• 文献检索
  • 文档翻译
  • 深度研究
  • 学术资讯
  • Suppr Zotero 插件Zotero 插件
  • 邀请有礼
  • 套餐&价格
  • 历史记录
应用&插件
Suppr Zotero 插件Zotero 插件浏览器插件Mac 客户端Windows 客户端微信小程序
定价
高级版会员购买积分包购买API积分包
服务
文献检索文档翻译深度研究API 文档MCP 服务
关于我们
关于 Suppr公司介绍联系我们用户协议隐私条款
关注我们

Suppr 超能文献

核心技术专利:CN118964589B侵权必究
粤ICP备2023148730 号-1Suppr @ 2026

文献检索

告别复杂PubMed语法,用中文像聊天一样搜索,搜遍4000万医学文献。AI智能推荐,让科研检索更轻松。

立即免费搜索

文件翻译

保留排版,准确专业,支持PDF/Word/PPT等文件格式,支持 12+语言互译。

免费翻译文档

深度研究

AI帮你快速写综述,25分钟生成高质量综述,智能提取关键信息,辅助科研写作。

立即免费体验

将具有增强荧光和稳定性的L-半胱氨酸修饰的金纳米团簇整合到ZIF-8中用于铜离子的灵敏检测

Integrating L-Cys-AuNCs in ZIF-8 with Enhanced Fluorescence and Strengthened Stability for Sensitive Detection of Copper Ions.

作者信息

Zhou Ting, Zang Luyao, Zhang Xia, Liu Xia, Qu Zijie, Zhang Guodong, Wang Xiufeng, Wang Fang, Zhang Zhiqing

机构信息

Department of Chemistry, College of Chemistry and Chemical Engineering, China University of Petroleum (East China), Qingdao 266580, China.

出版信息

Molecules. 2024 Dec 20;29(24):6011. doi: 10.3390/molecules29246011.

DOI:10.3390/molecules29246011
PMID:39770099
原文链接:https://pmc.ncbi.nlm.nih.gov/articles/PMC11677756/
Abstract

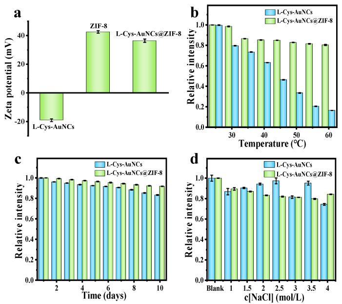
Gold nanoclusters (AuNCs) have been widely investigated because of their unique photoluminescence properties. However, the applications of AuNCs are limited by their poor stability and relatively low fluorescence. In the present work, we developed nanocomposites (L-Cys-AuNCs@ZIF-8) with high fluorescence and stability, which were constructed by encapsulating the water-dispersible L-Cys-AuNCs into a ZIF-8 via Zn-triggered growth strategy without high temperature and pressure. The maximum emission wavelength of the L-Cys-AuNCs@ZIF-8 composite was at 868 nm, and the fluorescence intensity of L-Cys-AuNCs@ZIF-8 was nearly nine-fold compared with L-Cys-AuNCs without the ZIF-8 package. The mechanism investigation by fluorescence spectroscopy and X-ray photoelectron spectroscopy showed that L-Cys-AuNCs@ZIF-8 impeded ligand rotation, induced energy dissipation, and diminished the self-quenching effect, attributing to the spatial distribution of L-Cys-AuNCs. Based on the high fluorescence efficiency of L-Cys-AuNCs@ZIF-8, a "signal off" detective platform was proposed with copper ions as a model analyte, achieving a sensitive detection limit of Cu at 16.7 nM. The quenching mechanism was confirmed, showing that the structure of the L-Cys-AuNCs@ZIF-8 nanocomposites was collapsed by the addition of Cu. Attributing to the strong adsorption ability between copper ions and pyridyl nitrogen, the as-prepared L-Cys-AuNCs@ZIF-8 was shown to accumulate Cu, and the Zn in ZIF-8 was replaced by Cu.

摘要

金纳米团簇(AuNCs)因其独特的光致发光特性而受到广泛研究。然而,AuNCs的应用受到其稳定性差和荧光相对较低的限制。在本工作中,我们通过锌触发生长策略在无需高温高压的情况下将水分散性L-半胱氨酸修饰的金纳米团簇(L-Cys-AuNCs)封装到ZIF-8中,制备了具有高荧光和稳定性的纳米复合材料(L-Cys-AuNCs@ZIF-8)。L-Cys-AuNCs@ZIF-8复合材料的最大发射波长为868 nm,与未包裹ZIF-8的L-Cys-AuNCs相比,L-Cys-AuNCs@ZIF-8的荧光强度提高了近9倍。通过荧光光谱和X射线光电子能谱进行的机理研究表明,L-Cys-AuNCs@ZIF-8阻碍了配体旋转,诱导了能量耗散,并减少了自猝灭效应,这归因于L-Cys-AuNCs的空间分布。基于L-Cys-AuNCs@ZIF-8的高荧光效率,提出了以铜离子为模型分析物的“信号关闭”检测平台,实现了对铜的灵敏检测限为16.7 nM。淬灭机理得到证实,表明添加铜会导致L-Cys-AuNCs@ZIF-8纳米复合材料的结构坍塌。由于铜离子与吡啶氮之间具有很强的吸附能力,所制备的L-Cys-AuNCs@ZIF-8能够积累铜,并且ZIF-8中的锌被铜取代。

https://cdn.ncbi.nlm.nih.gov/pmc/blobs/6d2c/11677756/8f4227c64ab4/molecules-29-06011-g006.jpg
https://cdn.ncbi.nlm.nih.gov/pmc/blobs/6d2c/11677756/0a05e9d84e25/molecules-29-06011-sch001.jpg
https://cdn.ncbi.nlm.nih.gov/pmc/blobs/6d2c/11677756/0058f17b0ffb/molecules-29-06011-g001.jpg
https://cdn.ncbi.nlm.nih.gov/pmc/blobs/6d2c/11677756/19bfcbd55953/molecules-29-06011-g002.jpg
https://cdn.ncbi.nlm.nih.gov/pmc/blobs/6d2c/11677756/9ebe6c12cbde/molecules-29-06011-g003.jpg
https://cdn.ncbi.nlm.nih.gov/pmc/blobs/6d2c/11677756/7c31ddf3cf7e/molecules-29-06011-g004.jpg
https://cdn.ncbi.nlm.nih.gov/pmc/blobs/6d2c/11677756/fd33e4bfdc0b/molecules-29-06011-g005.jpg
https://cdn.ncbi.nlm.nih.gov/pmc/blobs/6d2c/11677756/8f4227c64ab4/molecules-29-06011-g006.jpg
https://cdn.ncbi.nlm.nih.gov/pmc/blobs/6d2c/11677756/0a05e9d84e25/molecules-29-06011-sch001.jpg
https://cdn.ncbi.nlm.nih.gov/pmc/blobs/6d2c/11677756/0058f17b0ffb/molecules-29-06011-g001.jpg
https://cdn.ncbi.nlm.nih.gov/pmc/blobs/6d2c/11677756/19bfcbd55953/molecules-29-06011-g002.jpg
https://cdn.ncbi.nlm.nih.gov/pmc/blobs/6d2c/11677756/9ebe6c12cbde/molecules-29-06011-g003.jpg
https://cdn.ncbi.nlm.nih.gov/pmc/blobs/6d2c/11677756/7c31ddf3cf7e/molecules-29-06011-g004.jpg
https://cdn.ncbi.nlm.nih.gov/pmc/blobs/6d2c/11677756/fd33e4bfdc0b/molecules-29-06011-g005.jpg
https://cdn.ncbi.nlm.nih.gov/pmc/blobs/6d2c/11677756/8f4227c64ab4/molecules-29-06011-g006.jpg

相似文献

1
Integrating L-Cys-AuNCs in ZIF-8 with Enhanced Fluorescence and Strengthened Stability for Sensitive Detection of Copper Ions.将具有增强荧光和稳定性的L-半胱氨酸修饰的金纳米团簇整合到ZIF-8中用于铜离子的灵敏检测
Molecules. 2024 Dec 20;29(24):6011. doi: 10.3390/molecules29246011.
2
Embedding carbon dots and gold nanoclusters in metal-organic frameworks for ratiometric fluorescence detection of Cu.将碳点和金纳米簇嵌入金属有机骨架中用于 Cu 的比率荧光检测。
Anal Bioanal Chem. 2020 Feb;412(6):1317-1324. doi: 10.1007/s00216-019-02353-5. Epub 2020 Jan 11.
3
Smartphone-assisted fluorescence sensor based on AuNCs/ZIF-8 for highly selective detection of Sb ions.基于金纳米团簇/沸石咪唑酯骨架材料-8的智能手机辅助荧光传感器用于高选择性检测锑离子。
Mikrochim Acta. 2025 Feb 12;192(3):155. doi: 10.1007/s00604-025-06990-9.
4
A highly sensitive fluorescence "on-off-on" sensing platform for captopril detection based on AuNCs@ZIF-8 nanocomposite.基于金纳米团簇@沸石咪唑酯骨架材料-8纳米复合材料的用于卡托普利检测的高灵敏度荧光“开-关-开”传感平台。
Anal Chim Acta. 2023 Oct 2;1276:341649. doi: 10.1016/j.aca.2023.341649. Epub 2023 Jul 20.
5
Highly dispersive AuNCs/ChOx@ZIF-8/PEI nanocomplexes for fluorescent detection of cholesterol in human serum.高分散性 AuNCs/ChOx@ZIF-8/PEI 纳米复合物用于人血清中胆固醇的荧光检测。
Mikrochim Acta. 2022 Apr 27;189(5):203. doi: 10.1007/s00604-022-05306-5.
6
Biomimetic mineralization-based In situ growth of AuNCs@ZIF-8 on paper fibers for visual detection of copper ions.基于仿生矿化的金纳米笼@ZIF-8 在纸纤维上的原位生长用于可视化检测铜离子。
Talanta. 2024 Feb 1;268(Pt 1):125364. doi: 10.1016/j.talanta.2023.125364. Epub 2023 Oct 29.
7
Zeolitic imidazolate framework-8 encapsulating gold nanoclusters and carbon dots for ratiometric fluorescent detection of adenosine triphosphate and cellular imaging.负载金纳米团簇和碳点的沸石咪唑酯骨架材料-8用于三磷酸腺苷的比率荧光检测及细胞成像
Talanta. 2023 Apr 1;255:124226. doi: 10.1016/j.talanta.2022.124226. Epub 2022 Dec 26.
8
Construction of a N-CDs/AuNCs@ZIF-8-assisted ratiometric fluorescent nanosensor for glyphosate detection in edible and medicinal malt.构建用于食用和药用麦芽中草甘膦检测的N-碳点/Au纳米簇@ZIF-8辅助比率荧光纳米传感器。
Food Chem X. 2024 Nov 8;24:101983. doi: 10.1016/j.fochx.2024.101983. eCollection 2024 Dec 30.
9
Gold nanoclusters-poly(9,9-dioctylfluorenyl-2,7-diyl) dots@zeolitic imidazolate framework-8 (ZIF-8) nanohybrid based probe for ratiometric analysis of dopamine.基于金纳米簇-聚(9,9-二辛基芴-2,7-二基)点@沸石咪唑酯骨架-8(ZIF-8)纳米杂化探针的多巴胺比率分析。
Anal Chim Acta. 2020 Feb 15;1098:102-109. doi: 10.1016/j.aca.2019.10.065. Epub 2019 Oct 31.
10
A Competitive "On-Off-Enhanced On" AIE Fluorescence Switch for Detecting Biothiols Based on Hg Ions and Gold Nanoclusters.基于汞离子和金纳米簇的竞争型“开-关-增强开”AIE 荧光开关用于检测生物硫醇。
Biosensors (Basel). 2022 Dec 27;13(1):35. doi: 10.3390/bios13010035.

本文引用的文献

1
A Spectral Detection Method Based on Integrated and Partition Modeling for Trace Copper in High-Concentration Zinc Solution.一种基于集成与分区建模的高浓度锌溶液中痕量铜光谱检测方法。
Molecules. 2024 Aug 24;29(17):4006. doi: 10.3390/molecules29174006.
2
Controlled nanocrystallization of gold nanoclusters within surfactant envelopes: enhancing aggregation-induced emission in solution.表面活性剂包膜内金纳米团簇的可控纳米结晶:增强溶液中的聚集诱导发光
Chem Sci. 2024 Jun 24;15(30):11775-11782. doi: 10.1039/d4sc02834a. eCollection 2024 Jul 31.
3
Highly Electroactive Co-Based Metal-Organic Frameworks as an Efficient Coreaction Accelerator for Amplifying Near-Infrared Electrochemiluminescence of Gold Nanoclusters in Biomarkers Immunoassay.
高电活性 Co 基金属有机框架作为一种有效的共反应加速剂,用于放大生物标志物免疫分析中金纳米簇的近红外电化学发光。
Anal Chem. 2024 Jul 9;96(27):11044-11051. doi: 10.1021/acs.analchem.4c01894. Epub 2024 Jun 27.
4
Structure Effects of Ligands in Gold-Ligand Complexes for Controlled Formation of Gold Nanoclusters.用于可控合成金纳米团簇的金-配体配合物中配体的结构效应
ACS Nano. 2024 Jun 4;18(22):14244-14254. doi: 10.1021/acsnano.3c12695. Epub 2024 May 17.
5
Photofunctional Gold Nanocluster Composites for Bioapplications.用于生物应用的光功能化金纳米簇复合材料。
ACS Appl Bio Mater. 2024 May 20;7(5):2695-2703. doi: 10.1021/acsabm.4c00376. Epub 2024 May 3.
6
An array of femtoliter wells for sensitive detection of copper using click chemistry.采用点击化学技术的纳升级微流控芯片,用于铜的灵敏检测。
Talanta. 2024 Jul 1;274:125973. doi: 10.1016/j.talanta.2024.125973. Epub 2024 Mar 22.
7
The roles of templates consisting of amino acids in the synthesis and application of gold nanoclusters.氨基酸模板在金纳米簇的合成与应用中的作用。
Nanoscale. 2024 Apr 18;16(15):7287-7306. doi: 10.1039/d3nr06042j.
8
Visible to NIR-II Photoluminescence of Atomically Precise Gold Nanoclusters.原子精确的金纳米团簇的近红外二区可见光致发光
Adv Mater. 2024 Feb;36(8):e2309073. doi: 10.1002/adma.202309073. Epub 2023 Dec 3.
9
Biomimetic mineralization-based In situ growth of AuNCs@ZIF-8 on paper fibers for visual detection of copper ions.基于仿生矿化的金纳米笼@ZIF-8 在纸纤维上的原位生长用于可视化检测铜离子。
Talanta. 2024 Feb 1;268(Pt 1):125364. doi: 10.1016/j.talanta.2023.125364. Epub 2023 Oct 29.
10
All-in-One Zinc-Doped Prussian Blue Nanozyme for Efficient Capture, Separation, and Detection of Copper Ion (Cu ) in Complicated Matrixes.全合一锌掺杂普鲁士蓝纳米酶用于复杂基质中铜离子 (Cu ) 的高效捕获、分离和检测。
Small. 2024 Feb;20(7):e2306961. doi: 10.1002/smll.202306961. Epub 2023 Oct 6.