Suppr超能文献

用于在整个蛋白质链中定位功能重要可及位点的肽抑制剂分析:限制性内切核酸酶EcoRI作为模型蛋白质系统

Peptide Inhibitor Assay for Allocating Functionally Important Accessible Sites Throughout a Protein Chain: Restriction Endonuclease EcoRI as a Model Protein System.

作者信息

Otaki Joji M

机构信息

The BCPH Unit of Molecular Physiology, Department of Chemistry, Biology and Marine Science, Faculty of Science, University of the Ryukyus, Nishihara 903-0213, Okinawa, Japan.

出版信息

BioTech (Basel). 2024 Dec 30;14(1):1. doi: 10.3390/biotech14010001.

Abstract

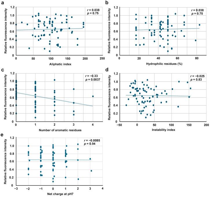
Functionally important amino acid sequences in proteins are often located at multiple sites. Three-dimensional structural analysis and site-directed mutagenesis may be performed to allocate functional sites for understanding structure‒function relationships and for developing novel inhibitory drugs. However, such methods are too demanding to comprehensively cover potential functional sites throughout a protein chain. Here, a peptide inhibitor assay (PIA) was devised to allocate functionally important accessible sites in proteins. This simple method presumes that protein‒ligand interactions, intramolecular interactions, and dimerization interactions can be partially inhibited by high concentrations of competitive "endogenous" peptides of the protein of interest. Focusing on the restriction endonuclease EcoRI as a model protein system, many endogenous peptides (6mer-14mer) were synthesized, covering the entire EcoRI protein chain. Some of them were highly inhibitory, but interestingly, the nine most effective peptides were located outside the active sites, with the exception of one. Relatively long peptides with aromatic residues (F, H, W, and Y) corresponding to secondary structures were generally effective. Because synthetic peptides are flexible enough to change length and amino acid residues, this method may be useful for quickly and comprehensively understanding structure‒function relationships and developing novel drugs or epitopes for neutralizing antibodies.

摘要

蛋白质中具有重要功能的氨基酸序列通常位于多个位点。可进行三维结构分析和定点诱变来确定功能位点,以理解结构 - 功能关系并开发新型抑制性药物。然而,这些方法要求过高,难以全面覆盖整个蛋白质链上的潜在功能位点。在此,设计了一种肽抑制剂测定法(PIA)来确定蛋白质中具有重要功能的可及位点。这种简单的方法假定,高浓度的目标蛋白质竞争性“内源性”肽可以部分抑制蛋白质 - 配体相互作用、分子内相互作用和二聚化相互作用。以限制性内切酶EcoRI作为模型蛋白质系统,合成了许多覆盖整个EcoRI蛋白质链的内源性肽(6聚体 - 14聚体)。其中一些具有高度抑制性,但有趣的是,除了一个之外,九个最有效的肽位于活性位点之外。具有对应于二级结构的芳香族残基(F、H、W和Y)的相对较长的肽通常有效。由于合成肽具有足够的灵活性来改变长度和氨基酸残基,这种方法可能有助于快速全面地理解结构 - 功能关系,并开发新型药物或中和抗体的表位。

https://cdn.ncbi.nlm.nih.gov/pmc/blobs/4f61/11755562/d7a41129cacb/biotech-14-00001-g002.jpg

文献检索

告别复杂PubMed语法,用中文像聊天一样搜索,搜遍4000万医学文献。AI智能推荐,让科研检索更轻松。

立即免费搜索

文件翻译

保留排版,准确专业,支持PDF/Word/PPT等文件格式,支持 12+语言互译。

免费翻译文档

深度研究

AI帮你快速写综述,25分钟生成高质量综述,智能提取关键信息,辅助科研写作。

立即免费体验