Suppr超能文献

2-羟基查尔酮介导的光动力疗法的毒理学评估:体外和体内比较研究方法

Toxicological Assessment of 2-Hydroxychalcone-Mediated Photodynamic Therapy: Comparative In Vitro and In Vivo Approaches.

作者信息

Bila Níura Madalena, Vaso Carolina Orlando, Belizário Jenyffie Araújo, Assis Letícia Ribeiro, Regasini Luís Octávio, Fontana Carla Raquel, Fusco-Almeida Ana Marisa, Costa-Orlandi Caroline Barcelos, Mendes-Giannini Maria José Soares

机构信息

Department of Clinical Analysis, School of Pharmaceutical Sciences, Universidade Estadual Paulista (UNESP), Araraquara 14800-903, SP, Brazil.

Department of Public Health, School of Veterinary, Universidade Eduardo Modlane (UEM), Maputo 257, Mozambique.

出版信息

Pharmaceutics. 2024 Nov 26;16(12):1523. doi: 10.3390/pharmaceutics16121523.

Abstract

BACKGROUND

Photodynamic therapy (PDT) is a treatment modality that uses light to activate a photosensitizing agent, destroying target cells. The growing awareness of the necessity to reduce or eliminate the use of mammals in research has prompted the search for safer toxicity testing models aligned with the new global guidelines and compliant with the relevant regulations.

OBJECTIVE

The objective of this study was to assess the impact of PDT on alternative models to mammals, including in vitro three-dimensional (3D) cultures and in vivo, in invertebrate animals, utilizing a potent photosensitizer, 2-hydroxychalcone.

METHODS

Cytotoxicity was assessed in two cellular models: monolayer (2D) and 3D. For this purpose, spheroids of two cell lines, primary dermal fibroblasts (HDFa) and adult human epidermal cell keratinocytes (HaCat), were developed and characterized following criteria on cell viability, shape, diameter, and number of cells. The survival percentages of and were evaluated at 1 and 7 days, respectively.

RESULTS

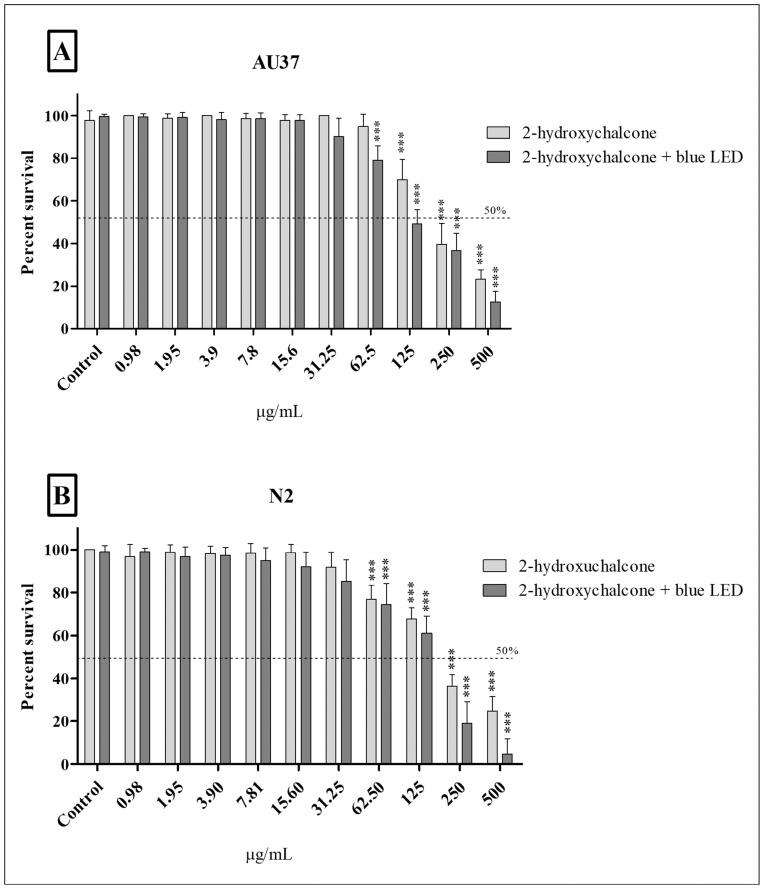
The findings indicated that all the assessed platforms are appropriate for investigating PDT toxicity. Furthermore, 2-hydroxychalcone demonstrated low toxicity in the absence of light and when mediated by PDT across a range of in vitro (2D and 3D cultures) and in vivo (invertebrate animal models, including and ) models.

CONCLUSION

There was a strong correlation between the in vitro and in vivo tests, with similar toxicity results, particularly in the 3D models and , where the concentration for 50% viability was approximately 100 µg/mL.

摘要

背景

光动力疗法(PDT)是一种利用光激活光敏剂来破坏靶细胞的治疗方式。人们越来越意识到有必要减少或消除在研究中使用哺乳动物,这促使人们寻找符合新的全球指南并遵守相关法规的更安全的毒性测试模型。

目的

本研究的目的是评估光动力疗法对哺乳动物替代模型的影响,包括体外三维(3D)培养模型以及在无脊椎动物体内的模型,使用一种强效光敏剂2-羟基查耳酮。

方法

在两种细胞模型中评估细胞毒性:单层(2D)和三维(3D)模型。为此,按照细胞活力、形状、直径和细胞数量的标准,培养并鉴定了两种细胞系(原代表皮成纤维细胞(HDFa)和成人表皮角质形成细胞(HaCat))的球体。分别在第1天和第7天评估HDFa和HaCat的存活百分比。

结果

研究结果表明,所有评估的平台都适用于研究光动力疗法的毒性。此外,2-羟基查耳酮在无光条件下以及通过光动力疗法介导时,在一系列体外(2D和3D培养)和体内(无脊椎动物模型,包括秀丽隐杆线虫和黑腹果蝇)模型中均表现出低毒性。

结论

体外和体内试验之间存在很强的相关性,毒性结果相似,特别是在3D模型以及秀丽隐杆线虫和黑腹果蝇中,50%存活率时的浓度约为100μg/mL。

https://cdn.ncbi.nlm.nih.gov/pmc/blobs/19c2/11728496/4281b5de40b7/pharmaceutics-16-01523-g001.jpg

文献检索

告别复杂PubMed语法,用中文像聊天一样搜索,搜遍4000万医学文献。AI智能推荐,让科研检索更轻松。

立即免费搜索

文件翻译

保留排版,准确专业,支持PDF/Word/PPT等文件格式,支持 12+语言互译。

免费翻译文档

深度研究

AI帮你快速写综述,25分钟生成高质量综述,智能提取关键信息,辅助科研写作。

立即免费体验