Suppr超能文献

美国成年人中甘油三酯葡萄糖相关肥胖指数与肌肉减少症的关联:一项来自美国国家健康与营养检查调查的横断面研究

Association of triglyceride glucose-related obesity indices with sarcopenia among U.S. adults: a cross-sectional study from the National Health and Nutrition Examination Survey.

作者信息

Zhao Runtao, Ji Xinqiang, Wang Fan

机构信息

Department of Cardiology, The Second Medical Center & National Clinical Research Center for Geriatric Diseases, Chinese PLA General Hospital, Beijing, 100853, China.

出版信息

Sci Rep. 2025 Jan 2;15(1):574. doi: 10.1038/s41598-024-84278-3.

Abstract

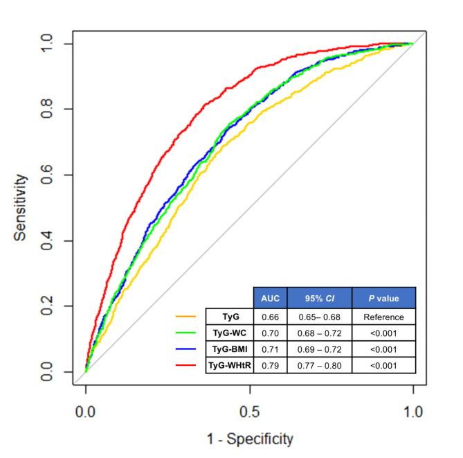
The triglyceride glucose (TyG) index-related obesity indices have been proposed as reliable indicators of insulin resistance. This study aims to investigate the association between TyG index-related obesity indices and sarcopenia as well as their potential as a tool for screening sarcopenic patients. A cross-sectional study was conducted involving 7,161 participants aged 18 and above from the National Health and Nutrition Examination Survey. TyG index and TyG index-related obesity indices, including triglyceride glucose-body mass index (TyG-BMI), triglyceride glucose-waist circumference (TyG-WC), and triglyceride glucose-waist-to-height ratio (TyG-WHtR) were determined using standard formulas. The ratio of appendicular skeletal muscle mass to BMI were used to assess sarcopenia. The relationship between the TyG index as well as TyG index-related obesity indices and sarcopenia was investigated using restricted cubic spline analysis and multivariate logistic regression analysis. The diagnostic value of the TyG index and TyG index -related obesity indices for sarcopenia was compared using the receiver operating characteristic (ROC) curve. In the fully adjusted regression model, a positive correlation was observed between the TyG-WHtR index and sarcopenia (for each one-unit increase in TyG-WHtR index: OR = 3.57, 95% CI: 2.71-4.71, P < 0.001). Additionally, regression analyses demonstrated TyG-WHtR as a significant predictor of sarcopenia with the highest odds ratio, reaching 12.50 (95% CI: 6.13-25.70, P < 0.001) for the upper fourth quartile (Q4) compared to the first quartile, followed by followed by TyG-BMI (Q4: 3.34; 95% CI: 1.92-5.80, P < 0.001) and TyG-WC (Q4: 1.95; 95% CI: 1.04-3.68, P < 0.001). The RCS curve fitting analysis indicated a U-shaped relationship between TyG-WHtR and the diagnosis of sarcopenia, with an inflection point at 4.02. Furthermore, in the ROC analysis, the AUC for the diagnosis of sarcopenia was largest for TyG-WHtR (0.79, P < 0.001). The TyG ndex-related obesity indices, especially TyG-WHtR, have been shown to be more effective in identifying sarcopenia patients than TyG alone.

摘要

甘油三酯葡萄糖(TyG)指数相关的肥胖指标已被提议作为胰岛素抵抗的可靠指标。本研究旨在探讨TyG指数相关的肥胖指标与肌肉减少症之间的关联,以及它们作为筛查肌肉减少症患者工具的潜力。进行了一项横断面研究,纳入了来自国家健康与营养检查调查的7161名18岁及以上的参与者。使用标准公式确定TyG指数和TyG指数相关的肥胖指标,包括甘油三酯葡萄糖-体重指数(TyG-BMI)、甘油三酯葡萄糖-腰围(TyG-WC)和甘油三酯葡萄糖-腰高比(TyG-WHtR)。用四肢骨骼肌质量与BMI的比值来评估肌肉减少症。使用受限立方样条分析和多变量逻辑回归分析研究TyG指数以及TyG指数相关的肥胖指标与肌肉减少症之间的关系。使用受试者工作特征(ROC)曲线比较TyG指数和TyG指数相关的肥胖指标对肌肉减少症的诊断价值。在完全调整的回归模型中,观察到TyG-WHtR指数与肌肉减少症之间存在正相关(TyG-WHtR指数每增加一个单位:OR = 3.57,95%CI:2.71 - 4.71,P < 0.001)。此外,回归分析表明TyG-WHtR是肌肉减少症的显著预测指标,比值比最高,与第一四分位数相比,第四四分位数(Q4)达到12.50(95%CI:6.13 - 25.70,P < 0.001),其次是TyG-BMI(Q4:3.34;95%CI:1.92 - 5.80,P < 0.001)和TyG-WC(Q4:1.95;95%CI:1.04 - 3.68,P < 0.001)。RCS曲线拟合分析表明TyG-WHtR与肌肉减少症的诊断之间呈U形关系,拐点为4.02。此外,在ROC分析中,TyG-WHtR诊断肌肉减少症的AUC最大(0.79,P < 0.001)。已证明TyG指数相关的肥胖指标,尤其是TyG-WHtR,在识别肌肉减少症患者方面比单独的TyG更有效。

https://cdn.ncbi.nlm.nih.gov/pmc/blobs/c21b/11696686/2e00ffbcc0a9/41598_2024_84278_Fig1_HTML.jpg

文献检索

告别复杂PubMed语法,用中文像聊天一样搜索,搜遍4000万医学文献。AI智能推荐,让科研检索更轻松。

立即免费搜索

文件翻译

保留排版,准确专业,支持PDF/Word/PPT等文件格式,支持 12+语言互译。

免费翻译文档

深度研究

AI帮你快速写综述,25分钟生成高质量综述,智能提取关键信息,辅助科研写作。

立即免费体验