• 文献检索
  • 文档翻译
  • 深度研究
  • 学术资讯
  • Suppr Zotero 插件Zotero 插件
  • 邀请有礼
  • 套餐&价格
  • 历史记录
应用&插件
Suppr Zotero 插件Zotero 插件浏览器插件Mac 客户端Windows 客户端微信小程序
定价
高级版会员购买积分包购买API积分包
服务
文献检索文档翻译深度研究API 文档MCP 服务
关于我们
关于 Suppr公司介绍联系我们用户协议隐私条款
关注我们

Suppr 超能文献

核心技术专利:CN118964589B侵权必究
粤ICP备2023148730 号-1Suppr @ 2026

文献检索

告别复杂PubMed语法,用中文像聊天一样搜索,搜遍4000万医学文献。AI智能推荐,让科研检索更轻松。

立即免费搜索

文件翻译

保留排版,准确专业,支持PDF/Word/PPT等文件格式,支持 12+语言互译。

免费翻译文档

深度研究

AI帮你快速写综述,25分钟生成高质量综述,智能提取关键信息,辅助科研写作。

立即免费体验

基于神经母细胞瘤细胞检测法分析前,海产品中太平洋雪卡毒素提取方案的优化

Optimization of the Extraction Protocol for Pacific Ciguatoxins from Marine Products Prior to Analysis Using the Neuroblastoma Cell-Based Assay.

作者信息

Yon Thomas, Cruchet Philippe, Viallon Jérôme, Murray J Sam, Passfield Emillie, Chinain Mireille, Darius Hélène Taiana, Roué Mélanie

机构信息

Institut Louis Malardé (ILM), UMR 241-SECOPOL (IFREMER, ILM, IRD, UPF), Laboratory of Marine Biotoxins, P.O. Box 30, 98713 Papeete, Tahiti, French Polynesia.

Cawthron Institute, 98 Halifax St East, PB 2, The Wood, Nelson 7010, New Zealand.

出版信息

Mar Drugs. 2025 Jan 16;23(1):42. doi: 10.3390/md23010042.

DOI:10.3390/md23010042
PMID:39852544
原文链接:https://pmc.ncbi.nlm.nih.gov/articles/PMC11766842/
Abstract

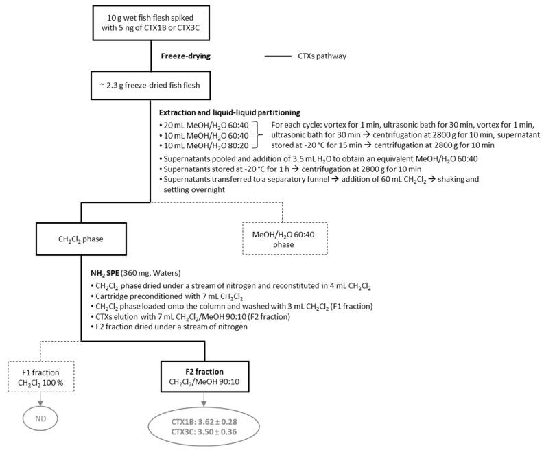
Ciguatera poisoning (CP) is caused by the consumption of marine products contaminated with ciguatoxins (CTXs) produced by dinoflagellates of the genus . Analytical methods for CTXs, involving the extraction/purification of trace quantities of CTXs from complex matrices, are numerous in the literature. However, little information on their effectiveness for nonpolar CTXs is available, yet these congeners, contributing to the risk of CP, are required for the establishment of effective food safety monitoring programs. An evaluation of six extraction/purification protocols, performed with CTX3C spiked on fish flesh and a neuroblastoma cell-based assay (CBA-N2a), revealed recoveries from 6 to 45%. This led to the development of an optimized 3-day protocol designed for a large number of samples, with CTX1B and CTX3C eluting in a single fraction and showing recoveries of 73% and 70%, respectively. In addition, a reduction in adverse matrix effects in the CBA-N2a analyses was demonstrated with naturally contaminated specimens, increasing the sensitivity of the method, which now meets the very low guidance level recommended by international agencies. However, efforts are still required to reduce the signal suppression observed in LC-MS/MS analysis. This optimized protocol contributes to the technological advancement of detection methods, promoting food safety and improving CP risk assessment in marine products.

摘要

雪卡毒素中毒(CP)是由于食用了被甲藻属产生的雪卡毒素(CTXs)污染的海产品所致。文献中有许多关于CTXs的分析方法,这些方法涉及从复杂基质中提取/纯化痕量的CTXs。然而,关于它们对非极性CTXs有效性的信息很少,而这些同系物是导致CP风险的因素,对于建立有效的食品安全监测计划是必需的。对六种提取/纯化方案进行评估,将CTX3C添加到鱼肉中并采用基于神经母细胞瘤细胞的检测方法(CBA-N2a),回收率为6%至45%。这促使开发了一种针对大量样品的优化的三天方案,其中CTX1B和CTX3C在单一馏分中洗脱,回收率分别为73%和70%。此外,对于天然污染的样本,CBA-N2a分析中的不良基质效应有所降低,提高了该方法的灵敏度,该方法现在符合国际机构推荐的极低指导水平。然而,仍需要努力减少液相色谱-串联质谱分析中观察到的信号抑制。这种优化方案有助于检测方法的技术进步,促进食品安全并改善海产品中CP风险评估。

https://cdn.ncbi.nlm.nih.gov/pmc/blobs/23ed/11766842/876af4ca8f9b/marinedrugs-23-00042-g004.jpg
https://cdn.ncbi.nlm.nih.gov/pmc/blobs/23ed/11766842/240041be9830/marinedrugs-23-00042-g001.jpg
https://cdn.ncbi.nlm.nih.gov/pmc/blobs/23ed/11766842/5a74d10aaaa1/marinedrugs-23-00042-g002a.jpg
https://cdn.ncbi.nlm.nih.gov/pmc/blobs/23ed/11766842/df83909f1b70/marinedrugs-23-00042-g003.jpg
https://cdn.ncbi.nlm.nih.gov/pmc/blobs/23ed/11766842/876af4ca8f9b/marinedrugs-23-00042-g004.jpg
https://cdn.ncbi.nlm.nih.gov/pmc/blobs/23ed/11766842/240041be9830/marinedrugs-23-00042-g001.jpg
https://cdn.ncbi.nlm.nih.gov/pmc/blobs/23ed/11766842/5a74d10aaaa1/marinedrugs-23-00042-g002a.jpg
https://cdn.ncbi.nlm.nih.gov/pmc/blobs/23ed/11766842/df83909f1b70/marinedrugs-23-00042-g003.jpg
https://cdn.ncbi.nlm.nih.gov/pmc/blobs/23ed/11766842/876af4ca8f9b/marinedrugs-23-00042-g004.jpg

相似文献

1
Optimization of the Extraction Protocol for Pacific Ciguatoxins from Marine Products Prior to Analysis Using the Neuroblastoma Cell-Based Assay.基于神经母细胞瘤细胞检测法分析前,海产品中太平洋雪卡毒素提取方案的优化
Mar Drugs. 2025 Jan 16;23(1):42. doi: 10.3390/md23010042.
2
Detection of pacific ciguatoxins using liquid chromatography coupled to either low or high resolution mass spectrometry (LC-MS/MS).使用液相色谱法(LC-MS/MS)结合低分辨率或高分辨率质谱法检测太平洋雪卡毒素。
J Chromatogr A. 2018 Oct 12;1571:16-28. doi: 10.1016/j.chroma.2018.08.008. Epub 2018 Aug 4.
3
Tectus niloticus (Tegulidae, Gastropod) as a Novel Vector of Ciguatera Poisoning: Detection of Pacific Ciguatoxins in Toxic Samples from Nuku Hiva Island (French Polynesia).提图斯 niloticus(Tegulidae,腹足纲软体动物)作为雪卡毒素中毒的新型载体:从法属波利尼西亚努库希瓦岛的有毒样本中检测到太平洋雪卡毒素。
Toxins (Basel). 2017 Dec 21;10(1):2. doi: 10.3390/toxins10010002.
4
Assessment of Ciguatera and Other Phycotoxin-Related Risks in Anaho Bay (Nuku Hiva Island, French Polynesia): Molecular, Toxicological, and Chemical Analyses of Passive Samplers.评估阿纳霍湾(法属波利尼西亚努库希瓦岛)的雪卡毒素和其他藻毒素相关风险:被动采样器的分子、毒理学和化学分析。
Toxins (Basel). 2020 May 13;12(5):321. doi: 10.3390/toxins12050321.
5
Comparative Study on the Performance of Three Detection Methods for the Quantification of Pacific Ciguatoxins in French Polynesian Strains of .太平洋雪卡毒素在法属波利尼西亚菌株中三种检测方法定量性能的比较研究
Mar Drugs. 2022 May 25;20(6):348. doi: 10.3390/md20060348.
6
Ciguatera Fish Poisoning in the Caribbean Sea and Atlantic Ocean: Reconciling the Multiplicity of Ciguatoxins and Analytical Chemistry Approach for Public Health Safety.加勒比海和大西洋的雪卡鱼中毒:协调多种雪卡毒素和分析化学方法以保障公共健康安全。
Toxins (Basel). 2023 Jul 10;15(7):453. doi: 10.3390/toxins15070453.
7
Extraction and LC-MS/MS Analysis of Ciguatoxins: A Semi-Targeted Approach Designed for Fish of Unknown Origin.雪卡毒素的提取及 LC-MS/MS 分析:一种针对来源未知鱼类的半靶向方法。
Toxins (Basel). 2021 Sep 8;13(9):630. doi: 10.3390/toxins13090630.
8
Detection of Extremely Low Level Ciguatoxins through Monitoring of Lithium Adduct Ions by Liquid Chromatography-Triple Quadrupole Tandem Mass Spectrometry.通过液相色谱-三重四极杆串联质谱监测锂加成离子检测极低水平的雪卡毒素。
Toxins (Basel). 2024 Mar 27;16(4):170. doi: 10.3390/toxins16040170.
9
Application of solid phase adsorption toxin tracking (SPATT) devices for the field detection of Gambierdiscus toxins.固相吸附毒素追踪(SPATT)装置在麻痹性贝类毒素现场检测中的应用。
Harmful Algae. 2018 Jan;71:40-49. doi: 10.1016/j.hal.2017.11.006. Epub 2017 Dec 8.
10
Evaluation of seafood toxicity in the Australes archipelago (French Polynesia) using the neuroblastoma cell-based assay.利用基于神经母细胞瘤细胞的检测方法评估法属波利尼西亚南部群岛的海鲜毒性。
Food Addit Contam Part A Chem Anal Control Expo Risk Assess. 2013;30(3):567-86. doi: 10.1080/19440049.2012.755644. Epub 2013 Jan 4.

本文引用的文献

1
Faster ciguatoxin extraction methods for toxicity screening.更快的雪卡毒素提取方法用于毒性筛选。
Sci Rep. 2024 Sep 17;14(1):21715. doi: 10.1038/s41598-024-72708-1.
2
Ciguatera poisoning in French Polynesia: A review of the distribution and toxicity of Gambierdiscus spp., and related impacts on food web components and human health.法属波利尼西亚的雪卡鱼中毒: Gambierdiscus spp. 的分布和毒性综述,以及对食物网成分和人类健康的相关影响。
Harmful Algae. 2023 Nov;129:102525. doi: 10.1016/j.hal.2023.102525. Epub 2023 Oct 12.
3
Evaluation of relative potency of calibrated ciguatoxin congeners by near-infrared fluorescent receptor binding and neuroblastoma cell-based assays.
采用近红外荧光受体结合和神经母细胞瘤细胞检测法评价校准后的雪卡毒素同系物的相对效力。
Toxicon. 2023 Jul;230:107161. doi: 10.1016/j.toxicon.2023.107161. Epub 2023 May 16.
4
Characterization of the Ciguatoxin Profile in Fish Samples from the Eastern Atlantic Ocean using Capillary Liquid Chromatography-High Resolution Mass Spectrometry.采用毛细管液相色谱-高分辨质谱法对东大西洋鱼类样本中的雪卡毒素特征进行分析。
Food Chem. 2023 Aug 30;418:135960. doi: 10.1016/j.foodchem.2023.135960. Epub 2023 Mar 15.
5
Comparative Study on the Performance of Three Detection Methods for the Quantification of Pacific Ciguatoxins in French Polynesian Strains of .太平洋雪卡毒素在法属波利尼西亚菌株中三种检测方法定量性能的比较研究
Mar Drugs. 2022 May 25;20(6):348. doi: 10.3390/md20060348.
6
Evaluating Age and Growth Relationship to Ciguatoxicity in Five Coral Reef Fish Species from French Polynesia.评估法属波利尼西亚五种珊瑚礁鱼类的年龄与雪卡毒性关系。
Mar Drugs. 2022 Apr 1;20(4):251. doi: 10.3390/md20040251.
7
The Occurrence, Distribution, and Toxicity of High-Risk Ciguatera Fish Species (Grouper and Snapper) in Kiritimati Island and Marakei Island of the Republic of Kiribati.基里巴斯共和国的基里蒂马蒂岛和马罗埃岛的高危雪卡鱼(石斑鱼和鲷鱼)的发生、分布和毒性。
Toxins (Basel). 2022 Mar 15;14(3):208. doi: 10.3390/toxins14030208.
8
Emerging Marine Biotoxins in European Waters: Potential Risks and Analytical Challenges.欧洲水域新兴海洋生物毒素:潜在风险和分析挑战。
Mar Drugs. 2022 Mar 8;20(3):199. doi: 10.3390/md20030199.
9
A smartphone-controlled amperometric immunosensor for the detection of Pacific ciguatoxins in fish.智能手机控制的安培免疫传感器用于检测鱼类中的太平洋雪卡毒素。
Food Chem. 2022 Apr 16;374:131687. doi: 10.1016/j.foodchem.2021.131687. Epub 2021 Dec 2.
10
Extraction and LC-MS/MS Analysis of Ciguatoxins: A Semi-Targeted Approach Designed for Fish of Unknown Origin.雪卡毒素的提取及 LC-MS/MS 分析:一种针对来源未知鱼类的半靶向方法。
Toxins (Basel). 2021 Sep 8;13(9):630. doi: 10.3390/toxins13090630.