Suppr超能文献

金属硫化物修饰的石墨相氮化碳用于可见光驱动的有机污染物光催化降解

g-CN Modified with Metal Sulfides for Visible-Light-Driven Photocatalytic Degradation of Organic Pollutants.

作者信息

Mukhtar Shoaib, Szabó-Bárdos Erzsébet, Őze Csilla, Juzsakova Tatjána, Rácz Kornél, Németh Miklós, Horváth Ottó

机构信息

Research Group of Environmental and Inorganic Photochemistry, Center for Natural Sciences, Faculty of Engineering, University of Pannonia, P.O. Box 158, H-8201 Veszprém, Hungary.

Department of Materials Engineering, Research Center for Engineering Sciences, University of Pannonia, P.O. Box 158, H-8201 Veszprém, Hungary.

出版信息

Molecules. 2025 Jan 10;30(2):253. doi: 10.3390/molecules30020253.

Abstract

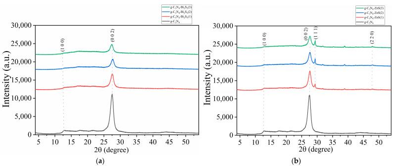
Graphitic carbon nitride (g-CN) proved to be a promising semiconductor for the photocatalytic degradation of various organic pollutants. However, its efficacy is limited by a fast electron hole recombination, a restricted quantity of active sites, and a modest absorption in the visible range. To overcome these limitations, g-CN-BiS and g-CN-ZnS composites were effectively produced utilizing a starch-assisted technique. The findings from FT-IR, XRD, EDX, XPS, BET, SEM, and TEM demonstrated that the enhanced photocatalytic activity of g-CN-BiS and g-CN-ZnS composites was primarily due to their improved photocarrier separation and transfer rates. The photocatalyst facilitated the aerobic photocatalytic degradation of colorless contaminants such as coumarin and para-nitrophenol (4-NP). For the decomposition of 4-NP, g-CN-BiS exhibited a maximum efficiency of 90.86% in UV light and 16.78% in visible light, with rate constants of 0.29 h and 0.016 h, respectively. In contrast, g-CN-ZnS demonstrated a maximum efficiency of 100% in UV light and 15.1% in visible light, with rate constants of 0.57 h and 0.018 h, respectively. The bioinspired synthesis combined with the modification with metal sulfides proved to considerably enhance the photocatalytic activity of g-CN, increasing its potential for practical applicability in environmentally friendly water treatment systems for the efficient removal of recalcitrant organic contaminants.

摘要

石墨相氮化碳(g-CN)被证明是一种用于光催化降解各种有机污染物的有前途的半导体。然而,其效率受到快速的电子空穴复合、活性位点数量有限以及在可见光范围内吸收适度的限制。为了克服这些限制,采用淀粉辅助技术有效地制备了g-CN-BiS和g-CN-ZnS复合材料。傅里叶变换红外光谱(FT-IR)、X射线衍射(XRD)、能量色散X射线光谱(EDX)、X射线光电子能谱(XPS)、比表面积分析(BET)、扫描电子显微镜(SEM)和透射电子显微镜(TEM)的研究结果表明,g-CN-BiS和g-CN-ZnS复合材料光催化活性增强主要归因于其光载流子分离和转移速率的提高。该光催化剂促进了香豆素和对硝基苯酚(4-NP)等无色污染物的好氧光催化降解。对于4-NP的分解,g-CN-BiS在紫外光下的最大效率为90.86%,在可见光下为16.78%,速率常数分别为0.29 h⁻¹和0.016 h⁻¹。相比之下,g-CN-ZnS在紫外光下的最大效率为100%,在可见光下为15.1%,速率常数分别为0.57 h⁻¹和0.018 h⁻¹。生物启发合成与金属硫化物改性相结合被证明能显著提高g-CN的光催化活性,增加其在环境友好型水处理系统中高效去除难降解有机污染物的实际应用潜力。

https://cdn.ncbi.nlm.nih.gov/pmc/blobs/8123/11767285/cbd9caa3b526/molecules-30-00253-g001.jpg

文献检索

告别复杂PubMed语法,用中文像聊天一样搜索,搜遍4000万医学文献。AI智能推荐,让科研检索更轻松。

立即免费搜索

文件翻译

保留排版,准确专业,支持PDF/Word/PPT等文件格式,支持 12+语言互译。

免费翻译文档

深度研究

AI帮你快速写综述,25分钟生成高质量综述,智能提取关键信息,辅助科研写作。

立即免费体验