• 文献检索
  • 文档翻译
  • 深度研究
  • 学术资讯
  • Suppr Zotero 插件Zotero 插件
  • 邀请有礼
  • 套餐&价格
  • 历史记录
应用&插件
Suppr Zotero 插件Zotero 插件浏览器插件Mac 客户端Windows 客户端微信小程序
定价
高级版会员购买积分包购买API积分包
服务
文献检索文档翻译深度研究API 文档MCP 服务
关于我们
关于 Suppr公司介绍联系我们用户协议隐私条款
关注我们

Suppr 超能文献

核心技术专利:CN118964589B侵权必究
粤ICP备2023148730 号-1Suppr @ 2026

文献检索

告别复杂PubMed语法,用中文像聊天一样搜索,搜遍4000万医学文献。AI智能推荐,让科研检索更轻松。

立即免费搜索

文件翻译

保留排版,准确专业,支持PDF/Word/PPT等文件格式,支持 12+语言互译。

免费翻译文档

深度研究

AI帮你快速写综述,25分钟生成高质量综述,智能提取关键信息,辅助科研写作。

立即免费体验

佩戴口罩对口腔癌术后患者生活质量的影响:一项横断面研究。

Impact of Face Mask-Wearing on Quality of Life in Post-Surgical Oral Cancer Patients: A Cross-Sectional Study.

作者信息

Lan Romain, Silvestri Frédéric, Rhanoui Maryem, Bezier Cassandre, Fakhry Nicolas, Carrouel Florence, Mense Chloé

机构信息

Aix-Marseille Univ CNRS, ADES, 13015 Marseille, France.

Functional Unit of Maxillo-Facial Prosthesis, Timone University Hospital, 13005 Marseille, France.

出版信息

Cancers (Basel). 2024 Dec 17;16(24):4199. doi: 10.3390/cancers16244199.

DOI:10.3390/cancers16244199
PMID:39766098
原文链接:https://pmc.ncbi.nlm.nih.gov/articles/PMC11674196/
Abstract

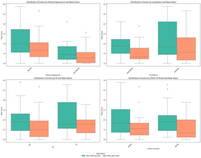
Treatments for oral squamous cell carcinomas (OSCCs) often result in significant aesthetic and functional issues, impacting patients' quality of life (QoL). The COVID-19 pandemic's mask mandates may have provided psychosocial benefits by concealing facial disfigurements, potentially reducing stigma. This study aimed to assess the impact of mask-wearing on the QoL of patients surgically treated for OSCC. This single-center, cross-sectional study, conducted from June 2022 to December 2023, included patients who had completed their treatment and returned home before or during the mask-wearing mandate. They answered a questionnaire using a four-point Likert scale to evaluate the mask-wearing's impact on QoL and the influence on it of physical appearance, tumor localization, radiotherapy, and treatment end date. The questionnaire analysis found a high internal consistency among the questions (Cronbach's alpha = 0.931). Considering 41 patients (median age 69, 63% male), wearing a mask significantly improved QoL, with a mean score of 1.66 compared to a score of 2.00 for patients not wearing it ( < 0.001). This improvement was particularly notable for appearance concerns, fear of perception by family or others, and sociability apprehension. The QoL, with or without mask use, was not significantly modified when considering physical appearance, tumor localization, radiotherapy, or end date of the treatment, as demonstrated by two-way ANOVA tests and multiple linear regression. Mask-wearing positively impacted QoL in OSCC patients, providing psychological relief from disfigurement and social stigma. Masks offer a simple, accessible solution to enhance QoL while awaiting a definitive prosthetic treatment, suggesting that their continued use could be beneficial in supportive care strategies.

摘要

口腔鳞状细胞癌(OSCC)的治疗常常会导致严重的美观和功能问题,影响患者的生活质量(QoL)。新冠疫情期间的口罩强制令可能通过掩盖面部畸形带来了心理社会益处,潜在地减少了耻辱感。本研究旨在评估佩戴口罩对接受手术治疗的OSCC患者生活质量的影响。这项单中心横断面研究于2022年6月至2023年12月进行,纳入了在口罩强制令实施之前或期间完成治疗并回家的患者。他们使用四点李克特量表回答了一份问卷,以评估佩戴口罩对生活质量的影响以及身体外观、肿瘤位置、放疗和治疗结束日期对其的影响。问卷分析发现问题之间具有较高的内部一致性(克朗巴哈系数=0.931)。考虑到41名患者(中位年龄69岁,63%为男性),佩戴口罩显著改善了生活质量,平均得分为1.66,而未佩戴口罩的患者得分为2.00(<0.001)。这种改善在外观担忧、对家人或他人看法的恐惧以及社交忧虑方面尤为显著。通过双向方差分析测试和多元线性回归表明,无论是否使用口罩,在考虑身体外观、肿瘤位置、放疗或治疗结束日期时,生活质量均无显著变化。佩戴口罩对OSCC患者的生活质量产生了积极影响,减轻了面部畸形和社会耻辱带来的心理负担。口罩提供了一种简单、可及的解决方案,在等待确定性修复治疗期间提高生活质量,这表明继续使用口罩可能对支持性护理策略有益。

https://cdn.ncbi.nlm.nih.gov/pmc/blobs/8756/11674196/0e6013203e58/cancers-16-04199-g004.jpg
https://cdn.ncbi.nlm.nih.gov/pmc/blobs/8756/11674196/458b1c43dc28/cancers-16-04199-g001.jpg
https://cdn.ncbi.nlm.nih.gov/pmc/blobs/8756/11674196/2fde338c7a2e/cancers-16-04199-g002.jpg
https://cdn.ncbi.nlm.nih.gov/pmc/blobs/8756/11674196/975150709246/cancers-16-04199-g003.jpg
https://cdn.ncbi.nlm.nih.gov/pmc/blobs/8756/11674196/0e6013203e58/cancers-16-04199-g004.jpg
https://cdn.ncbi.nlm.nih.gov/pmc/blobs/8756/11674196/458b1c43dc28/cancers-16-04199-g001.jpg
https://cdn.ncbi.nlm.nih.gov/pmc/blobs/8756/11674196/2fde338c7a2e/cancers-16-04199-g002.jpg
https://cdn.ncbi.nlm.nih.gov/pmc/blobs/8756/11674196/975150709246/cancers-16-04199-g003.jpg
https://cdn.ncbi.nlm.nih.gov/pmc/blobs/8756/11674196/0e6013203e58/cancers-16-04199-g004.jpg

相似文献

1
Impact of Face Mask-Wearing on Quality of Life in Post-Surgical Oral Cancer Patients: A Cross-Sectional Study.佩戴口罩对口腔癌术后患者生活质量的影响:一项横断面研究。
Cancers (Basel). 2024 Dec 17;16(24):4199. doi: 10.3390/cancers16244199.
2
Influence of colored face masks on judgments of facial attractiveness and gaze patterns.彩色口罩对面部吸引力和注视模式判断的影响。
Acta Psychol (Amst). 2023 Sep;239:103994. doi: 10.1016/j.actpsy.2023.103994. Epub 2023 Aug 2.
3
An epidemiological study on face masks and acne in a Nigerian population.一项针对尼日利亚人群中口罩与痤疮关系的流行病学研究。
PLoS One. 2022 May 19;17(5):e0268224. doi: 10.1371/journal.pone.0268224. eCollection 2022.
4
Behind the mask: Stuttering, anxiety, and communication dynamics in the era of COVID-19.掩面之下:COVID-19 时代的口吃、焦虑与交流动态。
Int J Lang Commun Disord. 2024 Nov-Dec;59(6):2454-2464. doi: 10.1111/1460-6984.13096. Epub 2024 Jul 30.
5
Belief in Protecting Others and Social Perceptions of Face Mask Wearing Were Associated With Frequent Mask Use in the Early Stages of the COVID Pandemic in the UK.在英国新冠疫情早期,保护他人的信念以及对佩戴口罩的社会认知与频繁佩戴口罩有关。
Front Psychol. 2021 Oct 22;12:680552. doi: 10.3389/fpsyg.2021.680552. eCollection 2021.
6
Orthodontic Adolescent Patients' Attitudes toward Protective Face Mask Wearing during the COVID-19 Pandemic.正畸青少年患者对在 COVID-19 大流行期间佩戴防护面罩的态度。
Medicina (Kaunas). 2022 Mar 6;58(3):393. doi: 10.3390/medicina58030393.
7
Sports despite masks: no negative effects of FFP2 face masks on cardiopulmonary exercise capacity in children.戴口罩进行运动:FFP2口罩对儿童心肺运动能力无负面影响。
Eur J Pediatr. 2024 Feb;183(2):639-648. doi: 10.1007/s00431-023-05316-2. Epub 2023 Nov 11.
8
The Experiences of Autistic People When Facemask Wearing and Interacting with Masked Individuals.自闭症患者佩戴口罩及与戴口罩者互动时的经历。
Autism Adulthood. 2024 Jun 17;6(2):162-176. doi: 10.1089/aut.2022.0091. eCollection 2024 Jun.
9
The Impact of Mask Mandates on Face Mask Use During the COVID-19 Pandemic: Longitudinal Survey Study.口罩令对 COVID-19 大流行期间口罩使用的影响:纵向调查研究。
JMIR Public Health Surveill. 2023 Jan 11;9:e42616. doi: 10.2196/42616.
10
Evaluation of the effects on SpO2 of N95 mask (FFP2) on dental health care providers: a cross-sectional observational study.评价 N95 口罩(FFP2)对牙科医护人员 SpO2 的影响:一项横断面观察性研究。
BMC Health Serv Res. 2022 Feb 24;22(1):248. doi: 10.1186/s12913-022-07648-5.

本文引用的文献

1
The impact of COVID-19 pandemic on head and neck cancer diagnosis and treatment.2019冠状病毒病大流行对头颈部癌症诊断与治疗的影响。
J Dent Sci. 2024 Jul;19(3):1620-1627. doi: 10.1016/j.jds.2023.12.005. Epub 2023 Dec 16.
2
Assessment of Shame and Stigma in Head and Neck Cancer: A Meta-Analysis.头颈癌患者羞耻感与污名化的评估:一项荟萃分析
J Maxillofac Oral Surg. 2024 Feb;23(1):16-22. doi: 10.1007/s12663-021-01658-2. Epub 2021 Oct 23.
3
New insights into redox-related risk factors and therapeutic targets in oral squamous cell carcinoma.
口腔鳞状细胞癌中与氧化还原相关的风险因素和治疗靶点的新见解。
Oral Oncol. 2023 Dec;147:106573. doi: 10.1016/j.oraloncology.2023.106573. Epub 2023 Nov 9.
4
Quality of Life in Oral Cancer Patients in Greek Clinical Practice: A Cohort Study.希腊临床实践中口腔癌患者的生活质量:一项队列研究。
J Clin Med. 2022 Dec 6;11(23):7235. doi: 10.3390/jcm11237235.
5
Effects of widespread community use of face masks on communication, participation, and quality of life in Australia during the COVID-19 pandemic.新冠疫情期间澳大利亚全民广泛使用口罩对交流、参与和生活质量的影响。
Cogn Res Princ Implic. 2022 Oct 1;7(1):88. doi: 10.1186/s41235-022-00436-z.
6
Dealing with the Vicissitudes and Abject Consequences of Head and Neck Cancer: A Vital Role for Psycho-Oncology.应对头颈部癌症的变迁和悲惨后果:心理肿瘤学的重要作用。
Curr Oncol. 2022 Sep 19;29(9):6714-6723. doi: 10.3390/curroncol29090527.
7
The impact of depression on survival of head and neck cancer patients: A population-based cohort study.抑郁症对头颈部癌症患者生存的影响:一项基于人群的队列研究。
Front Oncol. 2022 Aug 25;12:871915. doi: 10.3389/fonc.2022.871915. eCollection 2022.
8
Correlation of histopathological patterns of OSCC patients with tumor site and habits.口腔鳞状细胞癌患者的组织病理学模式与肿瘤部位和习惯的相关性。
BMC Oral Health. 2022 Jul 23;22(1):305. doi: 10.1186/s12903-022-02336-6.
9
Health-Related Quality of Life, Psychosocial Distress and Unmet Needs in Older Patients With Head and Neck Cancer.老年头颈癌患者的健康相关生活质量、心理社会困扰及未满足的需求
Front Oncol. 2022 Feb 15;12:834068. doi: 10.3389/fonc.2022.834068. eCollection 2022.
10
COVID-19 Pandemic: Effect of Different Face Masks on Self-Perceived Dry Mouth and Halitosis.新型冠状病毒肺炎大流行:不同口罩对面部自觉干燥和口臭的影响。
Int J Environ Res Public Health. 2021 Aug 31;18(17):9180. doi: 10.3390/ijerph18179180.