Suppr超能文献

使用微萃取探针进行化学活检的代谢组学和脂质组学分析用于移植前延迟移植肾功能风险评估

Metabolomic and Lipidomic Profiling for Pre-Transplant Assessment of Delayed Graft Function Risk Using Chemical Biopsy with Microextraction Probes.

作者信息

Warmuzińska Natalia, Łuczykowski Kamil, Stryjak Iga, Wojtal Emilia, Woderska-Jasińska Aleksandra, Masztalerz Marek, Włodarczyk Zbigniew, Bojko Barbara

机构信息

Department of Pharmacodynamics and Molecular Pharmacology, Faculty of Pharmacy, Collegium Medicum in Bydgoszcz, Nicolaus Copernicus University in Torun, 85-089 Bydgoszcz, Poland.

Department of Transplantology and General Surgery, Faculty of Medicine, Collegium Medicum in Bydgoszcz, Antoni Jurasz University Hospital No. 1 in Bydgoszcz, Nicolaus Copernicus University in Torun, 85-094 Bydgoszcz, Poland.

出版信息

Int J Mol Sci. 2024 Dec 17;25(24):13502. doi: 10.3390/ijms252413502.

Abstract

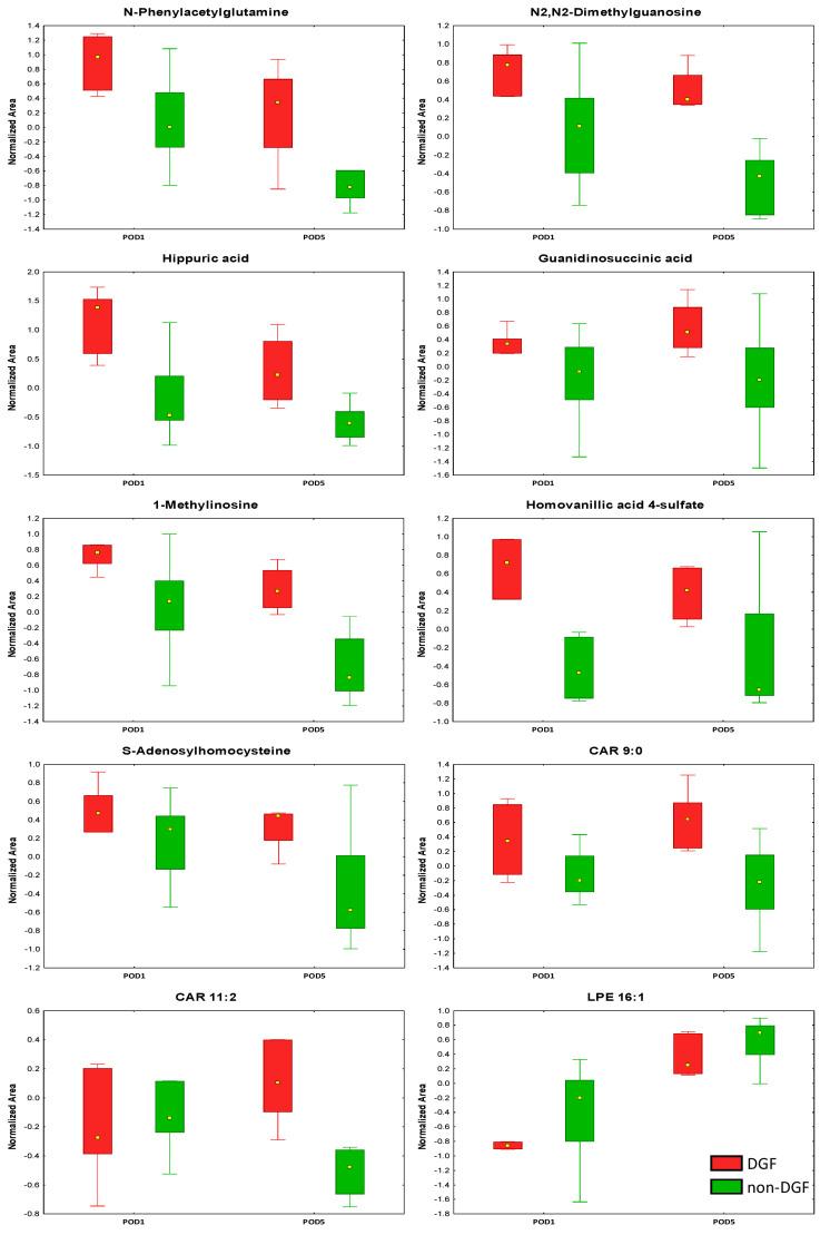
Organ shortage remains a significant challenge in transplantology, prompting efforts to maximize the use of available organs and expand the donor pool, including through extended criteria donors (ECDs). However, ECD kidney recipients often face poorer outcomes, including a higher incidence of delayed graft function (DGF), which is linked to worse graft performance, reduced long-term survival, and an increased need for interventions like dialysis. This underscores the urgent need for strategies to improve early DGF risk assessment and optimize post-transplant management for high-risk patients. This study conducted multi-time point metabolomic and lipidomic analyses of donor kidney tissue and recipient plasma to identify compounds predicting DGF risk and assess the translational potential of solid-phase microextraction (SPME) for graft evaluation and early complication detection. The SPME-based chemical biopsy enabled a direct kidney analysis, while thin-film microextraction facilitated high-throughput plasma preparation. Following high-performance liquid chromatography coupled with a mass spectrometry analysis, the random forest algorithm was applied to identify compounds with predictive potential for assessing DGF risk before transplantation. Additionally, a comparison of metabolomic and lipidomic profiles of recipient plasma during the early post-operative days identified metabolites that distinguish between DGF and non-DGF patients. The selected compounds primarily included amino acids and their derivatives, nucleotides, organic acids, peptides, and lipids, particularly phospholipids and triacylglycerols. In conclusion, this study highlights the significant translational potential of chemical biopsies and plasma metabolite analyses for risk assessments and the non-invasive monitoring of DGF. The identified metabolites provide a foundation for developing a comprehensive DGF assessment and monitoring method, with potential integration into routine clinical practice.

摘要

器官短缺仍然是移植学中的一项重大挑战,促使人们努力最大限度地利用可用器官并扩大供体库,包括通过扩大标准供体(ECD)来实现。然而,ECD肾移植受者往往面临较差的预后,包括移植肾功能延迟恢复(DGF)的发生率较高,这与较差的移植功能、降低的长期生存率以及增加的透析等干预需求有关。这凸显了迫切需要制定策略来改善早期DGF风险评估,并优化高危患者的移植后管理。本研究对供体肾组织和受者血浆进行了多次代谢组学和脂质组学分析,以确定预测DGF风险的化合物,并评估固相微萃取(SPME)在移植评估和早期并发症检测中的转化潜力。基于SPME的化学活检能够直接对肾脏进行分析,而薄膜微萃取则有助于高通量血浆制备。在进行高效液相色谱与质谱分析后,应用随机森林算法识别出具有预测移植前DGF风险潜力的化合物。此外,对术后早期受者血浆的代谢组学和脂质组学谱进行比较,确定了区分DGF和非DGF患者的代谢物。所选化合物主要包括氨基酸及其衍生物、核苷酸、有机酸、肽和脂质,特别是磷脂和三酰甘油。总之,本研究强调了化学活检和血浆代谢物分析在风险评估和DGF无创监测方面的显著转化潜力。所确定的代谢物为开发全面的DGF评估和监测方法奠定了基础,并有可能整合到常规临床实践中。

https://cdn.ncbi.nlm.nih.gov/pmc/blobs/01a1/11728147/9fea2a46c6c9/ijms-25-13502-g001.jpg

文献检索

告别复杂PubMed语法,用中文像聊天一样搜索,搜遍4000万医学文献。AI智能推荐,让科研检索更轻松。

立即免费搜索

文件翻译

保留排版,准确专业,支持PDF/Word/PPT等文件格式,支持 12+语言互译。

免费翻译文档

深度研究

AI帮你快速写综述,25分钟生成高质量综述,智能提取关键信息,辅助科研写作。

立即免费体验