• 文献检索
  • 文档翻译
  • 深度研究
  • 学术资讯
  • Suppr Zotero 插件Zotero 插件
  • 邀请有礼
  • 套餐&价格
  • 历史记录
应用&插件
Suppr Zotero 插件Zotero 插件浏览器插件Mac 客户端Windows 客户端微信小程序
定价
高级版会员购买积分包购买API积分包
服务
文献检索文档翻译深度研究API 文档MCP 服务
关于我们
关于 Suppr公司介绍联系我们用户协议隐私条款
关注我们

Suppr 超能文献

核心技术专利:CN118964589B侵权必究
粤ICP备2023148730 号-1Suppr @ 2026

文献检索

告别复杂PubMed语法,用中文像聊天一样搜索,搜遍4000万医学文献。AI智能推荐,让科研检索更轻松。

立即免费搜索

文件翻译

保留排版,准确专业,支持PDF/Word/PPT等文件格式,支持 12+语言互译。

免费翻译文档

深度研究

AI帮你快速写综述,25分钟生成高质量综述,智能提取关键信息,辅助科研写作。

立即免费体验

咖啡和茶的摄入量与神经网络连通性的关联:揭示遗传因素在阿尔茨海默病风险中的作用。

Associations of Coffee and Tea Consumption on Neural Network Connectivity: Unveiling the Role of Genetic Factors in Alzheimer's Disease Risk.

作者信息

Li Tianqi, Fili Mohammad, Mohammadiarvejeh Parvin, Dawson Alice, Hu Guiping, Willette Auriel A

机构信息

Genetics and Genomics Program, Iowa State University, Ames, IA 50011, USA.

School of Industrial Engineering and Management, Oklahoma State University, Stillwater, OK 74078, USA.

出版信息

Nutrients. 2024 Dec 13;16(24):4303. doi: 10.3390/nu16244303.

DOI:10.3390/nu16244303
PMID:39770924
原文链接:https://pmc.ncbi.nlm.nih.gov/articles/PMC11677865/
Abstract

BACKGROUND

Coffee and tea are widely consumed beverages, but their long-term effects on cognitive function and aging remain largely unexplored. Lifestyle interventions, particularly dietary habits, offer promising strategies for enhancing cognitive performance and preventing cognitive decline.

METHODS

This study utilized data from the UK Biobank cohort ( = 12,025) to examine the associations between filtered coffee, green tea, and standard tea consumption and neural network functional connectivity across seven resting-state networks. We focused on networks spanning prefrontal and occipital areas that are linked to complex cognitive and behavioral functions. Linear mixed models were used to assess the main effects of coffee and tea consumption, as well as their interactions with Apolipoprotein E (APOE) genetic risk-the strongest genetic risk factor for Alzheimer's disease (AD).

RESULTS

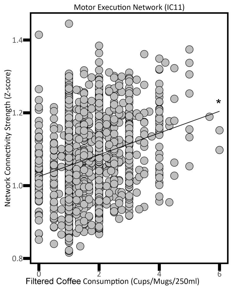
Higher filtered coffee consumption was associated with increased functional connectivity in several networks, including Motor Execution, Sensorimotor, Fronto-Cingular, and a Prefrontal + 'What' Pathway Network. Similarly, greater green tea intake was associated with enhanced connectivity in the Extrastriate Visual and Primary Visual Networks. In contrast, higher standard tea consumption was linked to reduced connectivity in networks such as Memory Consolidation, Motor Execution, Fronto-Cingular, and the "What" Pathway + Prefrontal Network. The APOE4 genotype and family history of AD influenced the relationship between coffee intake and connectivity in the Memory Consolidation Network. Additionally, the APOE4 genotype modified the association between standard tea consumption and connectivity in the Sensorimotor Network.

CONCLUSIONS

The distinct patterns of association between coffee, green tea, and standard tea consumption and resting-state brain activity may provide insights into AD-related brain changes. The APOE4 genotype, in particular, appears to play a significant role in modulating these relationships. These findings enhance our knowledge of how commonly consumed beverages may influence cognitive function and potentially AD risk among older adults.

摘要

背景

咖啡和茶是广泛饮用的饮品,但其对认知功能和衰老的长期影响在很大程度上仍未得到充分研究。生活方式干预,尤其是饮食习惯,为提高认知表现和预防认知衰退提供了有前景的策略。

方法

本研究利用英国生物银行队列(n = 12,025)的数据,来检验过滤咖啡、绿茶和标准茶的摄入量与七个静息态网络的神经网络功能连接之间的关联。我们重点关注跨越前额叶和枕叶区域的网络,这些区域与复杂的认知和行为功能相关。线性混合模型用于评估咖啡和茶摄入量的主要影响,以及它们与载脂蛋白E(APOE)基因风险(阿尔茨海默病(AD)最强的遗传风险因素)的相互作用。

结果

较高的过滤咖啡摄入量与几个网络中功能连接的增加有关,包括运动执行、感觉运动、额扣带回以及一个前额叶 + “什么”通路网络。同样,较多的绿茶摄入量与纹外视觉和初级视觉网络中连接性的增强有关。相比之下,较高的标准茶摄入量与记忆巩固、运动执行、额扣带回以及“什么”通路 + 前额叶网络等网络中连接性的降低有关。APOE4基因型和AD家族史影响了记忆巩固网络中咖啡摄入量与连接性之间的关系。此外,APOE4基因型改变了标准茶摄入量与感觉运动网络中连接性之间的关联。

结论

咖啡、绿茶和标准茶摄入量与静息态脑活动之间不同的关联模式可能为与AD相关的脑部变化提供见解。特别是APOE4基因型似乎在调节这些关系中起重要作用。这些发现增进了我们对常见饮品如何影响老年人认知功能以及潜在AD风险的了解。

https://cdn.ncbi.nlm.nih.gov/pmc/blobs/a29b/11677865/000ef40301de/nutrients-16-04303-g005.jpg
https://cdn.ncbi.nlm.nih.gov/pmc/blobs/a29b/11677865/0837f28864cd/nutrients-16-04303-g001.jpg
https://cdn.ncbi.nlm.nih.gov/pmc/blobs/a29b/11677865/be874b7fdb73/nutrients-16-04303-g002.jpg
https://cdn.ncbi.nlm.nih.gov/pmc/blobs/a29b/11677865/e95bf54ec0a6/nutrients-16-04303-g003.jpg
https://cdn.ncbi.nlm.nih.gov/pmc/blobs/a29b/11677865/60258502a1b5/nutrients-16-04303-g004.jpg
https://cdn.ncbi.nlm.nih.gov/pmc/blobs/a29b/11677865/000ef40301de/nutrients-16-04303-g005.jpg
https://cdn.ncbi.nlm.nih.gov/pmc/blobs/a29b/11677865/0837f28864cd/nutrients-16-04303-g001.jpg
https://cdn.ncbi.nlm.nih.gov/pmc/blobs/a29b/11677865/be874b7fdb73/nutrients-16-04303-g002.jpg
https://cdn.ncbi.nlm.nih.gov/pmc/blobs/a29b/11677865/e95bf54ec0a6/nutrients-16-04303-g003.jpg
https://cdn.ncbi.nlm.nih.gov/pmc/blobs/a29b/11677865/60258502a1b5/nutrients-16-04303-g004.jpg
https://cdn.ncbi.nlm.nih.gov/pmc/blobs/a29b/11677865/000ef40301de/nutrients-16-04303-g005.jpg

相似文献

1
Associations of Coffee and Tea Consumption on Neural Network Connectivity: Unveiling the Role of Genetic Factors in Alzheimer's Disease Risk.咖啡和茶的摄入量与神经网络连通性的关联:揭示遗传因素在阿尔茨海默病风险中的作用。
Nutrients. 2024 Dec 13;16(24):4303. doi: 10.3390/nu16244303.
2
Alzheimer's Disease Genetic Influences Impact the Associations between Diet and Resting-State Functional Connectivity: A Study from the UK Biobank.阿尔茨海默病的遗传影响会影响饮食与静息态功能连接之间的关联:来自英国生物银行的一项研究。
Nutrients. 2023 Jul 30;15(15):3390. doi: 10.3390/nu15153390.
3
Differential effects of aging, Alzheimer's pathology, and APOE4 on longitudinal functional connectivity and episodic memory in older adults.衰老、阿尔茨海默病病理学及APOE4对老年人纵向功能连接和情景记忆的不同影响。
Alzheimers Res Ther. 2025 Apr 25;17(1):91. doi: 10.1186/s13195-025-01742-6.
4
Caffeinated Coffee and Tea Consumption, Genetic Variation and Cognitive Function in the UK Biobank.含咖啡因咖啡和茶的摄入、基因变异与英国生物库中的认知功能。
J Nutr. 2020 Aug 1;150(8):2164-2174. doi: 10.1093/jn/nxaa147.
5
Functional network centrality indicates interactions between APOE4 and age across the clinical spectrum of Alzheimer's Disease.功能网络中心度表明 APOE4 与年龄在阿尔茨海默病临床谱中的相互作用。
Neuroimage Clin. 2024;43:103635. doi: 10.1016/j.nicl.2024.103635. Epub 2024 Jun 24.
6
Associations Between Insulin-Like Growth Factor-1 and Resting-State Functional Connectivity in Cognitively Unimpaired Midlife Adults.胰岛素样生长因子 1 与认知正常中年成年人静息态功能连接的相关性。
J Alzheimers Dis. 2023;94(s1):S309-S318. doi: 10.3233/JAD-220608.
7
Vitamin B6, B12, and Folate's Influence on Neural Networks in the UK Biobank Cohort.维生素 B6、B12 和叶酸对英国生物库队列中神经网络的影响。
Nutrients. 2024 Jun 27;16(13):2050. doi: 10.3390/nu16132050.
8
Resting-state network disruption and APOE genotype in Alzheimer's disease: a lagged functional connectivity study.静息态网络紊乱与阿尔茨海默病中的 APOE 基因型:一项滞后的功能连接研究。
PLoS One. 2012;7(9):e46289. doi: 10.1371/journal.pone.0046289. Epub 2012 Sep 25.
9
Default Mode Network Connectivity Moderates the Relationship Between the APOE Genotype and Cognition and Individualizes Identification Across the Alzheimer's Disease Spectrum.默认模式网络连接调节 APOE 基因型与认知之间的关系,并在阿尔茨海默病谱中实现个体识别。
J Alzheimers Dis. 2019;70(3):843-860. doi: 10.3233/JAD-190254.
10
Associations between differential connectivity patterns of executive control networks and APOE ɛ4 in the Alzheimer continuum.执行控制网络的差异连接模式与阿尔茨海默病连续体中 APOE ɛ4 的关联。
Brain Res. 2025 Jan 1;1846:149229. doi: 10.1016/j.brainres.2024.149229. Epub 2024 Sep 8.

引用本文的文献

1
Dietary Factors and Interventions for Cognitive Impairment and Dementia.认知障碍和痴呆的饮食因素及干预措施
Nutrients. 2025 Jan 8;17(2):210. doi: 10.3390/nu17020210.

本文引用的文献

1
A Brief History of the Progress in Our Understanding of Genetics and Lifestyle, Especially Diet, in the Risk of Alzheimer's Disease.遗传学和生活方式(尤其是饮食)在阿尔茨海默病风险中的认识进展简史。
J Alzheimers Dis. 2024;100(s1):S165-S178. doi: 10.3233/JAD-240658.
2
Vitamin B6, B12, and Folate's Influence on Neural Networks in the UK Biobank Cohort.维生素 B6、B12 和叶酸对英国生物库队列中神经网络的影响。
Nutrients. 2024 Jun 27;16(13):2050. doi: 10.3390/nu16132050.
3
Coffee and tea are unlikely to be risk factors or preventers of Alzheimer's disease or vascular dementia.
咖啡和茶不太可能是阿尔茨海默病或血管性痴呆的风险因素或预防因素。
J Formos Med Assoc. 2025 Feb;124(2):190-191. doi: 10.1016/j.jfma.2024.07.005. Epub 2024 Jul 5.
4
Coffee and tea consumption and dementia risk: The role of sex and vascular comorbidities.咖啡和茶的摄入量与痴呆风险:性别及血管合并症的作用
J Formos Med Assoc. 2025 Feb;124(2):178-185. doi: 10.1016/j.jfma.2024.04.018. Epub 2024 May 6.
5
Mechanistic insights into the potential role of dietary polyphenols and their nanoformulation in the management of Alzheimer's disease.探讨饮食多酚及其纳米制剂在阿尔茨海默病治疗中潜在作用的机制研究。
Biomed Pharmacother. 2024 May;174:116376. doi: 10.1016/j.biopha.2024.116376. Epub 2024 Mar 19.
6
Cost of care for Alzheimer's disease and related dementias in the United States: 2016 to 2060.美国阿尔茨海默病及相关痴呆症的护理成本:2016年至2060年。
NPJ Aging. 2024 Feb 8;10(1):13. doi: 10.1038/s41514-024-00136-6.
7
Effect of Daily Coffee Consumption on the Risk of Alzheimer's Disease: A Systematic Review and Meta-Analysis.每日咖啡摄入量对阿尔茨海默病风险的影响:一项系统评价和荟萃分析
J Lifestyle Med. 2023 Aug 31;13(2):83-89. doi: 10.15280/jlm.2023.13.2.83.
8
Alzheimer's Disease Genetic Influences Impact the Associations between Diet and Resting-State Functional Connectivity: A Study from the UK Biobank.阿尔茨海默病的遗传影响会影响饮食与静息态功能连接之间的关联:来自英国生物银行的一项研究。
Nutrients. 2023 Jul 30;15(15):3390. doi: 10.3390/nu15153390.
9
Alzheimer's Disease and Green Tea: Epigallocatechin-3-Gallate as a Modulator of Inflammation and Oxidative Stress.阿尔茨海默病与绿茶:表没食子儿茶素-3-没食子酸酯作为炎症和氧化应激的调节剂
Antioxidants (Basel). 2023 Jul 20;12(7):1460. doi: 10.3390/antiox12071460.
10
Prevalence of Alzheimer's disease dementia in the 50 US states and 3142 counties: A population estimate using the 2020 bridged-race postcensal from the National Center for Health Statistics.美国 50 个州和 3142 个县的阿尔茨海默病痴呆患病率:利用国家卫生统计中心 2020 年 bridged-race 人口普查后数据进行的人群估计。
Alzheimers Dement. 2023 Oct;19(10):4388-4395. doi: 10.1002/alz.13081. Epub 2023 Jul 17.