• 文献检索
  • 文档翻译
  • 深度研究
  • 学术资讯
  • Suppr Zotero 插件Zotero 插件
  • 邀请有礼
  • 套餐&价格
  • 历史记录
应用&插件
Suppr Zotero 插件Zotero 插件浏览器插件Mac 客户端Windows 客户端微信小程序
定价
高级版会员购买积分包购买API积分包
服务
文献检索文档翻译深度研究API 文档MCP 服务
关于我们
关于 Suppr公司介绍联系我们用户协议隐私条款
关注我们

Suppr 超能文献

核心技术专利:CN118964589B侵权必究
粤ICP备2023148730 号-1Suppr @ 2026

文献检索

告别复杂PubMed语法,用中文像聊天一样搜索,搜遍4000万医学文献。AI智能推荐,让科研检索更轻松。

立即免费搜索

文件翻译

保留排版,准确专业,支持PDF/Word/PPT等文件格式,支持 12+语言互译。

免费翻译文档

深度研究

AI帮你快速写综述,25分钟生成高质量综述,智能提取关键信息,辅助科研写作。

立即免费体验

乙型肝炎驱动的肝细胞癌进展的关键癌基因和候选药物。

Key oncogenes and candidate drugs for hepatitis-B-driven hepatocellular carcinoma progression.

作者信息

Ruan Liqin, Fang Ningbo, Zhao Xinhua, Chen Weili, Wu Zhaoping, Wu Xiaoyong

机构信息

Jiuiiang City Key Laboratory of Cell Therapy, JiuJiang NO.1 People's Hospital, Jiujiang, China.

出版信息

Discov Oncol. 2025 Feb 4;16(1):116. doi: 10.1007/s12672-025-01851-6.

DOI:10.1007/s12672-025-01851-6
PMID:39903352
原文链接:https://pmc.ncbi.nlm.nih.gov/articles/PMC11794919/
Abstract

BACKGROUND

This study aimed to uncover the key hepatitis-B (HB)-related liver cancer (LC) promoting genes, and clarity their interrelationships, enrichments, impacts on LC immune infiltration, and potential drugs targeting these genes.

METHODS

The LC-survival associated genes were acquired from the LIHC samples of the TCGA-database; and HB related genes from the DisGeNET database. The intersection was used to screen the key genes. Using the 8 HB-LC genes, we constructed prognostic models for survival prediction of HBV positive patients with LIHC and performed enrichment analysis, interaction analysis, immune infiltration analysis, and potential drug digging from the GTRP and GDSC databases.

RESULTS

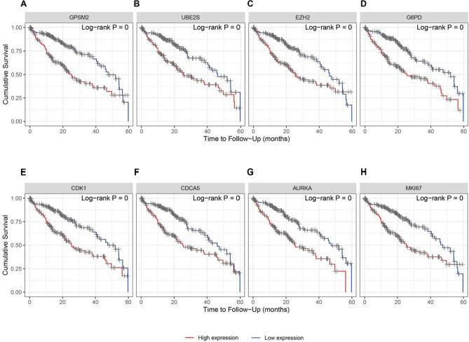
In the core intersection of different sets. Based on these genes, prognostic cox regression models for OS and DFS were constructed. Overall, HB-LC genes were significantly negatively correlated with Th17, MAIT, monocytes, and CD4 Naive cells, while they were positively correlated with B cells, nTreg cells, and Tr1 cells. Among 8 genes, MKI67, EZH2, and CDCA5 were hub ones. Finally, 7 drugs target at least three HB-LC genes and can be used as novel drugs.

CONCLUSIONS

Together, eight key HB-LC genes play important cancer-promoting roles in LC, which may be the molecular mechanism by which HBV drives the development of LC.

摘要

背景

本研究旨在揭示乙型肝炎(HB)相关肝癌(LC)的关键促癌基因,明确它们之间的相互关系、富集情况、对LC免疫浸润的影响以及针对这些基因的潜在药物。

方法

从TCGA数据库的LIHC样本中获取与LC生存相关的基因;从DisGeNET数据库中获取与HB相关的基因。通过取交集来筛选关键基因。利用这8个HB-LC基因,我们构建了用于预测HBV阳性LIHC患者生存的预后模型,并进行了富集分析、相互作用分析、免疫浸润分析,以及从GTRP和GDSC数据库中挖掘潜在药物。

结果

在不同数据集的核心交集中。基于这些基因,构建了OS和DFS的预后Cox回归模型。总体而言,HB-LC基因与Th17、MAIT、单核细胞和CD4初始细胞显著负相关,而与B细胞、nTreg细胞和Tr1细胞正相关。在这8个基因中,MKI67、EZH2和CDCA5是核心基因。最后,有7种药物靶向至少三个HB-LC基因,可作为新型药物。

结论

总之,八个关键的HB-LC基因在LC中发挥着重要的促癌作用,这可能是HBV驱动LC发展的分子机制。

https://cdn.ncbi.nlm.nih.gov/pmc/blobs/0e65/11794919/f822fc60d779/12672_2025_1851_Fig9_HTML.jpg
https://cdn.ncbi.nlm.nih.gov/pmc/blobs/0e65/11794919/8be710f17b17/12672_2025_1851_Fig1_HTML.jpg
https://cdn.ncbi.nlm.nih.gov/pmc/blobs/0e65/11794919/2f7c96fbe088/12672_2025_1851_Fig2_HTML.jpg
https://cdn.ncbi.nlm.nih.gov/pmc/blobs/0e65/11794919/e4512f2c380e/12672_2025_1851_Fig3_HTML.jpg
https://cdn.ncbi.nlm.nih.gov/pmc/blobs/0e65/11794919/31b0de077128/12672_2025_1851_Fig4_HTML.jpg
https://cdn.ncbi.nlm.nih.gov/pmc/blobs/0e65/11794919/49fdb9a6fe7b/12672_2025_1851_Fig5_HTML.jpg
https://cdn.ncbi.nlm.nih.gov/pmc/blobs/0e65/11794919/506950333583/12672_2025_1851_Fig6_HTML.jpg
https://cdn.ncbi.nlm.nih.gov/pmc/blobs/0e65/11794919/09cd778a5241/12672_2025_1851_Fig7_HTML.jpg
https://cdn.ncbi.nlm.nih.gov/pmc/blobs/0e65/11794919/7f4934a65728/12672_2025_1851_Fig8_HTML.jpg
https://cdn.ncbi.nlm.nih.gov/pmc/blobs/0e65/11794919/f822fc60d779/12672_2025_1851_Fig9_HTML.jpg
https://cdn.ncbi.nlm.nih.gov/pmc/blobs/0e65/11794919/8be710f17b17/12672_2025_1851_Fig1_HTML.jpg
https://cdn.ncbi.nlm.nih.gov/pmc/blobs/0e65/11794919/2f7c96fbe088/12672_2025_1851_Fig2_HTML.jpg
https://cdn.ncbi.nlm.nih.gov/pmc/blobs/0e65/11794919/e4512f2c380e/12672_2025_1851_Fig3_HTML.jpg
https://cdn.ncbi.nlm.nih.gov/pmc/blobs/0e65/11794919/31b0de077128/12672_2025_1851_Fig4_HTML.jpg
https://cdn.ncbi.nlm.nih.gov/pmc/blobs/0e65/11794919/49fdb9a6fe7b/12672_2025_1851_Fig5_HTML.jpg
https://cdn.ncbi.nlm.nih.gov/pmc/blobs/0e65/11794919/506950333583/12672_2025_1851_Fig6_HTML.jpg
https://cdn.ncbi.nlm.nih.gov/pmc/blobs/0e65/11794919/09cd778a5241/12672_2025_1851_Fig7_HTML.jpg
https://cdn.ncbi.nlm.nih.gov/pmc/blobs/0e65/11794919/7f4934a65728/12672_2025_1851_Fig8_HTML.jpg
https://cdn.ncbi.nlm.nih.gov/pmc/blobs/0e65/11794919/f822fc60d779/12672_2025_1851_Fig9_HTML.jpg

相似文献

1
Key oncogenes and candidate drugs for hepatitis-B-driven hepatocellular carcinoma progression.乙型肝炎驱动的肝细胞癌进展的关键癌基因和候选药物。
Discov Oncol. 2025 Feb 4;16(1):116. doi: 10.1007/s12672-025-01851-6.
2
The role of in liver cancer: a bioinformatics analysis.[此处缺失具体内容]在肝癌中的作用:一项生物信息学分析
Transl Cancer Res. 2024 Sep 30;13(9):5021-5036. doi: 10.21037/tcr-24-110. Epub 2024 Aug 27.
3
Identification of Potential Hub Genes Related to Diagnosis and Prognosis of Hepatitis B Virus-Related Hepatocellular Carcinoma via Integrated Bioinformatics Analysis.基于整合生物信息学分析的乙型肝炎病毒相关性肝细胞癌诊断和预后相关潜在枢纽基因的鉴定。
Biomed Res Int. 2020 Dec 8;2020:4251761. doi: 10.1155/2020/4251761. eCollection 2020.
4
Finding key genes (UBE2T, KIF4A, CDCA3, and CDCA5) co-expressed in hepatitis, cirrhosis and hepatocellular carcinoma based on multiple bioinformatics techniques.基于多种生物信息学技术,发现乙型肝炎、肝硬化和肝细胞癌中共同表达的关键基因(UBE2T、KIF4A、CDCA3 和 CDCA5)。
BMC Gastroenterol. 2024 Jun 18;24(1):205. doi: 10.1186/s12876-024-03288-7.
5
A novel signature incorporating lipid metabolism- and immune-related genes to predict the prognosis and immune landscape in hepatocellular carcinoma.一种包含脂质代谢和免疫相关基因的新型特征,用于预测肝细胞癌的预后和免疫格局。
Front Oncol. 2023 Jun 6;13:1182434. doi: 10.3389/fonc.2023.1182434. eCollection 2023.
6
DDR1 is a Novel Biomarker and Potential Therapeutic Target for the Combination Treatment of Liver Hepatocellular Carcinoma.DDR1是肝细胞癌联合治疗的新型生物标志物和潜在治疗靶点。
Cancer Control. 2024 Jan-Dec;31:10732748241286257. doi: 10.1177/10732748241286257.
7
Construction of a Cancer Stem Cell related Histone Acetylation Regulatory Genes Prognostic Model for Hepatocellular Carcinoma via Bioinformatics Analysis: Implications for Tumor Chemotherapy and Immunity.通过生物信息学分析构建肝细胞癌相关癌症干细胞组蛋白乙酰化调控基因预后模型:对肿瘤化疗和免疫的意义
Curr Stem Cell Res Ther. 2025;20(1):103-122. doi: 10.2174/011574888X305642240327041753.
8
FANCI is Associated with Poor Prognosis and Immune Infiltration in Liver Hepatocellular Carcinoma.FANCI 与肝肝细胞癌的不良预后和免疫浸润相关。
Int J Med Sci. 2023 May 12;20(7):918-932. doi: 10.7150/ijms.83760. eCollection 2023.
9
Integrative analysis unveils ECM signatures and pathways driving hepatocellular carcinoma progression: A multi-omics approach and prognostic model development.整合分析揭示了 ECM 特征和驱动肝细胞癌进展的途径:一种多组学方法和预后模型的开发。
J Cell Mol Med. 2024 Apr;28(8):e18230. doi: 10.1111/jcmm.18230.
10
Correlation of MKI67 with prognosis, immune infiltration, and T cell exhaustion in hepatocellular carcinoma.MKI67 与肝细胞癌预后、免疫浸润和 T 细胞耗竭的相关性。
BMC Gastroenterol. 2021 Nov 1;21(1):416. doi: 10.1186/s12876-021-01984-2.

本文引用的文献

1
Neutrophil extracellular traps induce intrahepatic thrombotic tendency and liver damage in cholestatic liver disease.中性粒细胞胞外诱捕网可诱发胆汁淤积性肝病的肝内血栓形成倾向和肝损伤。
Hepatol Commun. 2024 Aug 5;8(8). doi: 10.1097/HC9.0000000000000513. eCollection 2024 Aug 1.
2
Benefits and harms of screening for hepatocellular carcinoma in high-risk populations: systematic review and meta-analysis.高危人群肝细胞癌筛查的利弊:系统评价与荟萃分析
J Natl Cancer Cent. 2023 Feb 24;3(3):175-185. doi: 10.1016/j.jncc.2023.02.001. eCollection 2023 Sep.
3
EZH2 suppresses ferroptosis in hepatocellular carcinoma and reduces sorafenib sensitivity through epigenetic regulation of TFR2.
EZH2 通过对 TFR2 的表观遗传调控抑制肝癌中的铁死亡,并降低索拉非尼敏感性。
Cancer Sci. 2024 Jul;115(7):2220-2234. doi: 10.1111/cas.16186. Epub 2024 Apr 16.
4
Covalent conjugation of AZD8055 with unsaturated fatty acids for the development of mTOR nanoblockers: increasing the therapeutic efficacy of hepatocellular carcinoma treatment.用于开发mTOR纳米阻滞剂的AZD8055与不饱和脂肪酸的共价缀合:提高肝细胞癌治疗的疗效
EBioMedicine. 2024 May;103:105113. doi: 10.1016/j.ebiom.2024.105113. Epub 2024 Apr 6.
5
Prognostic prediction using a gene signature developed based on exhausted T cells for liver cancer patients.使用基于耗竭性T细胞开发的基因特征对肝癌患者进行预后预测。
Heliyon. 2024 Mar 16;10(6):e28156. doi: 10.1016/j.heliyon.2024.e28156. eCollection 2024 Mar 30.
6
G6PD and machine learning algorithms as prognostic and diagnostic indicators of liver hepatocellular carcinoma.G6PD 与机器学习算法作为肝肝细胞癌的预后和诊断指标。
BMC Cancer. 2024 Jan 31;24(1):157. doi: 10.1186/s12885-024-11887-6.
7
HOMER3 promotes liver hepatocellular carcinoma cancer progression by -upregulating EZH2 and mediating miR-361/GPNMB axis.HOMER3通过上调EZH2并介导miR-361/GPNMB轴促进肝细胞癌进展。
Pathol Res Pract. 2024 Feb;254:155150. doi: 10.1016/j.prp.2024.155150. Epub 2024 Jan 19.
8
Single-cell landscape identifies the immunophenotypes and microenvironments of HBV-positive and HBV-negative liver cancer.单细胞图谱鉴定 HBV 阳性和 HBV 阴性肝癌的免疫表型和微环境。
Hepatol Commun. 2024 Jan 22;8(2). doi: 10.1097/HC9.0000000000000364. eCollection 2024 Feb 1.
9
A precise prognostic signature in CTNNB1-mutant hepatocellular carcinoma: Prognosis prediction and precision treatment exploration.CTNNB1 突变型肝细胞癌的精准预后特征:预后预测与精准治疗探索
Heliyon. 2023 Nov 14;9(12):e22382. doi: 10.1016/j.heliyon.2023.e22382. eCollection 2023 Dec.
10
Comprehensive Profiling and Therapeutic Insights into Differentially Expressed Genes in Hepatocellular Carcinoma.肝细胞癌中差异表达基因的综合分析及治疗见解
Cancers (Basel). 2023 Nov 30;15(23):5653. doi: 10.3390/cancers15235653.