• 文献检索
  • 文档翻译
  • 深度研究
  • 学术资讯
  • Suppr Zotero 插件Zotero 插件
  • 邀请有礼
  • 套餐&价格
  • 历史记录
应用&插件
Suppr Zotero 插件Zotero 插件浏览器插件Mac 客户端Windows 客户端微信小程序
定价
高级版会员购买积分包购买API积分包
服务
文献检索文档翻译深度研究API 文档MCP 服务
关于我们
关于 Suppr公司介绍联系我们用户协议隐私条款
关注我们

Suppr 超能文献

核心技术专利:CN118964589B侵权必究
粤ICP备2023148730 号-1Suppr @ 2026

文献检索

告别复杂PubMed语法,用中文像聊天一样搜索,搜遍4000万医学文献。AI智能推荐,让科研检索更轻松。

立即免费搜索

文件翻译

保留排版,准确专业,支持PDF/Word/PPT等文件格式,支持 12+语言互译。

免费翻译文档

深度研究

AI帮你快速写综述,25分钟生成高质量综述,智能提取关键信息,辅助科研写作。

立即免费体验

平菇酚类物质提取工艺的优化及其干燥处理对其理化特性和抗氧化性能的影响

Optimization of Phenolic Content Extraction and Effects of Drying Treatments on Physicochemical Characteristics and Antioxidant Properties of Edible Mushroom (Jacq.) P. Kumm (Oyster Mushroom).

作者信息

Villalobos-Pezos Marcelo, Muñoz-Fariña Ociel, Ah-Hen Kong Shun, Garrido-Figueroa María Fernanda, García-Figueroa Olga, González-Esparza Alexandra, González-Pérez de Medina Luisbel, Bastías-Montes José Miguel

机构信息

Faculty of Agricultural and Food Sciences, Graduate School, Austral University of Chile (UACh), Valdivia 509000, Chile.

Institute of Food Sciences and Technology, Austral University of Chile (UACh), Valdivia 509000, Chile.

出版信息

Antioxidants (Basel). 2024 Dec 23;13(12):1581. doi: 10.3390/antiox13121581.

DOI:10.3390/antiox13121581
PMID:39765908
原文链接:https://pmc.ncbi.nlm.nih.gov/articles/PMC11672878/
Abstract

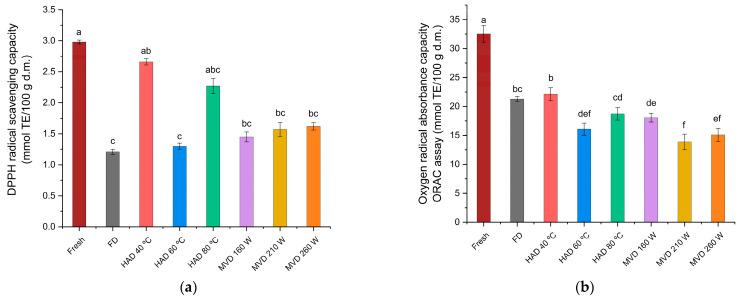
Edible mushrooms have been part of the human diet for centuries. Traditionally, they have been used for culinary and medicinal purposes due to their chemical composition and nutritional value, including their high antioxidant activity attributed to key metabolites such as phenolic compounds and ergothioneine. mushrooms, known for their potent antioxidant activity, are prone to spoilage shortly after harvest, making preservation methods necessary. Various drying methods were evaluated to determine their effects on physicochemical characteristics, antioxidant properties, and ergothioneine content. Mushrooms were subjected to freeze-drying (FD), hot-air-drying (HAD), and microwave-vacuum-drying (MVD). The rehydration rate, color, and microstructural characteristics of extracts from fresh and dried mushrooms were evaluated. Additionally, the total soluble phenolic content and antioxidant activity were assessed using DPPH and ORAC assays, along with the determination of ergothioneine content. FD and HAD at 40 °C showed the best results regarding the physicochemical characteristics. In terms of total soluble phenolic content, antioxidant activity, and ergothioneine content, the mushrooms dried using HAD at 40 °C showed the best retention of bioactive compounds. Among the evaluated methods, HAD at 40 °C proved to be a suitable alternative for processing .

摘要

几个世纪以来,可食用蘑菇一直是人类饮食的一部分。传统上,由于其化学成分和营养价值,它们被用于烹饪和药用,包括其高抗氧化活性,这归因于酚类化合物和麦角硫因等关键代谢产物。以其强大的抗氧化活性而闻名的蘑菇在收获后不久容易变质,因此需要保存方法。评估了各种干燥方法,以确定它们对物理化学特性、抗氧化性能和麦角硫因含量的影响。蘑菇经过冷冻干燥(FD)、热风干燥(HAD)和微波真空干燥(MVD)。评估了新鲜和干燥蘑菇提取物的复水率、颜色和微观结构特征。此外,使用DPPH和ORAC测定法评估了总可溶性酚含量和抗氧化活性,并测定了麦角硫因含量。在物理化学特性方面,40°C的FD和HAD显示出最佳结果。在总可溶性酚含量、抗氧化活性和麦角硫因含量方面,40°C的HAD干燥的蘑菇显示出生物活性化合物的最佳保留率。在评估的方法中,40°C的HAD被证明是一种合适的加工替代方法。

https://cdn.ncbi.nlm.nih.gov/pmc/blobs/edbe/11672878/8eaa57f45efa/antioxidants-13-01581-g012.jpg
https://cdn.ncbi.nlm.nih.gov/pmc/blobs/edbe/11672878/e670f09d56cd/antioxidants-13-01581-g001.jpg
https://cdn.ncbi.nlm.nih.gov/pmc/blobs/edbe/11672878/5944cf2b5ade/antioxidants-13-01581-g002.jpg
https://cdn.ncbi.nlm.nih.gov/pmc/blobs/edbe/11672878/4f4b9d549fc8/antioxidants-13-01581-g003.jpg
https://cdn.ncbi.nlm.nih.gov/pmc/blobs/edbe/11672878/f124eb520ca5/antioxidants-13-01581-g004.jpg
https://cdn.ncbi.nlm.nih.gov/pmc/blobs/edbe/11672878/fe9a6ac04022/antioxidants-13-01581-g005.jpg
https://cdn.ncbi.nlm.nih.gov/pmc/blobs/edbe/11672878/29319d1e1109/antioxidants-13-01581-g006.jpg
https://cdn.ncbi.nlm.nih.gov/pmc/blobs/edbe/11672878/37cb8f97c6f3/antioxidants-13-01581-g007.jpg
https://cdn.ncbi.nlm.nih.gov/pmc/blobs/edbe/11672878/2b3ad6299e84/antioxidants-13-01581-g008.jpg
https://cdn.ncbi.nlm.nih.gov/pmc/blobs/edbe/11672878/bbdfc22c79a9/antioxidants-13-01581-g009.jpg
https://cdn.ncbi.nlm.nih.gov/pmc/blobs/edbe/11672878/c24513820e3d/antioxidants-13-01581-g010.jpg
https://cdn.ncbi.nlm.nih.gov/pmc/blobs/edbe/11672878/e9e9f8368538/antioxidants-13-01581-g011.jpg
https://cdn.ncbi.nlm.nih.gov/pmc/blobs/edbe/11672878/8eaa57f45efa/antioxidants-13-01581-g012.jpg
https://cdn.ncbi.nlm.nih.gov/pmc/blobs/edbe/11672878/e670f09d56cd/antioxidants-13-01581-g001.jpg
https://cdn.ncbi.nlm.nih.gov/pmc/blobs/edbe/11672878/5944cf2b5ade/antioxidants-13-01581-g002.jpg
https://cdn.ncbi.nlm.nih.gov/pmc/blobs/edbe/11672878/4f4b9d549fc8/antioxidants-13-01581-g003.jpg
https://cdn.ncbi.nlm.nih.gov/pmc/blobs/edbe/11672878/f124eb520ca5/antioxidants-13-01581-g004.jpg
https://cdn.ncbi.nlm.nih.gov/pmc/blobs/edbe/11672878/fe9a6ac04022/antioxidants-13-01581-g005.jpg
https://cdn.ncbi.nlm.nih.gov/pmc/blobs/edbe/11672878/29319d1e1109/antioxidants-13-01581-g006.jpg
https://cdn.ncbi.nlm.nih.gov/pmc/blobs/edbe/11672878/37cb8f97c6f3/antioxidants-13-01581-g007.jpg
https://cdn.ncbi.nlm.nih.gov/pmc/blobs/edbe/11672878/2b3ad6299e84/antioxidants-13-01581-g008.jpg
https://cdn.ncbi.nlm.nih.gov/pmc/blobs/edbe/11672878/bbdfc22c79a9/antioxidants-13-01581-g009.jpg
https://cdn.ncbi.nlm.nih.gov/pmc/blobs/edbe/11672878/c24513820e3d/antioxidants-13-01581-g010.jpg
https://cdn.ncbi.nlm.nih.gov/pmc/blobs/edbe/11672878/e9e9f8368538/antioxidants-13-01581-g011.jpg
https://cdn.ncbi.nlm.nih.gov/pmc/blobs/edbe/11672878/8eaa57f45efa/antioxidants-13-01581-g012.jpg

相似文献

1
Optimization of Phenolic Content Extraction and Effects of Drying Treatments on Physicochemical Characteristics and Antioxidant Properties of Edible Mushroom (Jacq.) P. Kumm (Oyster Mushroom).平菇酚类物质提取工艺的优化及其干燥处理对其理化特性和抗氧化性能的影响
Antioxidants (Basel). 2024 Dec 23;13(12):1581. doi: 10.3390/antiox13121581.
2
Effects of Drying Treatments on the Physicochemical Characteristics and Antioxidant Properties of the Edible Wild Mushroom Lloyd (Digüeñe Mushroom).干燥处理对食用野生蘑菇劳埃德(迪盖内蘑菇)理化特性及抗氧化性能的影响
J Fungi (Basel). 2024 Dec 28;11(1):13. doi: 10.3390/jof11010013.
3
[The influence of the drying method for food properties and hypolidemic potential of oyster mushrooms ].[干燥方法对平菇食品特性及降血脂潜力的影响]
Vopr Pitan. 2018;87(2):65-76. doi: 10.24411/0042-8833-2018-10020. Epub 2018 Feb 26.
4
Effects of Various Drying Methods on Some Physico-Chemical Properties and the Antioxidant Profile and ACE Inhibition Activity of Oyster Mushrooms ().不同干燥方法对平菇某些理化性质、抗氧化特性及ACE抑制活性的影响()。
Foods. 2020 Feb 7;9(2):160. doi: 10.3390/foods9020160.
5
Influence of Convective and Vacuum-Type Drying on Quality, Microstructural, Antioxidant and Thermal Properties of Pretreated Mushrooms.对流和真空干燥对预处理蘑菇品质、微观结构、抗氧化和热特性的影响。
Molecules. 2022 Jun 24;27(13):4063. doi: 10.3390/molecules27134063.
6
Antioxidant and Anti-Inflammatory Activity of Five Medicinal Mushrooms of the Genus .五种[属名]药用蘑菇的抗氧化和抗炎活性
Antioxidants (Basel). 2022 Aug 13;11(8):1569. doi: 10.3390/antiox11081569.
7
Protective role of ergothioneine isolated from Pleurotus ostreatus against dextran sulfate sodium-induced ulcerative colitis in rat model.从糙皮侧耳中分离出的麦硫因对葡聚糖硫酸钠诱导的大鼠溃疡性结肠炎的保护作用。
J Food Sci. 2022 Jan;87(1):415-426. doi: 10.1111/1750-3841.15982. Epub 2021 Dec 6.
8
Proteome Analysis and In Vitro Antiviral, Anticancer and Antioxidant Capacities of the Aqueous Extracts of and Edible Mushrooms.菌物药和食药用菌水提物的蛋白质组分析及体外抗病毒、抗癌和抗氧化活性研究
Molecules. 2021 Jul 30;26(15):4623. doi: 10.3390/molecules26154623.
9
The Phytochemical Screening, Total Phenolic Contents and Antioxidant Activities of White Oyster Mushroom () Preparations.白平菇提取物的植物化学筛选、总酚含量及抗氧化活性
Open Access Maced J Med Sci. 2019 Jun 30;7(15):2404-2412. doi: 10.3889/oamjms.2019.741. eCollection 2019 Aug 15.
10
Modulation of the Gut Microbiota with Prebiotics and Antimicrobial Agents from Mushroom.利用益生元和蘑菇中的抗菌剂对肠道微生物群进行调节。
Foods. 2023 May 16;12(10):2010. doi: 10.3390/foods12102010.

引用本文的文献

1
Antioxidant and Anti-Inflammatory Properties of Mushroom-Based Food Additives and Food Fortified with Them-Current Status and Future Perspectives.基于蘑菇的食品添加剂及其强化食品的抗氧化和抗炎特性——现状与未来展望
Antioxidants (Basel). 2025 Apr 26;14(5):519. doi: 10.3390/antiox14050519.

本文引用的文献

1
Innovative Approach to Accelerate Wound Healing: Synthesis and Validation of Enzymatically Cross-Linked COL-rGO Biocomposite Hydrogels.加速伤口愈合的创新方法:酶促交联COL-rGO生物复合水凝胶的合成与验证
Gels. 2024 Jul 6;10(7):448. doi: 10.3390/gels10070448.
2
Effects of Drying Process and High Hydrostatic Pressure on Extraction of Antioxidant Ergothioneine from Singer.干燥工艺和高静水压对从香菇中提取抗氧化剂麦角硫因的影响。
Foods. 2024 Mar 14;13(6):878. doi: 10.3390/foods13060878.
3
Comparative antioxidant activity and phytochemical content of five extracts of Pleurotus ostreatus (oyster mushroom).
五种平菇(牡蛎菇)提取物的抗氧化活性和植物化学物质含量的比较。
Sci Rep. 2024 Feb 15;14(1):3794. doi: 10.1038/s41598-024-54201-x.
4
Optimization of Phenolic Compounds Extraction and Antioxidant Activity from Using Ultrasound-Assisted Extraction Technology.利用超声辅助提取技术优化[具体来源未给出,此处翻译为“从……中”]酚类化合物的提取及抗氧化活性
Metabolites. 2023 Apr 5;13(4):524. doi: 10.3390/metabo13040524.
5
Wheat Bread Supplemented with Powder: Effect on Bioactive Substances Content and Technological Quality.添加[具体粉末名称]的小麦面包:对生物活性物质含量和工艺品质的影响
Foods. 2022 Nov 24;11(23):3786. doi: 10.3390/foods11233786.
6
The effect of six dried and UV-C-irradiated mushrooms powder on lipid oxidation and vitamin D contents of fish meat.六种干制和 UV-C 辐照蘑菇粉对鱼肉脂质氧化和维生素 D 含量的影响。
Food Chem. 2023 Jan 1;398:133917. doi: 10.1016/j.foodchem.2022.133917. Epub 2022 Aug 10.
7
Effects of Heat Stress and Exogenous Salicylic Acid on Secondary Metabolites Biosynthesis in (Jacq.) P. Kumm.热胁迫和外源水杨酸对(雅克)P. 库姆植物次生代谢产物生物合成的影响
Life (Basel). 2022 Jun 17;12(6):915. doi: 10.3390/life12060915.
8
Investigation on the rehydration mechanism of freeze-dried and hot-air dried shiitake mushrooms from pores and cell wall fibrous material.从孔隙和细胞壁纤维材料探讨冻干和热风干燥香菇的复水机制。
Food Chem. 2022 Jul 30;383:132360. doi: 10.1016/j.foodchem.2022.132360. Epub 2022 Feb 6.
9
The effect of light conditions on the content of selected active ingredients in anatomical parts of the oyster mushroom (Pleurotus ostreatus L.).光照条件对牡蛎蘑菇(平菇)解剖部位中选定活性成分含量的影响。
PLoS One. 2022 Jan 4;17(1):e0262279. doi: 10.1371/journal.pone.0262279. eCollection 2022.
10
Effects of dielectric properties and microstructures on microwave-vacuum drying of mushroom (Agaricus bisporus) caps and stipes evaluated by non-destructive techniques.采用无损检测技术评估介电性能和微观结构对双孢蘑菇(Agaricus bisporus)菌盖和菌柄微波真空干燥的影响。
Food Chem. 2022 Jan 15;367:130698. doi: 10.1016/j.foodchem.2021.130698. Epub 2021 Jul 27.