• 文献检索
  • 文档翻译
  • 深度研究
  • 学术资讯
  • Suppr Zotero 插件Zotero 插件
  • 邀请有礼
  • 套餐&价格
  • 历史记录
应用&插件
Suppr Zotero 插件Zotero 插件浏览器插件Mac 客户端Windows 客户端微信小程序
定价
高级版会员购买积分包购买API积分包
服务
文献检索文档翻译深度研究API 文档MCP 服务
关于我们
关于 Suppr公司介绍联系我们用户协议隐私条款
关注我们

Suppr 超能文献

核心技术专利:CN118964589B侵权必究
粤ICP备2023148730 号-1Suppr @ 2026

文献检索

告别复杂PubMed语法,用中文像聊天一样搜索,搜遍4000万医学文献。AI智能推荐,让科研检索更轻松。

立即免费搜索

文件翻译

保留排版,准确专业,支持PDF/Word/PPT等文件格式,支持 12+语言互译。

免费翻译文档

深度研究

AI帮你快速写综述,25分钟生成高质量综述,智能提取关键信息,辅助科研写作。

立即免费体验

A-DROP、NEWS2和REMS在预测急诊科肺炎患者院内死亡率和机械通气方面的性能:一项回顾性队列研究。

Performance of A-DROP, NEWS2, and REMS in predicting in-hospital mortality and mechanical ventilation in pneumonia patients in the emergency department: a retrospective cohort study.

作者信息

Thirawattanasoot Netiporn, Chongthanadon Brandon, Ruangsomboon Onlak

机构信息

Department of Emergency Medicine, Faculty of Medicine, Siriraj Hospital, Mahidol University, 2 Wanglang Road, Bangkoknoi, Bangkok, 10700, Thailand.

Faculty of Medicine, Siriraj Hospital, Mahidol University, Bangkok, Thailand.

出版信息

Int J Emerg Med. 2024 Dec 27;17(1):198. doi: 10.1186/s12245-024-00792-1.

DOI:10.1186/s12245-024-00792-1
PMID:39731025
原文链接:https://pmc.ncbi.nlm.nih.gov/articles/PMC11674152/
Abstract

BACKGROUND

Pneumonia is a potentially life-threatening respiratory tract infection. Many Early Warning Scores (EWS) were developed to detect patients with high risk for adverse clinical outcomes, but few have explored the utility of these EWS for pneumonia patients in the Emergency Department (ED) setting. We aimed to compare the prognostic utility of A-DROP, NEWS2, and REMS in predicting in-hospital mortality and the requirement for mechanical ventilation among ED patients with pneumonia.

METHODS

A retrospective study was conducted at the ED of Siriraj Hospital, Thailand. Adult patients diagnosed with non-COVID-19 pneumonia between June 1, 2021, and May 31, 2022, were included. We calculated and analyzed their EWS at ED arrival. The primary outcome was all-cause in-hospital mortality. The secondary outcome was mechanical ventilation.

RESULTS

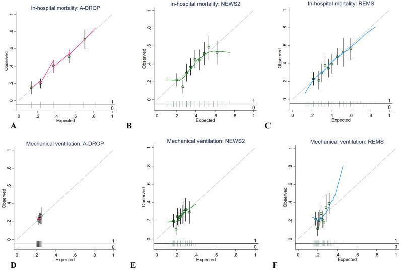
We enrolled 735 patients; 272 (37%) died at hospital discharge, and 75 (10.2%) required mechanical ventilation. A-DROP had the highest discrimination capacity for in-hospital mortality (AUROC: 0.698, 95% CI 0.659-0.737) compared to NEWS2 (AUROC 0.657; 95%CI 0.617, 0.698) and REMS (AUROC 0.637; 95%CI 0.596, 0.678). A-DROP also had superior performances than NEWS2 and REMS in terms of calibration, overall model performance, and balanced diagnostic accuracy indices at its optimal cut point (A-DROP ≥ 2). No EWS could perform well in predicting mechanical ventilation.

CONCLUSION

A-DROP had the highest prognostic utility for predicting in-hospital mortality in non-COVID-19 pneumonia patients in the ED compared to NEWS2 and REMS.

摘要

背景

肺炎是一种可能危及生命的呼吸道感染。许多早期预警评分(EWS)被开发出来以检测具有不良临床结局高风险的患者,但很少有人探讨这些EWS在急诊科(ED)环境中对肺炎患者的实用性。我们旨在比较A-DROP、NEWS2和REMS在预测急诊科肺炎患者院内死亡率和机械通气需求方面的预后效用。

方法

在泰国诗里拉吉医院急诊科进行了一项回顾性研究。纳入2021年6月1日至2022年5月31日期间诊断为非COVID-19肺炎的成年患者。我们在患者到达急诊科时计算并分析了他们的EWS。主要结局是全因院内死亡率。次要结局是机械通气。

结果

我们纳入了735例患者;272例(37%)在出院时死亡,75例(10.2%)需要机械通气。与NEWS2(AUROC 0.657;95%CI 0.617,0.698)和REMS(AUROC 0.637;95%CI 0.596,0.678)相比,A-DROP对院内死亡率的鉴别能力最高(AUROC:0.698,95%CI 0.659 - 0.737)。在校准、总体模型性能以及其最佳切点(A-DROP≥2)处的平衡诊断准确性指数方面,A-DROP也比NEWS2和REMS表现更优。没有EWS在预测机械通气方面表现良好。

结论

与NEWS2和REMS相比,A-DROP在预测急诊科非COVID-19肺炎患者院内死亡率方面具有最高的预后效用。

https://cdn.ncbi.nlm.nih.gov/pmc/blobs/b941/11674152/cd8bc77466c4/12245_2024_792_Fig3_HTML.jpg
https://cdn.ncbi.nlm.nih.gov/pmc/blobs/b941/11674152/a9f6547ae817/12245_2024_792_Fig1_HTML.jpg
https://cdn.ncbi.nlm.nih.gov/pmc/blobs/b941/11674152/a18f5663ec17/12245_2024_792_Fig2_HTML.jpg
https://cdn.ncbi.nlm.nih.gov/pmc/blobs/b941/11674152/cd8bc77466c4/12245_2024_792_Fig3_HTML.jpg
https://cdn.ncbi.nlm.nih.gov/pmc/blobs/b941/11674152/a9f6547ae817/12245_2024_792_Fig1_HTML.jpg
https://cdn.ncbi.nlm.nih.gov/pmc/blobs/b941/11674152/a18f5663ec17/12245_2024_792_Fig2_HTML.jpg
https://cdn.ncbi.nlm.nih.gov/pmc/blobs/b941/11674152/cd8bc77466c4/12245_2024_792_Fig3_HTML.jpg

相似文献

1
Performance of A-DROP, NEWS2, and REMS in predicting in-hospital mortality and mechanical ventilation in pneumonia patients in the emergency department: a retrospective cohort study.A-DROP、NEWS2和REMS在预测急诊科肺炎患者院内死亡率和机械通气方面的性能:一项回顾性队列研究。
Int J Emerg Med. 2024 Dec 27;17(1):198. doi: 10.1186/s12245-024-00792-1.
2
The utility of the Rapid Emergency Medicine Score (REMS) compared with three other early warning scores in predicting in-hospital mortality among COVID-19 patients in the emergency department: a multicenter validation study.REMS 与其他三种早期预警评分在预测急诊科 COVID-19 患者住院死亡率方面的效用比较:一项多中心验证研究。
BMC Emerg Med. 2023 Apr 26;23(1):45. doi: 10.1186/s12873-023-00814-w.
3
The utility of the rapid emergency medicine score (REMS) compared with SIRS, qSOFA and NEWS for Predicting in-hospital Mortality among Patients with suspicion of Sepsis in an emergency department.快速急诊医学评分(REMS)与 SIRS、qSOFA 和 NEWS 相比,在预测急诊科疑似脓毒症患者住院死亡率方面的效用。
BMC Emerg Med. 2021 Jan 7;21(1):2. doi: 10.1186/s12873-020-00396-x.
4
Predicting intensive care unit admission and death for COVID-19 patients in the emergency department using early warning scores.利用早期预警评分预测急诊科 COVID-19 患者的重症监护病房收治和死亡。
Resuscitation. 2020 Nov;156:84-91. doi: 10.1016/j.resuscitation.2020.08.124. Epub 2020 Sep 9.
5
Predicting ICU admission and death in the Emergency Department: A comparison of six early warning scores.预测急诊 ICU 收治和死亡:六种早期预警评分的比较。
Resuscitation. 2023 Sep;190:109876. doi: 10.1016/j.resuscitation.2023.109876. Epub 2023 Jun 17.
6
NEWS2, S/F-ratio and ROX-index at emergency department for the prediction of adverse outcomes in COVID-19 patients: An external validation study.急诊科 NEWS2、S/F 比值和 ROX 指数对 COVID-19 患者不良结局的预测:一项外部验证研究。
Am J Emerg Med. 2024 Sep;83:101-108. doi: 10.1016/j.ajem.2024.07.006. Epub 2024 Jul 9.
7
An Evaluation of the National Early Warning Score 2 and the Laboratory Data Decision Tree Early Warning Score in Predicting Mortality in Geriatric Patients.评估国家早期预警评分2及实验室数据决策树早期预警评分对老年患者死亡率的预测价值
J Emerg Med. 2024 Mar;66(3):e284-e292. doi: 10.1016/j.jemermed.2023.10.012. Epub 2023 Oct 14.
8
Utility of ED triage tools in predicting the need for intensive respiratory or vasopressor support in adult patients with COVID-19.ED 分诊工具在预测 COVID-19 成年患者是否需要强化呼吸或血管加压支持方面的效用。
Am J Emerg Med. 2024 Apr;78:151-156. doi: 10.1016/j.ajem.2024.01.034. Epub 2024 Jan 23.
9
An observational cohort study of the performance of the REDS score compared to the SIRS criteria, NEWS2, CURB65, SOFA, MEDS and PIRO scores to risk-stratify emergency department suspected sepsis.一项观察性队列研究比较了 REDS 评分与 SIRS 标准、NEWS2、CURB65、SOFA、MEDS 和 PIRO 评分在风险分层急诊疑似脓毒症方面的性能。
Ann Med. 2021 Dec;53(1):1863-1874. doi: 10.1080/07853890.2021.1992495.
10
Initial prehospital Rapid Emergency Medicine Score (REMS) to predict outcomes for COVID-19 patients.用于预测新冠肺炎患者预后的初始院前快速急诊医学评分(REMS)。
J Am Coll Emerg Physicians Open. 2021 Jun 29;2(4):e12483. doi: 10.1002/emp2.12483. eCollection 2021 Aug.

本文引用的文献

1
Clinical factors associated with in-hospital mortality in elderly versus non-elderly pneumonia patients in the emergency department.急诊科老年与非老年肺炎患者院内死亡率相关的临床因素。
BMC Pulm Med. 2023 Sep 7;23(1):330. doi: 10.1186/s12890-023-02632-z.
2
The utility of the Rapid Emergency Medicine Score (REMS) compared with three other early warning scores in predicting in-hospital mortality among COVID-19 patients in the emergency department: a multicenter validation study.REMS 与其他三种早期预警评分在预测急诊科 COVID-19 患者住院死亡率方面的效用比较:一项多中心验证研究。
BMC Emerg Med. 2023 Apr 26;23(1):45. doi: 10.1186/s12873-023-00814-w.
3
ROX index versus HACOR scale in predicting success and failure of high-flow nasal cannula in the emergency department for patients with acute hypoxemic respiratory failure: a prospective observational study.
在急诊科,对于急性低氧性呼吸衰竭患者,ROX指数与HACOR量表在预测高流量鼻导管吸氧成功与失败中的应用:一项前瞻性观察研究。
Int J Emerg Med. 2023 Jan 10;16(1):3. doi: 10.1186/s12245-023-00477-1.
4
Point of care ultrasound as initial diagnostic tool in acute dyspnea patients in the emergency department of a tertiary care center: diagnostic accuracy study.三级护理中心急诊科将床旁超声作为急性呼吸困难患者的初始诊断工具:诊断准确性研究
Int J Emerg Med. 2022 Jun 13;15(1):27. doi: 10.1186/s12245-022-00430-8.
5
The pneumonia severity index: Assessment and comparison to popular machine learning classifiers.肺炎严重指数:评估与流行机器学习分类器的比较。
Int J Med Inform. 2022 Jul;163:104778. doi: 10.1016/j.ijmedinf.2022.104778. Epub 2022 Apr 26.
6
Comparison between the Severity Scoring Systems A-DROP and CURB-65 for Predicting Safe Discharge from the Emergency Department in Patients with Community-Acquired Pneumonia.用于预测社区获得性肺炎患者从急诊科安全出院的A-DROP和CURB-65严重程度评分系统之间的比较。
Emerg Med Int. 2022 Apr 18;2022:6391141. doi: 10.1155/2022/6391141. eCollection 2022.
7
Validation of the National Early Warning Score (NEWS)-2 for adults in the emergency department in a tertiary-level clinic in Colombia: Cohort study.验证国家早期预警评分(NEWS)-2 在哥伦比亚三级诊所急诊科成人中的应用:队列研究。
Medicine (Baltimore). 2021 Oct 8;100(40):e27325. doi: 10.1097/MD.0000000000027325.
8
The impact of comorbidities and their stacking on short- and long-term prognosis of patients over 50 with community-acquired pneumonia.合并症及其堆积对 50 岁以上社区获得性肺炎患者短期和长期预后的影响。
BMC Infect Dis. 2021 Sep 14;21(1):949. doi: 10.1186/s12879-021-06669-5.
9
Predictive Value of the Pneumonia Severity Score on Mortality due to Aspiration Pneumonia.肺炎严重度评分对吸入性肺炎死亡率的预测价值。
Clin Med Res. 2021 Jun;19(2):47-53. doi: 10.3121/cmr.2020.1560. Epub 2021 Feb 5.
10
The utility of the rapid emergency medicine score (REMS) compared with SIRS, qSOFA and NEWS for Predicting in-hospital Mortality among Patients with suspicion of Sepsis in an emergency department.快速急诊医学评分(REMS)与 SIRS、qSOFA 和 NEWS 相比,在预测急诊科疑似脓毒症患者住院死亡率方面的效用。
BMC Emerg Med. 2021 Jan 7;21(1):2. doi: 10.1186/s12873-020-00396-x.