• 文献检索
  • 文档翻译
  • 深度研究
  • 学术资讯
  • Suppr Zotero 插件Zotero 插件
  • 邀请有礼
  • 套餐&价格
  • 历史记录
应用&插件
Suppr Zotero 插件Zotero 插件浏览器插件Mac 客户端Windows 客户端微信小程序
定价
高级版会员购买积分包购买API积分包
服务
文献检索文档翻译深度研究API 文档MCP 服务
关于我们
关于 Suppr公司介绍联系我们用户协议隐私条款
关注我们

Suppr 超能文献

核心技术专利:CN118964589B侵权必究
粤ICP备2023148730 号-1Suppr @ 2026

文献检索

告别复杂PubMed语法,用中文像聊天一样搜索,搜遍4000万医学文献。AI智能推荐,让科研检索更轻松。

立即免费搜索

文件翻译

保留排版,准确专业,支持PDF/Word/PPT等文件格式,支持 12+语言互译。

免费翻译文档

深度研究

AI帮你快速写综述,25分钟生成高质量综述,智能提取关键信息,辅助科研写作。

立即免费体验

脑源性神经营养因子(BDNF)作为脑胶质瘤潜在生物标志物的系统评价与Meta分析

Brain-Derived Neurotrophic Factor (BDNF) as a Potential Biomarker in Brain Glioma: A Systematic Review and Meta-Analysis.

作者信息

Hasani Fatemeh, Masrour Mahdi, Khamaki Sina, Jazi Kimia, Ghoodjani Erfan, Teixeira Antonio L

机构信息

Gastroenterology and Hepatology Research Center, Golestan University of Medical Sciences, Gorgan, Iran.

Neuroscience Research Center, Golestan University of Medical Sciences, Gorgan, Iran.

出版信息

Brain Behav. 2025 Jan;15(1):e70266. doi: 10.1002/brb3.70266.

DOI:10.1002/brb3.70266
PMID:39789839
原文链接:https://pmc.ncbi.nlm.nih.gov/articles/PMC11726635/
Abstract

BACKGROUND

This systematic review and meta-analysis evaluates peripheral and CNS BDNF levels in glioma patients.

METHODS

Following PRISMA guidelines, we systematically searched databases for studies measuring BDNF in glioma patients and controls. After screening and data extraction, we conducted quality assessment, meta-analysis, and meta-regression.

RESULTS

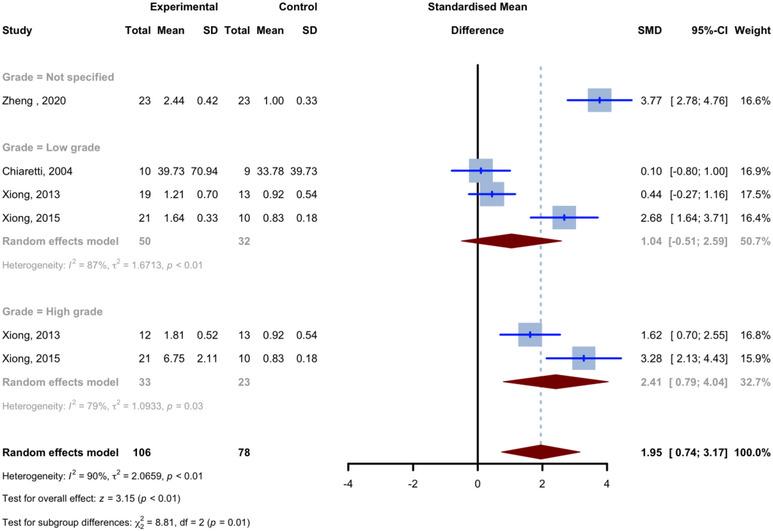
Eight studies were included. Meta-analysis showed significantly reduced plasma BDNF levels in glioma patients versus controls (SMD: -1.0026; 95% CI: [-1.5284, -0.4769], p = 0.0002). High-grade gliomas had lower plasma BDNF (p = 0.0288). Tissue BDNF levels were higher in glioma patients (SMD: 1.9513; 95% CI: [0.7365, 3.1661], p = 0.0016) and correlated with tumor grade (p = 0.0122). Plasma BDNF levels negatively correlated with patient age (p = 0.0244) and positively with female percentage (p = 0.0007).

CONCLUSION

BDNF is a promising biomarker in glioma, showing significant changes in plasma and tissue levels correlating with tumor grade, patient age, and gender.

摘要

背景

本系统评价和荟萃分析评估了胶质瘤患者外周和中枢神经系统脑源性神经营养因子(BDNF)水平。

方法

按照PRISMA指南,我们系统检索数据库以查找测量胶质瘤患者和对照组BDNF的研究。经过筛选和数据提取后,我们进行了质量评估、荟萃分析和荟萃回归。

结果

纳入八项研究。荟萃分析显示,与对照组相比,胶质瘤患者血浆BDNF水平显著降低(标准化均数差:-1.0026;95%置信区间:[-1.5284, -0.4769],p = 0.0002)。高级别胶质瘤患者血浆BDNF水平较低(p = 0.0288)。胶质瘤患者组织BDNF水平较高(标准化均数差:1.9513;95%置信区间:[0.7365, 3.1661],p = 0.0016),且与肿瘤分级相关(p = 0.0122)。血浆BDNF水平与患者年龄呈负相关(p = 0.0244),与女性比例呈正相关(p = 0.0007)。

结论

BDNF是胶质瘤中一种有前景的生物标志物,其血浆和组织水平有显著变化,与肿瘤分级、患者年龄和性别相关。

https://cdn.ncbi.nlm.nih.gov/pmc/blobs/cc3b/11726635/a08836243e81/BRB3-15-e70266-g001.jpg
https://cdn.ncbi.nlm.nih.gov/pmc/blobs/cc3b/11726635/f8db8b857729/BRB3-15-e70266-g006.jpg
https://cdn.ncbi.nlm.nih.gov/pmc/blobs/cc3b/11726635/6ec68f71ccfe/BRB3-15-e70266-g004.jpg
https://cdn.ncbi.nlm.nih.gov/pmc/blobs/cc3b/11726635/7c78e599fdbb/BRB3-15-e70266-g002.jpg
https://cdn.ncbi.nlm.nih.gov/pmc/blobs/cc3b/11726635/86f4be77d46b/BRB3-15-e70266-g005.jpg
https://cdn.ncbi.nlm.nih.gov/pmc/blobs/cc3b/11726635/d958c735be54/BRB3-15-e70266-g007.jpg
https://cdn.ncbi.nlm.nih.gov/pmc/blobs/cc3b/11726635/367a0ab0a8b3/BRB3-15-e70266-g009.jpg
https://cdn.ncbi.nlm.nih.gov/pmc/blobs/cc3b/11726635/9600a3d788a3/BRB3-15-e70266-g008.jpg
https://cdn.ncbi.nlm.nih.gov/pmc/blobs/cc3b/11726635/a08836243e81/BRB3-15-e70266-g001.jpg
https://cdn.ncbi.nlm.nih.gov/pmc/blobs/cc3b/11726635/f8db8b857729/BRB3-15-e70266-g006.jpg
https://cdn.ncbi.nlm.nih.gov/pmc/blobs/cc3b/11726635/6ec68f71ccfe/BRB3-15-e70266-g004.jpg
https://cdn.ncbi.nlm.nih.gov/pmc/blobs/cc3b/11726635/7c78e599fdbb/BRB3-15-e70266-g002.jpg
https://cdn.ncbi.nlm.nih.gov/pmc/blobs/cc3b/11726635/86f4be77d46b/BRB3-15-e70266-g005.jpg
https://cdn.ncbi.nlm.nih.gov/pmc/blobs/cc3b/11726635/d958c735be54/BRB3-15-e70266-g007.jpg
https://cdn.ncbi.nlm.nih.gov/pmc/blobs/cc3b/11726635/367a0ab0a8b3/BRB3-15-e70266-g009.jpg
https://cdn.ncbi.nlm.nih.gov/pmc/blobs/cc3b/11726635/9600a3d788a3/BRB3-15-e70266-g008.jpg
https://cdn.ncbi.nlm.nih.gov/pmc/blobs/cc3b/11726635/a08836243e81/BRB3-15-e70266-g001.jpg

相似文献

1
Brain-Derived Neurotrophic Factor (BDNF) as a Potential Biomarker in Brain Glioma: A Systematic Review and Meta-Analysis.脑源性神经营养因子(BDNF)作为脑胶质瘤潜在生物标志物的系统评价与Meta分析
Brain Behav. 2025 Jan;15(1):e70266. doi: 10.1002/brb3.70266.
2
Brain-derived neurotrophic factor in substance use disorders: A systematic review and meta-analysis.脑源性神经营养因子在物质使用障碍中的作用:系统评价和荟萃分析。
Drug Alcohol Depend. 2018 Dec 1;193:91-103. doi: 10.1016/j.drugalcdep.2018.08.036. Epub 2018 Oct 12.
3
[Study on the expression of BDNF in human gliomas].[脑源性神经营养因子在人脑胶质瘤中的表达研究]
Sichuan Da Xue Xue Bao Yi Xue Ban. 2009 May;40(3):415-7.
4
Peripheral blood levels of brain-derived neurotrophic factor in patients with post-traumatic stress disorder (PTSD): A systematic review and meta-analysis.创伤后应激障碍(PTSD)患者外周血脑源性神经营养因子水平:系统评价和荟萃分析。
PLoS One. 2020 Nov 5;15(11):e0241928. doi: 10.1371/journal.pone.0241928. eCollection 2020.
5
Downregulation of serum microRNA-205 as a potential diagnostic and prognostic biomarker for human glioma.血清微小RNA-205的下调作为人类胶质瘤潜在的诊断和预后生物标志物
J Neurosurg. 2016 Jan;124(1):122-8. doi: 10.3171/2015.1.JNS141577. Epub 2015 Jul 31.
6
Circulating brain-derived neurotrophic factor levels and heart failure: A systematic review and meta-analysis.循环脑源性神经营养因子水平与心力衰竭:系统评价和荟萃分析。
ESC Heart Fail. 2024 Oct;11(5):3253-3263. doi: 10.1002/ehf2.14916. Epub 2024 Jun 24.
7
ProBDNF and its receptors are upregulated in glioma and inhibit the growth of glioma cells in vitro.ProBDNF 及其受体在神经胶质瘤中上调,并抑制神经胶质瘤细胞在体外的生长。
Neuro Oncol. 2013 Aug;15(8):990-1007. doi: 10.1093/neuonc/not039. Epub 2013 Apr 10.
8
Peripheral brain-derived neurotrophic factor in autism spectrum disorder: a systematic review and meta-analysis.自闭症谱系障碍中外周脑源性神经营养因子:系统评价和荟萃分析。
Sci Rep. 2016 Aug 10;6:31241. doi: 10.1038/srep31241.
9
Association of Peripheral Blood Levels of Brain-Derived Neurotrophic Factor With Autism Spectrum Disorder in Children: A Systematic Review and Meta-analysis.外周血脑源性神经营养因子水平与儿童自闭症谱系障碍的关联:系统评价和荟萃分析。
JAMA Pediatr. 2016 Nov 1;170(11):1079-1086. doi: 10.1001/jamapediatrics.2016.1626.
10
Peripheral Brain-Derived Neurotrophic Factor Levels in Alzheimer's Disease and Mild Cognitive Impairment: a Comprehensive Systematic Review and Meta-analysis.外周脑源性神经营养因子水平在阿尔茨海默病和轻度认知障碍中的研究:一项全面的系统性综述和荟萃分析。
Mol Neurobiol. 2017 Nov;54(9):7297-7311. doi: 10.1007/s12035-016-0192-9. Epub 2016 Nov 4.

引用本文的文献

1
Evidence of quantum-entangled higher states of consciousness.量子纠缠的更高意识状态的证据。
Comput Struct Biotechnol J. 2025 Mar 10;30:21-40. doi: 10.1016/j.csbj.2025.03.001. eCollection 2025.

本文引用的文献

1
Brain-Derived Neurotrophic Factor (BDNF) Concentration Levels in Cerebrospinal Fluid and Plasma in Patients With Glioblastoma: A Prospective, Observational, Controlled Study.胶质母细胞瘤患者脑脊液和血浆中脑源性神经营养因子(BDNF)浓度水平:一项前瞻性、观察性、对照研究
Cureus. 2023 Nov 3;15(11):e48237. doi: 10.7759/cureus.48237. eCollection 2023 Nov.
2
Glioma synapses recruit mechanisms of adaptive plasticity.神经胶质瘤突触招募适应性可塑性机制。
Nature. 2023 Nov;623(7986):366-374. doi: 10.1038/s41586-023-06678-1. Epub 2023 Nov 1.
3
Detecting the skewness of data from the five-number summary and its application in meta-analysis.
从五数概括中检测数据的偏度及其在荟萃分析中的应用。
Stat Methods Med Res. 2023 Jul;32(7):1338-1360. doi: 10.1177/09622802231172043. Epub 2023 May 10.
4
BDNF, sHLA-G, and sTREM-1 are useful blood biomarkers for identifying grade IV glioma patients.脑源性神经营养因子(BDNF)、可溶性人类白细胞抗原G(sHLA-G)和可溶性触发受体表达于髓样细胞-1(sTREM-1)是用于识别IV级胶质瘤患者的有用血液生物标志物。
Neoplasma. 2023 Feb;70(1):166-176. doi: 10.4149/neo_2023_221129N1147. Epub 2023 Jan 27.
5
Liquid Biopsy in Glioblastoma.胶质母细胞瘤中的液体活检
Cancers (Basel). 2022 Jul 13;14(14):3394. doi: 10.3390/cancers14143394.
6
MiR-489-3p inhibits cell proliferation, migration, and invasion, and induces apoptosis, by targeting the BDNF-mediated PI3K/AKT pathway in glioblastoma.在胶质母细胞瘤中,微小RNA-489-3p通过靶向脑源性神经营养因子介导的PI3K/AKT信号通路,抑制细胞增殖、迁移和侵袭,并诱导细胞凋亡。
Open Life Sci. 2020 May 29;15(1):274-283. doi: 10.1515/biol-2020-0024. eCollection 2020.
7
Global Cancer Statistics 2020: GLOBOCAN Estimates of Incidence and Mortality Worldwide for 36 Cancers in 185 Countries.《全球癌症统计数据 2020:全球 185 个国家和地区 36 种癌症的发病率和死亡率估计》。
CA Cancer J Clin. 2021 May;71(3):209-249. doi: 10.3322/caac.21660. Epub 2021 Feb 4.
8
Circulating Biomarkers for Glioma: A Review.循环生物标志物在神经胶质瘤中的研究进展。
Neurosurgery. 2021 Feb 16;88(3):E221-E230. doi: 10.1093/neuros/nyaa540.
9
Cancer Statistics, 2021.癌症统计数据,2021.
CA Cancer J Clin. 2021 Jan;71(1):7-33. doi: 10.3322/caac.21654. Epub 2021 Jan 12.
10
Role of Tropomyosin-related kinase B receptor and brain-derived neurotrophic factor in cancer.原肌球蛋白相关激酶 B 受体和脑源性神经营养因子在癌症中的作用。
Cytokine. 2020 Dec;136:155270. doi: 10.1016/j.cyto.2020.155270. Epub 2020 Sep 7.