• 文献检索
  • 文档翻译
  • 深度研究
  • 学术资讯
  • Suppr Zotero 插件Zotero 插件
  • 邀请有礼
  • 套餐&价格
  • 历史记录
应用&插件
Suppr Zotero 插件Zotero 插件浏览器插件Mac 客户端Windows 客户端微信小程序
定价
高级版会员购买积分包购买API积分包
服务
文献检索文档翻译深度研究API 文档MCP 服务
关于我们
关于 Suppr公司介绍联系我们用户协议隐私条款
关注我们

Suppr 超能文献

核心技术专利:CN118964589B侵权必究
粤ICP备2023148730 号-1Suppr @ 2026

文献检索

告别复杂PubMed语法,用中文像聊天一样搜索,搜遍4000万医学文献。AI智能推荐,让科研检索更轻松。

立即免费搜索

文件翻译

保留排版,准确专业,支持PDF/Word/PPT等文件格式,支持 12+语言互译。

免费翻译文档

深度研究

AI帮你快速写综述,25分钟生成高质量综述,智能提取关键信息,辅助科研写作。

立即免费体验

γ-谷氨酰转移酶与高密度脂蛋白比值升高作为非酒精性脂肪性肝病和肝纤维化风险的标志物。

Elevated GGT to HDL ratio as a marker for the risk of NAFLD and liver fibrosis.

作者信息

Xuan Yanyan, He Fangfang, Liu Qing, Dai Dandan, Wu Dingting, Shi Yanmei, Yao Qi

机构信息

Department of Hospital Infection, The First Affiliated Hospital of Ningbo University, Ningbo, Zhejiang, China.

Department of Hepatology, The First Affiliated Hospital of Ningbo University, Ningbo, Zhejiang, China.

出版信息

Sci Rep. 2025 Jan 2;15(1):10. doi: 10.1038/s41598-024-84649-w.

DOI:10.1038/s41598-024-84649-w
PMID:39748013
原文链接:https://pmc.ncbi.nlm.nih.gov/articles/PMC11695851/
Abstract

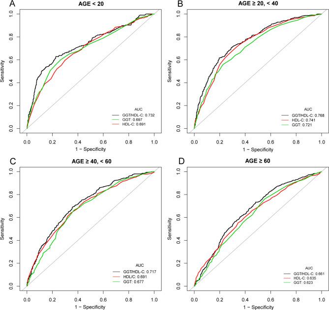
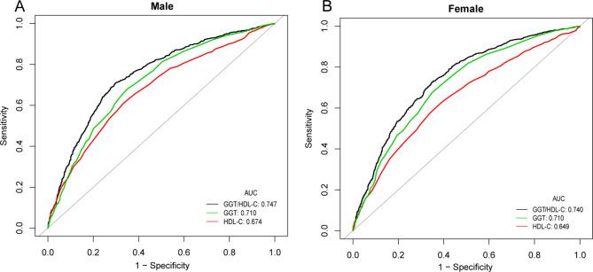
This study investigated the association between NAFLD and liver fibrosis and the ratio of gamma-glutamyl transferase to high-density lipoprotein cholesterol (GGT/HDL-C). In this cross-sectional study, we included 4764 subjects who participated in the National Health and Nutrition Examination Survey (NHANES) during 2017-2018. Adjusted multivariate logistic regression analysis was utilized to evaluate the relationships between GGT/HDL-C levels and NAFLD, fatty liver degree, and liver fibrosis. The non-linear link between NAFLD and the GGT/HDL-C ratio was examined using generalized additive models. There was a non-linear association between GGT/HDL-C and the risk of NAFLD, and all regression models demonstrated a strong relationship between GGT/HDL-C levels and the risk of liver fibrosis, the degree of hepatic steatosis, and the prevalence of NAFLD. Subgroup analyses revealed a significant correlation between the risk of NAFLD and the GGT/HDL-C ratio among Mexican Americans and young people in the 20-40 age range. The receiver operating characteristic (ROC) study showed that GGT/HDL-C was a more accurate predictor of NAFLD than GGT or HDL-C alone. In the U.S. population, an increased risk of NAFLD, the severity of hepatic steatosis, and the risk of liver fibrosis are independently correlated with an elevated GGT/HDL-C ratio.

摘要

本研究调查了非酒精性脂肪性肝病(NAFLD)与肝纤维化以及γ-谷氨酰转移酶与高密度脂蛋白胆固醇比值(GGT/HDL-C)之间的关联。在这项横断面研究中,我们纳入了2017 - 2018年期间参加美国国家健康与营养检查调查(NHANES)的4764名受试者。采用调整后的多变量逻辑回归分析来评估GGT/HDL-C水平与NAFLD、脂肪肝程度和肝纤维化之间的关系。使用广义相加模型检验NAFLD与GGT/HDL-C比值之间的非线性联系。GGT/HDL-C与NAFLD风险之间存在非线性关联,所有回归模型均显示GGT/HDL-C水平与肝纤维化风险、肝脂肪变性程度和NAFLD患病率之间存在密切关系。亚组分析显示,墨西哥裔美国人以及20 - 40岁年龄段的年轻人中,NAFLD风险与GGT/HDL-C比值之间存在显著相关性。受试者工作特征(ROC)研究表明,GGT/HDL-C比单独的GGT或HDL-C更能准确预测NAFLD。在美国人群中,NAFLD风险增加、肝脂肪变性严重程度以及肝纤维化风险与GGT/HDL-C比值升高独立相关。

https://cdn.ncbi.nlm.nih.gov/pmc/blobs/928f/11695851/455522362473/41598_2024_84649_Fig6_HTML.jpg
https://cdn.ncbi.nlm.nih.gov/pmc/blobs/928f/11695851/06a049e95e7e/41598_2024_84649_Fig1_HTML.jpg
https://cdn.ncbi.nlm.nih.gov/pmc/blobs/928f/11695851/32a85d6dc932/41598_2024_84649_Fig2_HTML.jpg
https://cdn.ncbi.nlm.nih.gov/pmc/blobs/928f/11695851/304e341f5ca9/41598_2024_84649_Fig3_HTML.jpg
https://cdn.ncbi.nlm.nih.gov/pmc/blobs/928f/11695851/32b051995d4c/41598_2024_84649_Fig4_HTML.jpg
https://cdn.ncbi.nlm.nih.gov/pmc/blobs/928f/11695851/3fc41dfa1839/41598_2024_84649_Fig5_HTML.jpg
https://cdn.ncbi.nlm.nih.gov/pmc/blobs/928f/11695851/455522362473/41598_2024_84649_Fig6_HTML.jpg
https://cdn.ncbi.nlm.nih.gov/pmc/blobs/928f/11695851/06a049e95e7e/41598_2024_84649_Fig1_HTML.jpg
https://cdn.ncbi.nlm.nih.gov/pmc/blobs/928f/11695851/32a85d6dc932/41598_2024_84649_Fig2_HTML.jpg
https://cdn.ncbi.nlm.nih.gov/pmc/blobs/928f/11695851/304e341f5ca9/41598_2024_84649_Fig3_HTML.jpg
https://cdn.ncbi.nlm.nih.gov/pmc/blobs/928f/11695851/32b051995d4c/41598_2024_84649_Fig4_HTML.jpg
https://cdn.ncbi.nlm.nih.gov/pmc/blobs/928f/11695851/3fc41dfa1839/41598_2024_84649_Fig5_HTML.jpg
https://cdn.ncbi.nlm.nih.gov/pmc/blobs/928f/11695851/455522362473/41598_2024_84649_Fig6_HTML.jpg

相似文献

1
Elevated GGT to HDL ratio as a marker for the risk of NAFLD and liver fibrosis.γ-谷氨酰转移酶与高密度脂蛋白比值升高作为非酒精性脂肪性肝病和肝纤维化风险的标志物。
Sci Rep. 2025 Jan 2;15(1):10. doi: 10.1038/s41598-024-84649-w.
2
Elevated non-HDL-C to HDL-C ratio as a marker for NAFLD and liver fibrosis risk: a cross-sectional analysis.非高密度脂蛋白胆固醇与高密度脂蛋白胆固醇比值升高可作为非酒精性脂肪性肝病和肝纤维化风险的标志物:一项横断面分析。
Front Endocrinol (Lausanne). 2024 Oct 15;15:1457589. doi: 10.3389/fendo.2024.1457589. eCollection 2024.
3
Influence of triglycerides on the link between gamma-glutamyl transferase to high-density lipoprotein cholesterol ratio and nonalcoholic fatty liver disease in nonobese Chinese adults: A secondary cohort study.甘油三酯对非肥胖中国成年人γ-谷氨酰转移酶与高密度脂蛋白胆固醇比值和非酒精性脂肪性肝病之间关联的影响:一项二次队列研究
Medicine (Baltimore). 2025 Apr 11;104(15):e42078. doi: 10.1097/MD.0000000000042078.
4
Elevated ALT/AST ratio as a marker for NAFLD risk and severity: insights from a cross-sectional analysis in the United States.ALT/AST 比值升高作为非酒精性脂肪性肝病风险和严重程度的标志物:来自美国横断面分析的见解。
Front Endocrinol (Lausanne). 2024 Aug 26;15:1457598. doi: 10.3389/fendo.2024.1457598. eCollection 2024.
5
Association between triglyceride to high-density lipoprotein cholesterol ratio and nonalcoholic fatty liver disease and liver fibrosis in American adults: an observational study from the National Health and Nutrition Examination Survey 2017-2020.甘油三酯与高密度脂蛋白胆固醇比值与美国成年人非酒精性脂肪肝和肝纤维化的关系:来自 2017-2020 年全国健康和营养调查的观察性研究。
Front Endocrinol (Lausanne). 2024 Jul 16;15:1362396. doi: 10.3389/fendo.2024.1362396. eCollection 2024.
6
Assessing the longitudinal association between the GGT/HDL-C ratio and NAFLD: a cohort study in a non-obese Chinese population.评估 GGT/HDL-C 比值与非酒精性脂肪肝之间的纵向关联:非肥胖中国人群的队列研究。
BMC Gastroenterol. 2022 Dec 5;22(1):500. doi: 10.1186/s12876-022-02598-y.
7
Diagnostic performance of the GGT/HDL-C ratio for NAFLD in adults with obesity undergoing bariatric surgery.肥胖成人行减重手术后,GGT/HDL-C 比值对非酒精性脂肪性肝病的诊断性能。
Diabetes Res Clin Pract. 2024 May;211:111649. doi: 10.1016/j.diabres.2024.111649. Epub 2024 Apr 3.
8
The association between non-high-density lipoprotein cholesterol to high-density lipoprotein cholesterol ratio and hepatic steatosis and liver fibrosis among US adults based on NHANES.基于美国国家健康与营养检查调查(NHANES)的美国成年人中非高密度脂蛋白胆固醇与高密度脂蛋白胆固醇比值与肝脂肪变性和肝纤维化之间的关联。
Sci Rep. 2025 Feb 23;15(1):6527. doi: 10.1038/s41598-025-90773-y.
9
Gamma-glutamyl transpeptidase elevation is associated with metabolic syndrome, hepatic steatosis, and fibrosis in patients with nonalcoholic fatty liver disease: A community-based cross-sectional study.γ-谷氨酰转肽酶升高与非酒精性脂肪性肝病患者的代谢综合征、肝脂肪变性和纤维化相关:一项基于社区的横断面研究。
Kaohsiung J Med Sci. 2021 Sep;37(9):819-827. doi: 10.1002/kjm2.12395. Epub 2021 May 17.
10
Elevated gamma-glutamyl transferase has a non-linear association with incident non-alcoholic fatty liver disease in the non-obese Chinese population: a secondary retrospective study.γ-谷氨酰转移酶升高与非肥胖中国人群中非酒精性脂肪性肝病的发生呈非线性关联:一项二次回顾性研究。
Lipids Health Dis. 2021 Oct 25;20(1):142. doi: 10.1186/s12944-021-01577-8.

引用本文的文献

1
Serum Osteopontin and Procollagen Type 1 N-Terminal Propeptide Concentrations: Links to Liver Function, Muscle Mass, and Bone Mineral Density in MASLD and Hypertension.血清骨桥蛋白和1型前胶原N端前肽浓度:与代谢相关脂肪性肝病和高血压患者肝功能、肌肉量及骨密度的关联
Metabolites. 2025 Jul 6;15(7):459. doi: 10.3390/metabo15070459.
2
Emerging Biomarker Potential of Extracellular Vesicle-Enclosed MicroRNAs for Liver Fibrosis Detection.细胞外囊泡包裹的微小RNA在肝纤维化检测中的新兴生物标志物潜力
Cells. 2025 Jul 4;14(13):1025. doi: 10.3390/cells14131025.
3
The association between non-high-density lipoprotein cholesterol to high-density lipoprotein cholesterol ratio and the risk of insulin resistance: results from the NHANES 2003-2016.

本文引用的文献

1
Sarcopenia and metabolic dysfunction associated steatotic liver disease: Time to address both.肌肉减少症与代谢功能障碍相关脂肪性肝病:是时候同时应对两者了。
World J Hepatol. 2024 Jun 27;16(6):871-877. doi: 10.4254/wjh.v16.i6.871.
2
Global perspective on nonalcoholic fatty liver disease and nonalcoholic steatohepatitis - prevalence, clinical impact, economic implications and management strategies.非酒精性脂肪性肝病和非酒精性脂肪性肝炎的全球视角——患病率、临床影响、经济影响及管理策略
Aliment Pharmacol Ther. 2024 Jun;59 Suppl 1:S1-S9. doi: 10.1111/apt.17833.
3
Genetic and epigenetic determinants of non-alcoholic fatty liver disease (NAFLD) in lean individuals: a systematic review.
非高密度脂蛋白胆固醇与高密度脂蛋白胆固醇比值与胰岛素抵抗风险之间的关联:2003 - 2016年美国国家健康与营养检查调查结果
BMC Endocr Disord. 2025 Jul 1;25(1):161. doi: 10.1186/s12902-025-01982-5.
4
The newly proposed dietary index for gut microbiota and its association with the risk of nonalcoholic fatty liver disease: the mediating role of body mass index.新提出的肠道微生物群饮食指数及其与非酒精性脂肪性肝病风险的关联:体重指数的中介作用。
Diabetol Metab Syndr. 2025 Jun 21;17(1):237. doi: 10.1186/s13098-025-01801-w.
瘦人非酒精性脂肪性肝病(NAFLD)的遗传和表观遗传决定因素:一项系统综述。
Transl Gastroenterol Hepatol. 2023 Dec 6;9:11. doi: 10.21037/tgh-23-31. eCollection 2024.
4
Global trends and hotspots of treatment for nonalcoholic fatty liver disease: A bibliometric and visualization analysis (2010-2023).全球非酒精性脂肪性肝病治疗的趋势和热点:文献计量学和可视化分析(2010-2023)。
World J Gastroenterol. 2023 Oct 7;29(37):5339-5360. doi: 10.3748/wjg.v29.i37.5339.
5
Gamma-glutamyl transferase to high-density lipoprotein cholesterol ratio is a more powerful marker than TyG index for predicting metabolic syndrome in patients with type 2 diabetes mellitus.γ-谷氨酰转移酶与高密度脂蛋白胆固醇比值是预测 2 型糖尿病患者代谢综合征的更有力标志物,优于 TyG 指数。
Front Endocrinol (Lausanne). 2023 Oct 3;14:1248614. doi: 10.3389/fendo.2023.1248614. eCollection 2023.
6
Targeting gamma-glutamyl transpeptidase: A pleiotropic enzyme involved in glutathione metabolism and in the control of redox homeostasis.靶向γ-谷氨酰转肽酶:一种参与谷胱甘肽代谢和氧化还原稳态调控的多效性酶。
Free Radic Biol Med. 2023 Nov 1;208:672-683. doi: 10.1016/j.freeradbiomed.2023.09.020. Epub 2023 Sep 20.
7
Sex-specific associations of γ-glutamyltransferase to HDL-cholesterol ratio and the incident risk of cardiovascular disease: three Korean longitudinal cohorts from different regions.γ-谷氨酰转移酶与高密度脂蛋白胆固醇比值性别特异性关联与心血管疾病发病风险:来自不同地区的三个韩国纵向队列研究。
Front Endocrinol (Lausanne). 2023 Aug 15;14:1231502. doi: 10.3389/fendo.2023.1231502. eCollection 2023.
8
Lipid Disorders and Metabolic-Associated Fatty Liver Disease.血脂异常与代谢相关脂肪性肝病。
Endocrinol Metab Clin North Am. 2023 Sep;52(3):445-457. doi: 10.1016/j.ecl.2023.01.003. Epub 2023 Feb 26.
9
Sarcopenia, a condition shared by various diseases: can we alleviate or delay the progression?肌肉减少症,多种疾病共有的一种状态:我们能否缓解或延缓其进展?
Intern Emerg Med. 2023 Oct;18(7):1887-1895. doi: 10.1007/s11739-023-03339-z. Epub 2023 Jul 25.
10
High-Density Lipoprotein in Metabolic Disorders and Beyond: An Exciting New World Full of Challenges and Opportunities.代谢紊乱及其他领域中的高密度脂蛋白:一个充满挑战与机遇的全新激动人心的世界。
Pharmaceuticals (Basel). 2023 Jun 8;16(6):855. doi: 10.3390/ph16060855.