• 文献检索
  • 文档翻译
  • 深度研究
  • 学术资讯
  • Suppr Zotero 插件Zotero 插件
  • 邀请有礼
  • 套餐&价格
  • 历史记录
应用&插件
Suppr Zotero 插件Zotero 插件浏览器插件Mac 客户端Windows 客户端微信小程序
定价
高级版会员购买积分包购买API积分包
服务
文献检索文档翻译深度研究API 文档MCP 服务
关于我们
关于 Suppr公司介绍联系我们用户协议隐私条款
关注我们

Suppr 超能文献

核心技术专利:CN118964589B侵权必究
粤ICP备2023148730 号-1Suppr @ 2026

文献检索

告别复杂PubMed语法,用中文像聊天一样搜索,搜遍4000万医学文献。AI智能推荐,让科研检索更轻松。

立即免费搜索

文件翻译

保留排版,准确专业,支持PDF/Word/PPT等文件格式,支持 12+语言互译。

免费翻译文档

深度研究

AI帮你快速写综述,25分钟生成高质量综述,智能提取关键信息,辅助科研写作。

立即免费体验

银屑病患者在难治疗部位的真菌定植患病率:阿普米拉斯对真菌负荷和临床结局的影响。

Prevalence of fungal colonization among patients with psoriasis in difficult-to-treat areas: impact of apremilast on mycotic burden and clinical outcomes.

作者信息

Campione Elena, Cosio Terenzio, Pistoia Enrico Salvatore, Artosi Fabio, Shumack Ruslana Gaeta, Borselli Cristiana, Rivieccio Antonia, Caputo Valerio, Favaro Marco, Sorge Roberto, Pica Francesca, Bianchi Luca, Gaziano Roberta

机构信息

Dermatologic Unit, Department of Systems Medicine, University of Rome Tor Vergata, Rome, Italy.

Department of Experimental Medicine, University of Rome "Tor Vergata", Rome, Italy.

出版信息

Front Immunol. 2024 Dec 10;15:1508489. doi: 10.3389/fimmu.2024.1508489. eCollection 2024.

DOI:10.3389/fimmu.2024.1508489
PMID:39720714
原文链接:https://pmc.ncbi.nlm.nih.gov/articles/PMC11666449/
Abstract

INTRODUCTION

Fungi, including , may be a trigger or exacerbate psoriasis, especially in difficult to treat (DTT) areas, through the activation of IL-17/23 axis.

METHODS

In this study, seventy patients with DDT psoriasis were enrolled to evaluate species and/or other opportunistic fungi colonization rate at baseline (T0) and the impact of apremilast on fungal load, clinical outcome, serum cytokine levels and biochemical serum profile of patients after 16, 24 and 52 weeks of treatment.

RESULTS

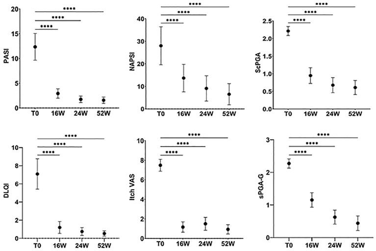
In our population, 33 (47%) patients were colonized by spp. at baseline. In 24 (34%) individuals was detected in the oral cavity while in the remaining 9 (13%) individuals the fungus was isolated from stool samples. Twenty subjects were colonized by only the species , whereas in the remaining 13 a combination of two or more species ( plus non- strains) was found in the oral cavity. Moreover, 27 (39%) patients were affected by onychomycosis. At 52 weeks, apremilast treatment induced a full recovery from colonization in 83% of patients colonized with a single species of (); while in those co-infected by two or more spp. induced a significant reduction (colony counts >10 CFU/mL) in fungal load was observed in comparison to baseline. Among patients with onychomycosis, 78% (21/27) of them presented a complete clinical resolution of nail psoriasis and concomitant nail infections. Finally, improvements in clinical scores i.e., PASI, NAPSI, DLQI, itch VAS, PAIN VAS, scPGA and sPGA-G and biochemical serum profile, as well as a significant decrease in serum IL-17A, TGF-β 1 and IL-10 levels (from 8.51 to 4.16 pg/mL; from 66.10 to 48.70 ng/mL and from 20.05 to 14 pg/mL, respectively) were observed in all patients.

CONCLUSIONS

Fungi may play a role in the psoriasis pathogenesis. Apremilast has been shown to ameliorate psoriasis signs and symptoms and counteract fungal overgrowth, probably by dampening inflammation, triggered by the fungal infections themselves. Thus, apremilast may represent an effective therapeutic approach in the treatment of DTT psoriasis and modulate the fungal colonization.

摘要

引言

包括[具体真菌名称未给出]在内的真菌,可能通过激活白细胞介素-17/23轴引发或加重银屑病,尤其是在难治性(DTT)区域。

方法

在本研究中,纳入了70例DTT银屑病患者,以评估基线(T0)时[具体真菌名称未给出]物种和/或其他机会性真菌的定植率,以及阿普米拉斯在治疗16、24和52周后对患者真菌负荷、临床结局、血清细胞因子水平和生化血清指标的影响。

结果

在我们的研究人群中,33例(47%)患者在基线时被[具体真菌名称未给出]物种定植。在24例(34%)个体的口腔中检测到了[具体真菌名称未给出],而在其余9例(13%)个体中,该真菌是从粪便样本中分离出来的。20例受试者仅被[具体真菌名称未给出]物种定植,而在其余13例中,在口腔中发现了两种或更多物种([具体真菌名称未给出]加上非[具体真菌名称未给出]菌株)的组合。此外,27例(39%)患者患有甲癣。在52周时,阿普米拉斯治疗使83%的仅被单一[具体真菌名称未给出]物种([具体真菌名称未给出])定植的患者的[具体真菌名称未给出]定植完全恢复;而在那些被两种或更多[具体真菌名称未给出]物种共同感染的患者中,与基线相比,真菌负荷显著降低(菌落计数>10 CFU/mL)。在患有甲癣的患者中,78%(21/27)的患者甲银屑病和伴随的指甲感染实现了完全临床缓解。最后,在所有患者中均观察到临床评分即银屑病面积和严重程度指数(PASI)、指甲银屑病严重程度指数(NAPSI)、皮肤病生活质量指数(DLQI)、瘙痒视觉模拟评分(itch VAS)、疼痛视觉模拟评分(PAIN VAS)、静态医师全面评估(scPGA)和静态医师全球评估-改善(sPGA-G)以及生化血清指标有所改善,血清白细胞介素-17A、转化生长因子-β1和白细胞介素-10水平也显著降低(分别从8.51降至4.16 pg/mL;从66.10降至48.70 ng/mL和从20.05降至14 pg/mL)。

结论

真菌可能在银屑病发病机制中起作用。已证明阿普米拉斯可改善银屑病的体征和症状,并对抗真菌过度生长,可能是通过抑制由真菌感染本身引发的炎症。因此,阿普米拉斯可能是治疗DTT银屑病的一种有效治疗方法,并可调节真菌定植。

https://cdn.ncbi.nlm.nih.gov/pmc/blobs/d43b/11666449/f4bf6468aaef/fimmu-15-1508489-g007.jpg
https://cdn.ncbi.nlm.nih.gov/pmc/blobs/d43b/11666449/acf028865d96/fimmu-15-1508489-g001.jpg
https://cdn.ncbi.nlm.nih.gov/pmc/blobs/d43b/11666449/b00251b75606/fimmu-15-1508489-g002.jpg
https://cdn.ncbi.nlm.nih.gov/pmc/blobs/d43b/11666449/5f1a08b8b3d3/fimmu-15-1508489-g003.jpg
https://cdn.ncbi.nlm.nih.gov/pmc/blobs/d43b/11666449/9c97ab7d69f8/fimmu-15-1508489-g004.jpg
https://cdn.ncbi.nlm.nih.gov/pmc/blobs/d43b/11666449/97301696807d/fimmu-15-1508489-g005.jpg
https://cdn.ncbi.nlm.nih.gov/pmc/blobs/d43b/11666449/018d53fd8cc2/fimmu-15-1508489-g006.jpg
https://cdn.ncbi.nlm.nih.gov/pmc/blobs/d43b/11666449/f4bf6468aaef/fimmu-15-1508489-g007.jpg
https://cdn.ncbi.nlm.nih.gov/pmc/blobs/d43b/11666449/acf028865d96/fimmu-15-1508489-g001.jpg
https://cdn.ncbi.nlm.nih.gov/pmc/blobs/d43b/11666449/b00251b75606/fimmu-15-1508489-g002.jpg
https://cdn.ncbi.nlm.nih.gov/pmc/blobs/d43b/11666449/5f1a08b8b3d3/fimmu-15-1508489-g003.jpg
https://cdn.ncbi.nlm.nih.gov/pmc/blobs/d43b/11666449/9c97ab7d69f8/fimmu-15-1508489-g004.jpg
https://cdn.ncbi.nlm.nih.gov/pmc/blobs/d43b/11666449/97301696807d/fimmu-15-1508489-g005.jpg
https://cdn.ncbi.nlm.nih.gov/pmc/blobs/d43b/11666449/018d53fd8cc2/fimmu-15-1508489-g006.jpg
https://cdn.ncbi.nlm.nih.gov/pmc/blobs/d43b/11666449/f4bf6468aaef/fimmu-15-1508489-g007.jpg

相似文献

1
Prevalence of fungal colonization among patients with psoriasis in difficult-to-treat areas: impact of apremilast on mycotic burden and clinical outcomes.银屑病患者在难治疗部位的真菌定植患病率:阿普米拉斯对真菌负荷和临床结局的影响。
Front Immunol. 2024 Dec 10;15:1508489. doi: 10.3389/fimmu.2024.1508489. eCollection 2024.
2
Safety and efficacy of apremilast through 104 weeks in patients with moderate to severe psoriasis who continued on apremilast or switched from etanercept treatment: findings from the LIBERATE study.在 LIBERATE 研究中,接受阿普司特治疗或从依那西普治疗转换的中重度斑块状银屑病患者中,阿普司特治疗 104 周的安全性和疗效。
J Eur Acad Dermatol Venereol. 2018 Mar;32(3):397-402. doi: 10.1111/jdv.14738. Epub 2018 Jan 29.
3
Apremilast mechanism of efficacy in systemic-naive patients with moderate plaque psoriasis: Pharmacodynamic results from the UNVEIL study.阿普米司特在系统性初治中重度斑块状银屑病患者中的疗效机制:UNVEIL 研究的药效学结果。
J Dermatol Sci. 2019 Dec;96(3):126-133. doi: 10.1016/j.jdermsci.2019.09.003. Epub 2019 Sep 10.
4
Apremilast, an oral phosphodiesterase 4 inhibitor, in patients with difficult-to-treat nail and scalp psoriasis: Results of 2 phase III randomized, controlled trials (ESTEEM 1 and ESTEEM 2).阿普米司特,一种口服磷酸二酯酶 4 抑制剂,用于治疗难治性指甲和头皮银屑病患者:两项 III 期随机对照试验(ESTEEM 1 和 ESTEEM 2)的结果。
J Am Acad Dermatol. 2016 Jan;74(1):134-42. doi: 10.1016/j.jaad.2015.09.001.
5
Open-Label Study to Evaluate the Efficacy of Etanercept Treatment in Subjects With Moderate to Severe Plaque Psoriasis Who Have Failed Therapy With Apremilast.一项开放标签研究,旨在评估依那西普治疗对接受阿普斯特治疗失败的中度至重度斑块状银屑病患者的疗效。
J Drugs Dermatol. 2018 Oct 1;17(10):1078-1082.
6
Apremilast, an oral phosphodiesterase 4 inhibitor, improves patient-reported outcomes in the treatment of moderate to severe psoriasis: results of two phase III randomized, controlled trials.阿普司特,一种口服磷酸二酯酶4抑制剂,在中度至重度银屑病治疗中改善了患者报告的结局:两项III期随机对照试验的结果。
J Eur Acad Dermatol Venereol. 2017 Mar;31(3):498-506. doi: 10.1111/jdv.13918. Epub 2016 Oct 10.
7
Effect of baseline disease severity on achievement of treatment target with apremilast: results from a pooled analysis.基于基线疾病严重程度的阿普米司特治疗达标率的影响:一项汇总分析结果。
J Eur Acad Dermatol Venereol. 2021 Dec;35(12):2409-2414. doi: 10.1111/jdv.17520. Epub 2021 Aug 23.
8
Apremilast as a target therapy for nail psoriasis: a real-life observational study proving its efficacy in restoring the nail unit.阿普斯特治疗甲银屑病的疗效观察:真实世界研究证实其对甲单位的疗效。
J Dermatolog Treat. 2022 Mar;33(2):1097-1101. doi: 10.1080/09546634.2020.1801976. Epub 2020 Aug 3.
9
Efficacy, tolerability, and pharmacodynamics of apremilast in recalcitrant plaque psoriasis: a phase II open-label study.阿普司特治疗顽固性斑块状银屑病的疗效、耐受性及药效学:一项II期开放标签研究。
J Drugs Dermatol. 2013 Aug;12(8):888-97.
10
The efficacy and safety of apremilast, etanercept and placebo in patients with moderate-to-severe plaque psoriasis: 52-week results from a phase IIIb, randomized, placebo-controlled trial (LIBERATE).阿普米拉斯、依那西普和安慰剂治疗中重度斑块状银屑病患者的疗效和安全性:一项IIIb期随机安慰剂对照试验(LIBERATE)的52周结果
J Eur Acad Dermatol Venereol. 2017 Mar;31(3):507-517. doi: 10.1111/jdv.14015. Epub 2016 Dec 19.

引用本文的文献

1
PDE4 inhibitors in psoriasis therapy: current insights and future directions.银屑病治疗中的磷酸二酯酶4抑制剂:当前见解与未来方向
Inflammopharmacology. 2025 May 15. doi: 10.1007/s10787-025-01778-y.

本文引用的文献

1
The Challenges of Managing Psoriasis on the Ear.耳部银屑病管理的挑战
J Clin Aesthet Dermatol. 2024 Oct;17(10):18.
2
Comparative Analysis of the Cutaneous Microbiome in Psoriasis Patients and Healthy Individuals-Insights into Microbial Dysbiosis: Final Results.银屑病患者与健康个体的皮肤微生物组比较分析——微生物失调的新见解:最终结果。
Int J Mol Sci. 2024 Oct 1;25(19):10583. doi: 10.3390/ijms251910583.
3
Oral Cavity Microbiome Impact on Respiratory Infections Among Children.口腔微生物群对儿童呼吸道感染的影响
Pediatric Health Med Ther. 2024 Oct 9;15:311-323. doi: 10.2147/PHMT.S471588. eCollection 2024.
4
Apremilast as a Potential Targeted Therapy for Metabolic Syndrome in Patients with Psoriasis: An Observational Analysis.阿普司特作为银屑病患者代谢综合征的潜在靶向治疗:一项观察性分析。
Pharmaceuticals (Basel). 2024 Jul 26;17(8):989. doi: 10.3390/ph17080989.
5
Role of Cytokines and Chemokines in Vitiligo and Their Therapeutic Implications.细胞因子和趋化因子在白癜风中的作用及其治疗意义
J Clin Med. 2024 Aug 20;13(16):4919. doi: 10.3390/jcm13164919.
6
Clinical and molecular insights into cardiovascular disease in psoriatic patients and the potential protective role of apremilast.银屑病患者心血管疾病的临床和分子见解及阿普米司特的潜在保护作用。
Front Immunol. 2024 Aug 7;15:1459185. doi: 10.3389/fimmu.2024.1459185. eCollection 2024.
7
Multi-failure psoriasis patients: characterization of the patients and response to biological therapy in a multicenter Italian cohort.多系统失败型银屑病患者:意大利多中心队列研究患者特征及生物治疗应答。
Int J Dermatol. 2024 Mar;63(3):351-358. doi: 10.1111/ijd.17005. Epub 2024 Jan 5.
8
Efficacy and Safety of Newer Topical Therapies in Psoriasis: A Systematic Review and Network Meta-Analysis.新型局部治疗方法治疗银屑病的疗效与安全性:一项系统评价与网状Meta分析
Dermatology. 2024;240(1):1-12. doi: 10.1159/000535056. Epub 2023 Nov 8.
9
Efficacy and safety of apremilast in patients with moderate-to-severe genital psoriasis: Results from DISCREET, a phase 3 randomized, double-blind, placebo-controlled trial.阿普司特治疗中重度生殖器银屑病患者的疗效和安全性:3期随机、双盲、安慰剂对照试验DISCREET的结果
J Am Acad Dermatol. 2024 Mar;90(3):485-493. doi: 10.1016/j.jaad.2023.10.020. Epub 2023 Oct 16.
10
Topical Treatment for the Management of Mild-to-Moderate Psoriasis: A Critical Appraisal of the Current Literature.轻度至中度银屑病管理的局部治疗:当前文献的批判性评估
Dermatol Ther (Heidelb). 2023 Nov;13(11):2527-2547. doi: 10.1007/s13555-023-01024-9. Epub 2023 Sep 22.