• 文献检索
  • 文档翻译
  • 深度研究
  • 学术资讯
  • Suppr Zotero 插件Zotero 插件
  • 邀请有礼
  • 套餐&价格
  • 历史记录
应用&插件
Suppr Zotero 插件Zotero 插件浏览器插件Mac 客户端Windows 客户端微信小程序
定价
高级版会员购买积分包购买API积分包
服务
文献检索文档翻译深度研究API 文档MCP 服务
关于我们
关于 Suppr公司介绍联系我们用户协议隐私条款
关注我们

Suppr 超能文献

核心技术专利:CN118964589B侵权必究
粤ICP备2023148730 号-1Suppr @ 2026

文献检索

告别复杂PubMed语法,用中文像聊天一样搜索,搜遍4000万医学文献。AI智能推荐,让科研检索更轻松。

立即免费搜索

文件翻译

保留排版,准确专业,支持PDF/Word/PPT等文件格式,支持 12+语言互译。

免费翻译文档

深度研究

AI帮你快速写综述,25分钟生成高质量综述,智能提取关键信息,辅助科研写作。

立即免费体验

基于智能手机应用程序的慢性阻塞性肺疾病肺康复:一项多中心随机对照试验。

Smartphone application-based pulmonary rehabilitation in COPD: a multicentre randomised controlled trial.

作者信息

Gloeckl Rainer, Spielmanns Marc, Stankeviciene Asta, Plidschun Anne, Kroll Daniela, Jarosch Inga, Schneeberger Tessa, Ulm Bernhard, Vogelmeier Claus F, Koczulla Andreas Rembert

机构信息

Institute for Pulmonary Rehabilitation Research, Schön Klinik Berchtesgadener Land, Schönau am Königssee, Germany

Department of Pulmonary Rehabilitation, German Center for Lung Research (DZL), Philipps-University, Marburg, Germany.

出版信息

Thorax. 2025 Mar 18;80(4):209-217. doi: 10.1136/thorax-2024-221803.

DOI:10.1136/thorax-2024-221803
PMID:39706685
原文链接:https://pmc.ncbi.nlm.nih.gov/articles/PMC12015043/
Abstract

BACKGROUND

Pulmonary rehabilitation (PR) is an essential element of chronic obstructive pulmonary disease (COPD) management. However, access to conventional face-to-face PR programmes is limited.

METHODS

This multicentre, randomised controlled trial recruited patients with COPD from 18 sites in Germany and Switzerland, aiming to evaluate the impact of 12 weeks of a mobile app (intervention group; IVG) on quality of life, measured by COPD Assessment Test (CAT), and exercise capacity, assessed by 1-minute-sit-to-stand-test (1MSTST), compared with a control group (CTG) receiving 'enhanced standard-of-care'.

RESULTS

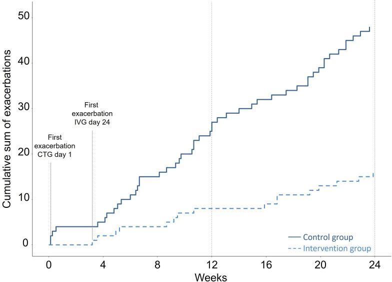
278 patients were included in the study with a median age of 65 years (IQR 60-70) and forced expiratory volume in 1 s 48% predicted (IQR 37-60). In the intention-to-treat analysis at week 12, CAT improved from baseline by median -4 points versus -3 points in the IVG versus CTG groups, respectively (difference: 0 points (95% CI: -1, 2); p=0.7); 1MSTST improved by 1 vs 2 repetitions, respectively (difference: 1 repetition (95% CI: 0, 2); p=0.12)). In a subset of the IVG, with patients grouped by application adherence (≥3 days/week for≥75% of the weeks), adherent users (40.4%) improved 1MSTST versus non-adherent users by median 2 repetitions (95% CI: 1, 3]; p=0.006. Application use did not raise any safety concerns.

CONCLUSIONS

Application-based PR improved outcomes in COPD compared with baseline, and adherent users improved exercise capacity more compared with non-adherent users. Although not statistically significant compared with enhanced standard-of-care, this study may support the use of this application for COPD management and addresses the healthcare challenge of access to PR interventions.

TRIAL REGISTRATION NUMBER

DRKS 00024390.

摘要

背景

肺康复(PR)是慢性阻塞性肺疾病(COPD)管理的重要组成部分。然而,获得传统的面对面PR项目的机会有限。

方法

这项多中心随机对照试验从德国和瑞士的18个地点招募了COPD患者,旨在评估一款移动应用程序(干预组;IVG)为期12周对生活质量(通过COPD评估测试(CAT)测量)和运动能力(通过1分钟坐立试验(1MSTST)评估)的影响,并与接受“强化标准治疗”的对照组(CTG)进行比较。

结果

278名患者纳入研究,中位年龄65岁(四分位间距60 - 70),第1秒用力呼气量为预计值的48%(四分位间距37 - 60)。在第12周的意向性分析中,IVG组和CTG组的CAT分别较基线改善中位数 -4分和 -3分(差异:0分(95%置信区间:-1, 2);p = 0.7);1MSTST分别改善1次和2次重复(差异:1次重复(95%置信区间:0, 2);p = 0.12)。在IVG的一个亚组中,根据应用程序依从性(≥75%的周数中每周≥3天)对患者进行分组,依从性使用者(40.4%)的1MSTST较非依从性使用者改善中位数2次重复(95%置信区间:1, 3];p = 0.006)。应用程序的使用未引发任何安全问题。

结论

与基线相比,基于应用程序的PR改善了COPD的结局,依从性使用者较非依从性使用者运动能力改善更多。尽管与强化标准治疗相比无统计学显著差异,但本研究可能支持将该应用程序用于COPD管理,并应对获得PR干预措施的医疗挑战。

试验注册号

DRKS 00024390。

https://cdn.ncbi.nlm.nih.gov/pmc/blobs/8778/12015043/5880223aa6a2/thorax-80-4-g004.jpg
https://cdn.ncbi.nlm.nih.gov/pmc/blobs/8778/12015043/97964f90d36a/thorax-80-4-g001.jpg
https://cdn.ncbi.nlm.nih.gov/pmc/blobs/8778/12015043/c2e1e5083b23/thorax-80-4-g002.jpg
https://cdn.ncbi.nlm.nih.gov/pmc/blobs/8778/12015043/32182c0c8cdb/thorax-80-4-g003.jpg
https://cdn.ncbi.nlm.nih.gov/pmc/blobs/8778/12015043/5880223aa6a2/thorax-80-4-g004.jpg
https://cdn.ncbi.nlm.nih.gov/pmc/blobs/8778/12015043/97964f90d36a/thorax-80-4-g001.jpg
https://cdn.ncbi.nlm.nih.gov/pmc/blobs/8778/12015043/c2e1e5083b23/thorax-80-4-g002.jpg
https://cdn.ncbi.nlm.nih.gov/pmc/blobs/8778/12015043/32182c0c8cdb/thorax-80-4-g003.jpg
https://cdn.ncbi.nlm.nih.gov/pmc/blobs/8778/12015043/5880223aa6a2/thorax-80-4-g004.jpg

相似文献

1
Smartphone application-based pulmonary rehabilitation in COPD: a multicentre randomised controlled trial.基于智能手机应用程序的慢性阻塞性肺疾病肺康复:一项多中心随机对照试验。
Thorax. 2025 Mar 18;80(4):209-217. doi: 10.1136/thorax-2024-221803.
2
Pulmonary rehabilitation for chronic obstructive pulmonary disease.慢性阻塞性肺疾病的肺康复治疗
Cochrane Database Syst Rev. 2015 Feb 23;2015(2):CD003793. doi: 10.1002/14651858.CD003793.pub3.
3
Computer and mobile technology interventions for self-management in chronic obstructive pulmonary disease.用于慢性阻塞性肺疾病自我管理的计算机和移动技术干预措施。
Cochrane Database Syst Rev. 2017 May 23;5(5):CD011425. doi: 10.1002/14651858.CD011425.pub2.
4
Pulmonary rehabilitation following exacerbations of chronic obstructive pulmonary disease.慢性阻塞性肺疾病急性加重后的肺康复治疗。
Cochrane Database Syst Rev. 2016 Dec 8;12(12):CD005305. doi: 10.1002/14651858.CD005305.pub4.
5
Evaluation of a Novel eHealth Tool for Pulmonary Rehabilitation in People With Chronic Obstructive Pulmonary Disease: Randomized Controlled Pilot and Feasibility Trial.一种用于慢性阻塞性肺疾病患者肺康复的新型电子健康工具的评估:随机对照试点及可行性试验。
JMIR Form Res. 2025 Jun 23;9:e68195. doi: 10.2196/68195.
6
Supervised maintenance programmes following pulmonary rehabilitation compared to usual care for chronic obstructive pulmonary disease.慢性阻塞性肺疾病肺康复后接受监督维护方案与常规护理的比较。
Cochrane Database Syst Rev. 2021 Aug 17;8(8):CD013569. doi: 10.1002/14651858.CD013569.pub2.
7
Smartphone App-Guided Pulmonary Rehabilitation in Chronic Respiratory Diseases: Randomized Controlled Trial.智能手机应用程序引导的慢性呼吸道疾病肺康复:随机对照试验。
JMIR Mhealth Uhealth. 2025 Aug 25;13:e64884. doi: 10.2196/64884.
8
Clinical Efficacy of Mobile App-Based, Self-Directed Pulmonary Rehabilitation for Patients With Chronic Obstructive Pulmonary Disease: Systematic Review and Meta-Analysis.基于移动应用程序的自我导向性肺康复对慢性阻塞性肺疾病患者的临床疗效:系统评价和荟萃分析。
JMIR Mhealth Uhealth. 2024 Jan 4;12:e41753. doi: 10.2196/41753.
9
Self-management interventions including action plans for exacerbations versus usual care in patients with chronic obstructive pulmonary disease.慢性阻塞性肺疾病患者自我管理干预措施(包括针对病情加重的行动计划)与常规护理的比较。
Cochrane Database Syst Rev. 2017 Aug 4;8(8):CD011682. doi: 10.1002/14651858.CD011682.pub2.
10
Interventions to improve adherence to pharmacological therapy for chronic obstructive pulmonary disease (COPD).干预措施以提高慢性阻塞性肺疾病(COPD)药物治疗的依从性。
Cochrane Database Syst Rev. 2021 Sep 8;9(9):CD013381. doi: 10.1002/14651858.CD013381.pub2.

引用本文的文献

1
Effects of a 12-week physiotherapist-supervised home-based rehabilitation program on the functional exercise capacity in people with systemic sclerosis.一项为期12周、由物理治疗师监督的居家康复计划对系统性硬化症患者功能锻炼能力的影响。
J Scleroderma Relat Disord. 2025 Jul 28:23971983251360912. doi: 10.1177/23971983251360912.
2
Optimizing Treatment for Hospitalized Patients with COPD: A Study on the Impact of a LINE App-Based Multidisciplinary Team Approach Targeting Pharmacological Treatment, Lifestyle Changes, and Smoking Cessation.优化慢性阻塞性肺疾病住院患者的治疗:一项关于基于LINE应用程序的多学科团队方法对药物治疗、生活方式改变和戒烟影响的研究
Int J Chron Obstruct Pulmon Dis. 2025 Apr 18;20:1149-1159. doi: 10.2147/COPD.S511869. eCollection 2025.

本文引用的文献

1
Efficacy of Digital Therapeutics for Pulmonary Rehabilitation: A Multi-Center, Randomized Controlled Trial.数字疗法用于肺康复的疗效:一项多中心随机对照试验
Life (Basel). 2024 Apr 3;14(4):469. doi: 10.3390/life14040469.
2
Clinical Efficacy of Mobile App-Based, Self-Directed Pulmonary Rehabilitation for Patients With Chronic Obstructive Pulmonary Disease: Systematic Review and Meta-Analysis.基于移动应用程序的自我导向性肺康复对慢性阻塞性肺疾病患者的临床疗效:系统评价和荟萃分析。
JMIR Mhealth Uhealth. 2024 Jan 4;12:e41753. doi: 10.2196/41753.
3
Long-term Telerehabilitation or Unsupervised Training at Home for Patients with Chronic Obstructive Pulmonary Disease: A Randomized Controlled Trial.
长期远程康复或家庭自主训练治疗慢性阻塞性肺疾病患者的随机对照试验。
Am J Respir Crit Care Med. 2023 Apr 1;207(7):865-875. doi: 10.1164/rccm.202204-0643OC.
4
Effectiveness of a Long-term Home-Based Exercise Training Program in Patients With COPD After Pulmonary Rehabilitation: A Multicenter Randomized Controlled Trial.长期家庭运动训练计划对慢性阻塞性肺疾病患者肺康复后的有效性:一项多中心随机对照试验。
Chest. 2022 Dec;162(6):1277-1286. doi: 10.1016/j.chest.2022.07.026. Epub 2022 Aug 8.
5
Using a smartphone application maintains physical activity following pulmonary rehabilitation in patients with COPD: a randomised controlled trial.使用智能手机应用程序维持 COPD 患者肺康复后的体力活动:一项随机对照试验。
Thorax. 2023 May;78(5):442-450. doi: 10.1136/thoraxjnl-2021-218338. Epub 2022 Apr 21.
6
Intra- and Inter-Rater Reproducibility of the Face-to-Face and Tele-Assessment of Timed-up and Go and 5-Times Sit-to-Stand Tests in Patients with Chronic Obstructive Pulmonary Disease.面对面和远程评估慢性阻塞性肺疾病患者计时起立行走和五次坐立站起测试的组内和组间重现性。
COPD. 2022;19(1):125-132. doi: 10.1080/15412555.2022.2038119.
7
An Evaluation of Factors That Influence Referral to Pulmonary Rehabilitation Programs Among People With COPD.COPD 患者转诊至肺康复计划的影响因素评估。
Chest. 2022 Jul;162(1):82-91. doi: 10.1016/j.chest.2022.01.006. Epub 2022 Jan 12.
8
Nationwide implementation of the self-management program "Living well with COPD": Process and effectiveness evaluation using a mixed-methods approach.全国范围内实施自我管理计划“慢阻肺患者的美好生活”:采用混合方法评估过程和效果。
Patient Educ Couns. 2022 Mar;105(3):670-678. doi: 10.1016/j.pec.2021.06.018. Epub 2021 Jun 18.
9
Defining Modern Pulmonary Rehabilitation. An Official American Thoracic Society Workshop Report.定义现代肺康复。美国胸科学会官方研讨会报告。
Ann Am Thorac Soc. 2021 May;18(5):e12-e29. doi: 10.1513/AnnalsATS.202102-146ST.
10
Development of Respercise® a Digital Application for Standardizing Home Exercise in COPD Clinical Trials.Respercise®的开发——一种用于慢性阻塞性肺疾病临床试验中家庭锻炼标准化的数字应用程序。
Chronic Obstr Pulm Dis. 2021 Apr 27;8(2):269-276. doi: 10.15326/jcopdf.2020.0194.