Suppr超能文献

乳腺癌、卵巢癌和子宫内膜癌整个生育范围内产次的曲线发病率模型:挪威1960年人口普查随访研究

Curvilinear incidence models for parity in the entire fertility range for cancers of the breast, ovary, and endometrium: A follow-up of the Norwegian 1960 Census.

作者信息

Lund Eiliv, Busund Lill-Tove Rasmussen, Holden Lars

机构信息

Institute of Community Medicine, UiT the Arctic University of Norway, Tromsø, Norway.

Department of Medical Biology, UiT the Arctic University of Norway, Tromsø, Norway.

出版信息

Int J Cancer. 2025 Jun 1;156(11):2118-2126. doi: 10.1002/ijc.35312. Epub 2025 Jan 3.

Abstract

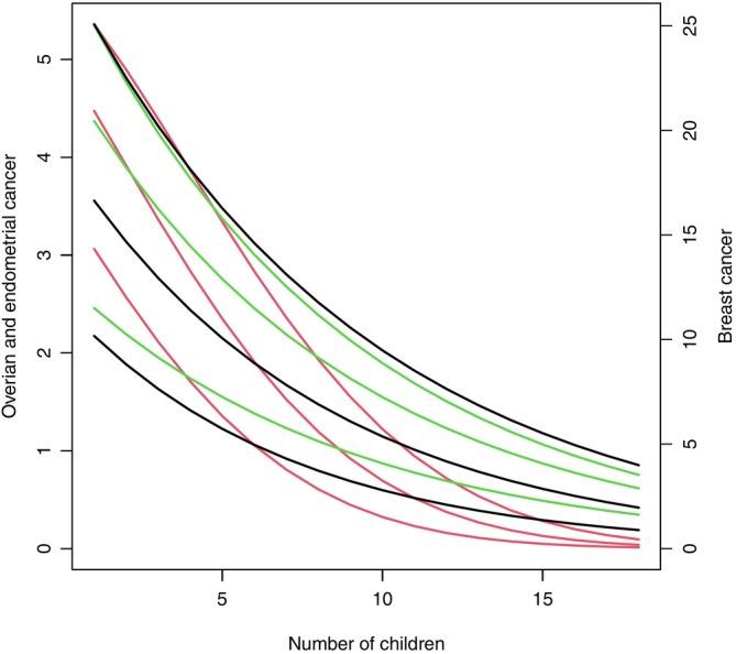
The protective effect of parity has been demonstrated for cancer of the breast, ovary, and endometrium but no studies have estimated the effect of each subsequent birth in women with 10 or more children or grand-grand parity women, nor compared the linear relationship of the three cancers sites. Here, we aim to explore these relationships based on the Norwegian 1960 Census. The question of parity in present marriage was answered by 385,816 women born 1870-1915, a period with high fertility. Age at marriage has been validated as a proxy for age at first birth AFB. With high parity age at first birth will logically be restricted to early births giving structural zeros. Follow-up was based on linkages to national registers until the first of any of the three diagnoses, death, or age 90 before 31.12.2005. Included were 16,905 breast cancers, 3827 ovarian cancers, and 3834 endometrial cancers. Age- and period-specific incidence rates based on person-years, PY, were used in logit regression models. The percentage decrease for each additional child over the total parity range was for breast cancer 10.5% (95% CI; 9.6-11.4), ovarian cancer 13.2% (11.2-15.3), and endometrial cancer 10.9% (8.9-12.8), in a model without higher order terms. Adjustment for structural zeros reduced the effect of age at first birth to less than one additional child. To the best of our knowledge this is the first analysis of the curvilinear relationships for cancers of the breast, ovary, and endometrium throughout the extended fertility range.

摘要

已证实生育次数对乳腺癌、卵巢癌和子宫内膜癌具有保护作用,但尚无研究评估过生育10个或更多子女的女性或曾孙辈生育女性中每次后续生育的影响,也未比较这三种癌症部位的线性关系。在此,我们旨在基于挪威1960年人口普查探究这些关系。1870 - 1915年出生、处于高生育率时期的385,816名女性回答了当前婚姻中的生育次数问题。结婚年龄已被验证可作为初产年龄(AFB)的替代指标。由于生育次数多,初产年龄在逻辑上会限于早育,从而产生结构零值。随访基于与国家登记册的关联,直至出现三种诊断中的任何一种、死亡或在2005年12月31日前年满90岁。纳入研究的有16,905例乳腺癌、3827例卵巢癌和3834例子宫内膜癌。基于人年(PY)的年龄和时期特异性发病率用于logit回归模型。在无高阶项的模型中,在总生育次数范围内每增加一个孩子,乳腺癌发病率降低10.5%(95%CI:9.6 - 11.4),卵巢癌降低13.2%(11.2 - 15.3),子宫内膜癌降低10.9%(8.9 - 12.8)。对结构零值进行调整后,初产年龄的影响降至不到增加一个孩子的程度。据我们所知,这是对整个生育次数范围扩展情况下乳腺癌、卵巢癌和子宫内膜癌曲线关系的首次分析。

https://cdn.ncbi.nlm.nih.gov/pmc/blobs/3b53/11970550/84db2f130b0d/IJC-156-2118-g001.jpg

文献检索

告别复杂PubMed语法,用中文像聊天一样搜索,搜遍4000万医学文献。AI智能推荐,让科研检索更轻松。

立即免费搜索

文件翻译

保留排版,准确专业,支持PDF/Word/PPT等文件格式,支持 12+语言互译。

免费翻译文档

深度研究

AI帮你快速写综述,25分钟生成高质量综述,智能提取关键信息,辅助科研写作。

立即免费体验