Suppr超能文献

通过抗氧化-氧化应激途径利用血小板活化生长因子治疗糖尿病性视网膜病变

Activated Growth Factor From Platelets as Treatment for Diabetic Retinopathy Through Antioxidant-Oxidative Stress Pathway.

作者信息

Amin Ramzi, Hidayat Rachmat, Maritska Ziske, Putri Trisa Wulanda

机构信息

Department of Ophthalmology, Faculty of Medicine, Universitas Sriwijaya/Dr. Mohammad Hoesin General Hospital, Palembang, South Sumatera, Indonesia.

Department of Medical Biology, Faculty of Medicine, Universitas Sriwijaya, Palembang, South Sumatera, Indonesia.

出版信息

Diabetes Metab Syndr Obes. 2025 Jan 31;18:305-313. doi: 10.2147/DMSO.S490055. eCollection 2025.

Abstract

BACKGROUND

Reactive oxygen species (ROS) is known to play a significant role in the activation of chronic inflammatory processes in diabetic retinopathy. This study was aimed to evaluate activated growth factor (AGF) from platelet for diabetic retinopathy treatment, utilizing an in vivo investigation to regulate the antioxidant-oxidative stress pathway.

METHODS

The activated growth factor was initially derived by extracting intravenous blood from the rats. Advanced glycation end products (AGEs), p38 mitogen activated protein kinase (p38 MAPK), nuclear factor-κβ (NF-κβ), reactive oxygen species (ROS), tumor necrosis factor-α (TNF-α), interleukin-1β (IL-1β), vascular cell adhesion molecule-1 (VCAM-1), intercellular adhesion molecule-1 (ICAM-1), superoxide dismutase (SOD) and vascular endothelial growth factor (VEGF) was assessed using enzyme linked immunoassay (ELISA). In vivo, diabetic retinopathy rat models were induced by streptozotocin injection and were evaluated by retinal funduscopy.

RESULTS

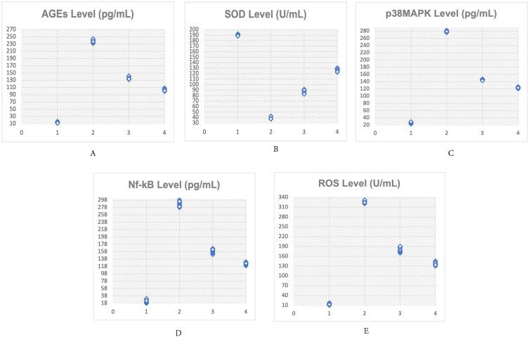
The mean diameter of the retinal artery was significantly reduced when activated growth factor with transforming growth factor-β concentration of 10 ng/mL or 100 ng/mL was administered (p<0.05). The retinal tissue of diabetic rats showed a decline in antioxidant activity due to oxidative stress. AGF containing TGF-β (10 ng/mL and 100 ng/mL) significantly increased SOD activity (p<0.05). AGF administration effectively decreased proinflammatory cytokines like TNF-α and IL-1β.

CONCLUSION

The study shows that AGF, with TGF-β concentrations of 10 ng/mL and 100 ng/mL, can reduce AGEs, p38MAPK, Nf-κβ, ROS, TNF-α, IL-1β, VCAM-1, ICAM-1, and VEGF in diabetic retinopathy rats' retinal tissue, while increasing antioxidant SOD concentration, suggesting AGF may help treat diabetic retinopathy by reducing inflammation and oxidative stress.

摘要

背景

已知活性氧(ROS)在糖尿病视网膜病变慢性炎症过程的激活中起重要作用。本研究旨在评估血小板衍生的活化生长因子(AGF)对糖尿病视网膜病变的治疗效果,通过体内研究来调节抗氧化-氧化应激途径。

方法

活化生长因子最初通过从大鼠静脉采血提取获得。使用酶联免疫吸附测定(ELISA)评估晚期糖基化终产物(AGEs)、p38丝裂原活化蛋白激酶(p38 MAPK)、核因子-κβ(NF-κβ)、活性氧(ROS)、肿瘤坏死因子-α(TNF-α)、白细胞介素-1β(IL-1β)、血管细胞黏附分子-1(VCAM-1)、细胞间黏附分子-1(ICAM-1)、超氧化物歧化酶(SOD)和血管内皮生长因子(VEGF)。在体内,通过注射链脲佐菌素诱导糖尿病视网膜病变大鼠模型,并通过视网膜检眼镜检查进行评估。

结果

给予转化生长因子-β浓度为10 ng/mL或100 ng/mL的活化生长因子时,视网膜动脉平均直径显著减小(p<0.05)。糖尿病大鼠的视网膜组织由于氧化应激而表现出抗氧化活性下降。含转化生长因子-β(10 ng/mL和100 ng/mL)的AGF显著增加了SOD活性(p<0.05)。给予AGF有效降低了促炎细胞因子如TNF-α和IL-1β。

结论

该研究表明,转化生长因子-β浓度为10 ng/mL和100 ng/mL的AGF可降低糖尿病视网膜病变大鼠视网膜组织中的AGEs、p38MAPK、Nf-κβ、ROS、TNF-α、IL-1β、VCAM-1、ICAM-1和VEGF,同时增加抗氧化剂SOD浓度,提示AGF可能通过减轻炎症和氧化应激来帮助治疗糖尿病视网膜病变。

https://cdn.ncbi.nlm.nih.gov/pmc/blobs/cb2c/11793107/9075ee3c3de9/DMSO-18-305-g0001.jpg

文献AI研究员

20分钟写一篇综述,助力文献阅读效率提升50倍。

立即体验

用中文搜PubMed

大模型驱动的PubMed中文搜索引擎

马上搜索

文档翻译

学术文献翻译模型,支持多种主流文档格式。

立即体验