Suppr超能文献

联合经直肠超声与影像组学模型评估局部晚期直肠癌新辅助放化疗的疗效

Combined transrectal ultrasound and radiomics model for evaluating the therapeutic effects of neoadjuvant chemoradiotherapy in locally advanced rectal cancer.

作者信息

Abuliezi Dilimire, She Yufen, Liao Zhongfan, Luo Yuan, Yang Yin, Huang Qin, Tao Anqi, Zhuang Hua

机构信息

Department of Medical Ultrasound, West China Hospital of Sichuan University, 37# Guo Xue Xiang, Chengdu, 610041, Sichuan, China.

Department of Gastroenterology and Hepatology, West China Hospital of Sichuan University, 37#Guo Xue Xiang, Chengdu, 610041, Sichuan, China.

出版信息

Int J Colorectal Dis. 2025 Jan 7;40(1):7. doi: 10.1007/s00384-024-04792-8.

Abstract

PURPOSE

This study aimed to explore a combined transrectal ultrasound (TRUS) and radiomics model for predicting tumor regression grade (TRG) after neoadjuvant chemoradiotherapy (NCRT) in patients with locally advanced rectal cancer (LARC).

METHODS

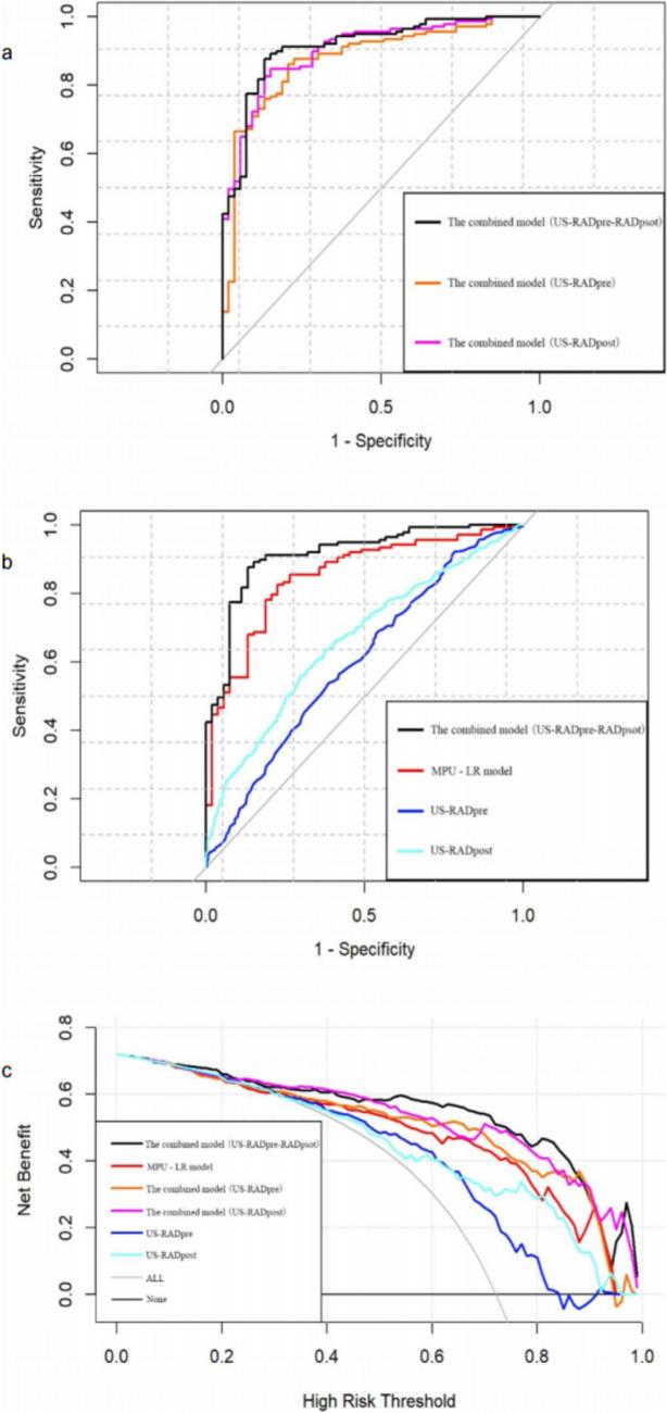
Among 190 patients with LARC, 53 belonged to GRG and 137 to PRG. Eight TRUS parameters were identified as statistically significant (P < 0.05) for distinguishing between the groups, including PSV, LD, TD, CEUS-IG, LD change rate, TD change rate, RI change rate, and CEUS-IG downgrade. The accuracies of these individual parameters in predicting TRG were 0.42, 0.62, 0.56, 0.68, 0.67, 0.70, 0.63, and 0.71, respectively. The AUC values were 0.596, 0.597, 0.630, 0.752, 0.686, 0.660, 0.650, and 0.666, respectively. The multi-parameter ultrasonic logistic regression (MPU-LR) model achieved an accuracy of 0.816 and an AUC of 0.851 (95% CI: [0.792-0.909]). The optimal pre- and post-treatment radiomics models were RF (Mean-PCA-RFE-6) and AE (Zscore-PCA-RFE-12), with accuracies of 0.563 and 0.596 and AUCs of 0.601 (95% CI: [0.561-0.641]) and 0.662 (95% CI: [0.630-0.694]), respectively. The combined model (US-RAD-RAD) showed the highest predictive power with accuracy and AUC of 0.863 and 0.913.

CONCLUSIONS

The combined model based on TRUS and radiomics demonstrated remarkable predictive capability for TRG after NCRT. It serves as a precision tool for assessing NCRT response in patients with LARC, impacting treatment strategies.

摘要

目的

本研究旨在探索一种经直肠超声(TRUS)与影像组学相结合的模型,用于预测局部晚期直肠癌(LARC)患者新辅助放化疗(NCRT)后的肿瘤退缩分级(TRG)。

方法

在190例LARC患者中,53例属于良好退缩组(GRG),137例属于部分退缩组(PRG)。8个TRUS参数被确定为在区分两组时具有统计学意义(P < 0.05),包括峰值流速(PSV)、纵向直径(LD)、横向直径(TD)、超声造影增强指数(CEUS-IG)、LD变化率、TD变化率、阻力指数(RI)变化率和CEUS-IG降级。这些单个参数预测TRG的准确率分别为0.42、0.62、0.56、0.68、0.67、0.70、0.63和0.71。曲线下面积(AUC)值分别为0.596、0.597、0.630、0.752、0.686、0.660、0.650和0.666。多参数超声逻辑回归(MPU-LR)模型的准确率为0.816,AUC为0.851(95%置信区间:[0.792 - 0.909])。治疗前和治疗后的最佳影像组学模型分别是随机森林(RF,均值-主成分分析-递归特征消除-6)和自动编码器(AE,Z分数-主成分分析-递归特征消除-12),准确率分别为0.563和0.596,AUC分别为0.601(95%置信区间:[0.561 - 0.641])和0.662(95%置信区间:[0.630 - 0.694])。联合模型(超声-影像组学-影像组学,US-RAD-RAD)显示出最高的预测能力,准确率和AUC分别为0.863和0.913。

结论

基于TRUS和影像组学的联合模型对NCRT后的TRG显示出显著的预测能力。它是评估LARC患者NCRT反应的一种精确工具,对治疗策略有影响。

https://cdn.ncbi.nlm.nih.gov/pmc/blobs/b7b7/11703880/29ce71a38446/384_2024_4792_Fig1_HTML.jpg

文献检索

告别复杂PubMed语法,用中文像聊天一样搜索,搜遍4000万医学文献。AI智能推荐,让科研检索更轻松。

立即免费搜索

文件翻译

保留排版,准确专业,支持PDF/Word/PPT等文件格式,支持 12+语言互译。

免费翻译文档

深度研究

AI帮你快速写综述,25分钟生成高质量综述,智能提取关键信息,辅助科研写作。

立即免费体验