Suppr超能文献

圈养普氏野马单身汉的社会关系及其对日常活动和空间利用的影响

Social Relationships of Captive Bachelor Przewalski's Horses and Their Effect on Daily Activity and Space Use.

作者信息

Nykonenko Anastasiia, Moturnak Yevhen, McLoughlin Philip Dunstan

机构信息

Department of Biology, University of Saskatchewan, 112 Science Place, Saskatoon, SK S7N 5E2, Canada.

Faculty of Economics, Business and International Relations, University of Customs and Finance, 2/4 Volodymyra Vernadskoho St., 49000 Dnipro, Dnipropetrovsk Oblast, Ukraine.

出版信息

Animals (Basel). 2024 Dec 28;15(1):53. doi: 10.3390/ani15010053.

Abstract

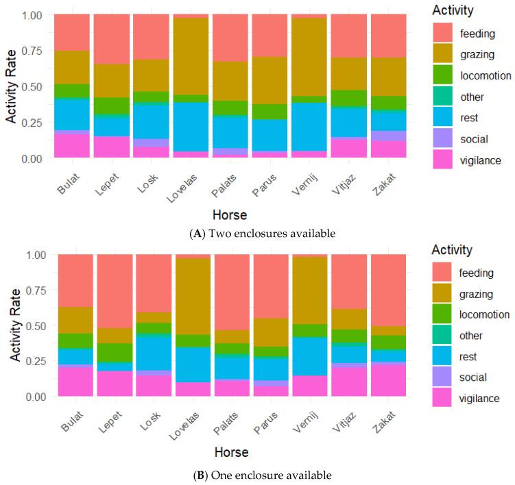
Understanding social relationships in at-risk species held in captivity is vital for their welfare and potential reintroduction. In social species like the Przewalski's horse (), daily time allocation and space use may be influenced by social structure and, in turn, reflect welfare. Here, we identify social relationships, time budgets, and spatial distribution of a group of nine older (aged 6-21 years) male Przewalski's horses living in a non-breeding (bachelor) group. We conducted our work at the Askania-Nova Biosphere Reserve, over 65 h of observation in summer, 2015. Horses formed stronger social bonds with individuals of similar gregariousness and dominance levels. Social-network analysis identified three distinct subgroups with significant differences in locomotion, social behaviour, and foraging. However, resting and vigilance behaviour remained similar across the subgroups. Behavioural synchrony across all activities was higher within subgroups than between. Space use was also affected by subgroup membership, with some horses overusing or underusing critical resource areas like hay and water. These findings suggest opportunities to improve welfare by adjusting space and resource distribution, particularly for more submissive individuals. Our approach may also aid in selecting reintroduction candidates by considering social characteristics alongside health, genetic, and other factors.

摘要

了解圈养濒危物种的社会关系对于它们的福祉和潜在的重新引入至关重要。在普氏野马等群居物种中,每日的时间分配和空间利用可能会受到社会结构的影响,进而反映其福祉状况。在此,我们确定了一群生活在非繁殖(单身汉)群体中的9匹年龄较大(6至21岁)的雄性普氏野马的社会关系、时间预算和空间分布。我们于2015年夏天在阿斯卡尼亚-诺瓦生物圈保护区开展此项工作,进行了超过65小时的观察。马匹与具有相似群居性和支配水平的个体形成了更强的社会联系。社会网络分析确定了三个不同的亚组,它们在运动、社会行为和觅食方面存在显著差异。然而,各亚组之间的休息和警惕行为保持相似。各亚组内所有活动的行为同步性高于亚组之间。空间利用也受到亚组成员身份的影响,一些马匹过度使用或未充分利用干草和水等关键资源区域。这些发现表明,通过调整空间和资源分配来改善福祉存在机会,特别是对于较为顺从的个体。我们的方法还可能有助于通过综合考虑社会特征以及健康、遗传和其他因素来挑选重新引入的候选个体。

https://cdn.ncbi.nlm.nih.gov/pmc/blobs/de86/11718881/2ea431e3338f/animals-15-00053-g0A1.jpg

文献检索

告别复杂PubMed语法,用中文像聊天一样搜索,搜遍4000万医学文献。AI智能推荐,让科研检索更轻松。

立即免费搜索

文件翻译

保留排版,准确专业,支持PDF/Word/PPT等文件格式,支持 12+语言互译。

免费翻译文档

深度研究

AI帮你快速写综述,25分钟生成高质量综述,智能提取关键信息,辅助科研写作。

立即免费体验