Phys. 2012 Sep 1;84(1):189-95. doi: 10.1016/j.ijrobp.2011.11.045. Epub 2012 Feb 11.
4
Mucoepidermoid carcinoma of the parotid gland: the Mayo clinic experience.腮腺黏液表皮样癌:梅奥诊所的经验
Arch Otolaryngol Head Neck Surg. 2004 Jul;130(7):849-56. doi: 10.1001/archotol.130.7.849.
5
Clinical outcomes of bulky parotid gland cancers: need for self-examination and screening program for early diagnosis of parotid tumors.大涎腺腺癌的临床疗效:需要进行自我检查和筛查计划,以实现涎腺肿瘤的早期诊断。
BMC Cancer. 2021 Feb 18;21(1):178. doi: 10.1186/s12885-021-07902-9.
6
Elective nodal dissection for cN0 intermediate-grade parotid mucoepidermoid carcinoma: A NCDB study.NCDB 研究:cN0 中等级别腮腺黏液表皮样癌选择性淋巴结清扫术。
Am J Otolaryngol. 2024 May-Jun;45(3):104214. doi: 10.1016/j.amjoto.2023.104214. Epub 2024 Jan 6.
7
[Carcinoma of the external auditory canal and middle ear: therapeutic strategy and follow up].[外耳道及中耳癌:治疗策略与随访]
Laryngorhinootologie. 2004 Dec;83(12):818-23. doi: 10.1055/s-2004-825804.
8
Conservative parotidectomy for the treatment of parotid cancers.保守性腮腺切除术治疗腮腺癌。
Oral Oncol. 2005 Nov;41(10):1021-7. doi: 10.1016/j.oraloncology.2005.06.004. Epub 2005 Aug 29.
9
Mucoepidermoid carcinoma of the parotid gland treated by surgery and postoperative radiation therapy: clinicopathologic correlates of outcome.腮腺黏液表皮样癌经手术和术后放射治疗:结局的临床病理相关性。
Laryngoscope. 2013 Dec;123(12):3049-55. doi: 10.1002/lary.24238. Epub 2013 Aug 8.
10
The Number of Positive Lymph Nodes Instead of Extranodal Extension and Nodal Diameter is an Independent Predictor of Survival and Treatment Outcome of High-Grade Parotid Gland Carcinoma.阳性淋巴结数量而非结外侵犯和淋巴结直径是高级腮腺腺癌生存和治疗结果的独立预测因子。
J Oral Maxillofac Surg. 2024 Nov;82(11):1456-1474. doi: 10.1016/j.joms.2024.06.179. Epub 2024 Jun 29.

引用本文的文献

1
Value Analysis of Preoperative Peripheral Blood Markers in the Identification of Benign From Malignant Parotid Gland Tumors.术前外周血标志物在腮腺良恶性肿瘤鉴别诊断中的价值分析
Int Dent J. 2025 Jun 13;75(4):100854. doi: 10.1016/j.identj.2025.100854.

本文引用的文献

1
Incidence of postoperative facial weakness in parotid tumor surgery: a tumor subsite analysis of 794 parotidectomies.腮腺肿瘤手术术后面部神经麻痹的发生率:794例腮腺切除术的肿瘤亚部位分析
BMC Surg. 2019 Dec 26;19(1):199. doi: 10.1186/s12893-019-0666-6.
2
Utility of neck dissection for management of carcinoma of the parotid gland.颈清扫术在腮腺癌治疗中的应用
Br J Oral Maxillofac Surg. 2019 Dec;57(10):1039-1043. doi: 10.1016/j.bjoms.2019.09.002. Epub 2019 Sep 26.
3
The diagnostic role of ultrasonography, computed tomography, magnetic resonance imaging, positron emission tomography/computed tomography, and real-time elastography in the differentiation of benign and malignant salivary gland tumors: a meta-analysis.
超声、计算机断层扫描、磁共振成像、正电子发射断层扫描/计算机断层扫描和实时弹性成像在鉴别涎腺良恶性肿瘤中的诊断作用:荟萃分析。
Oral Surg Oral Med Oral Pathol Oral Radiol. 2019 Oct;128(4):431-443.e1. doi: 10.1016/j.oooo.2019.06.014. Epub 2019 Jun 27.
4
Salivary gland carcinoma in Shanghai (2003-2012): an epidemiological study of incidence, site and pathology.上海唾液腺癌(2003-2012 年):发病率、部位和病理的流行病学研究。
BMC Cancer. 2019 Apr 11;19(1):350. doi: 10.1186/s12885-019-5564-x.
5
Patterns of lymph node metastasis and the management of neck dissection for parotid carcinomas: a single-institute experience.腮腺癌的淋巴结转移模式和颈淋巴结清扫术的处理:单中心经验。
Int J Clin Oncol. 2019 Jun;24(6):624-631. doi: 10.1007/s10147-019-01411-3. Epub 2019 Feb 9.
6
Salivary gland tumors in a Brazilian population: A 20-year retrospective and multicentric study of 2292 cases.巴西人群唾液腺肿瘤:2292 例 20 年回顾性和多中心研究。
J Craniomaxillofac Surg. 2018 Dec;46(12):2227-2233. doi: 10.1016/j.jcms.2018.09.028. Epub 2018 Sep 26.
7
Histological Subtypes and Clinical Behavior Evaluation of Salivary Gland Tumors.唾液腺肿瘤的组织学亚型及临床行为评估
Acta Med Port. 2018 Nov 30;31(11):641-647. doi: 10.20344/amp.9023.
8
Elective Management of the Neck in Parotid Tumours.腮腺肿瘤的择期颈部管理。
Clin Oncol (R Coll Radiol). 2018 Dec;30(12):764-772. doi: 10.1016/j.clon.2018.08.017. Epub 2018 Sep 13.
9
Close surgical margin after conservative parotidectomy in early stage low-/intermediate-grade parotid carcinoma: Outcome of watch and wait policy.早期低/中级别腮腺癌行保守性腮腺切除术后切缘阳性:观察等待策略的结果
Oral Oncol. 2017 May;68:1-4. doi: 10.1016/j.oraloncology.2017.03.001. Epub 2017 Mar 10.
10
Surgical treatment of salivary malignant tumors.唾液腺恶性肿瘤的外科治疗
Oral Oncol. 2017 Feb;65:102-113. doi: 10.1016/j.oraloncology.2016.12.007. Epub 2016 Dec 22.