Suppr超能文献

由截留查询支持的用于错误发现率(FDR)估计的查询混合最大化方法。

Query Mix-Max Method for FDR Estimation Supported by Entrapment Queries.

作者信息

Madej Dominik, Lam Henry

机构信息

Department of Chemical and Biological Engineering, The Hong Kong University of Science and Technology, Hong Kong, China.

出版信息

J Proteome Res. 2025 Mar 7;24(3):1135-1147. doi: 10.1021/acs.jproteome.4c00744. Epub 2025 Feb 5.

Abstract

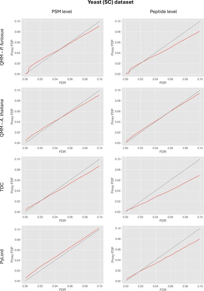
Estimating the false discovery rate (FDR) is one of the key steps in ensuring appropriate error control in the analysis of shotgun proteomics data. Traditional estimation methods typically rely on decoy sequence databases or spectral libraries, which may not always provide satisfactory results due to limitations of decoy construction methods. This study introduces the query mix-max (QMM) method, a decoy-free alternative for FDR estimation in proteomics. The QMM framework builds upon the existing mix-max procedure but replaces decoy matches with entrapment queries to estimate the number of false positive discoveries. Through simulations and real data set analyses, the QMM method was demonstrated to provide reasonably accurate FDR estimation across various scenarios, particularly when smaller sample-to-entrapment spectra ratios were achieved. The QMM method tends to be conservatively biased, particularly at higher FDR values, which can ensure stringent FDR control. While flexible, the protocol's effectiveness may vary depending on the evolutionary distance between the sample and entrapment organisms. It also requires a sufficient number of entrapment queries to provide stable FDR estimates, especially for low FDR values. Despite these limitations, the QMM method is a promising alternative as one of the first query-based FDR estimation approaches in shotgun proteomics.

摘要

估计错误发现率(FDR)是确保鸟枪法蛋白质组学数据分析中适当误差控制的关键步骤之一。传统的估计方法通常依赖于诱饵序列数据库或谱库,由于诱饵构建方法的局限性,这些方法可能并不总是能提供令人满意的结果。本研究介绍了查询混合最大化(QMM)方法,这是一种蛋白质组学中用于FDR估计的无诱饵替代方法。QMM框架基于现有的混合最大化程序构建,但用诱捕查询取代诱饵匹配来估计假阳性发现的数量。通过模拟和实际数据集分析,QMM方法被证明在各种情况下都能提供合理准确的FDR估计,特别是在实现较小的样本与诱捕谱比率时。QMM方法往往存在保守偏差,特别是在较高的FDR值时,这可以确保严格的FDR控制。虽然该方法具有灵活性,但其有效性可能因样本与诱捕生物体之间的进化距离而异。它还需要足够数量的诱捕查询来提供稳定的FDR估计,特别是对于低FDR值。尽管存在这些局限性,QMM方法作为鸟枪法蛋白质组学中首批基于查询的FDR估计方法之一,是一种有前途的替代方法。

https://cdn.ncbi.nlm.nih.gov/pmc/blobs/c5ab/11894652/05b04de2cfc3/pr4c00744_0001.jpg

相似文献

1
Query Mix-Max Method for FDR Estimation Supported by Entrapment Queries.
J Proteome Res. 2025 Mar 7;24(3):1135-1147. doi: 10.1021/acs.jproteome.4c00744. Epub 2025 Feb 5.
2
Common Decoy Distributions Simplify False Discovery Rate Estimation in Shotgun Proteomics.
J Proteome Res. 2022 Feb 4;21(2):339-348. doi: 10.1021/acs.jproteome.1c00600. Epub 2022 Jan 6.
4
Improved False Discovery Rate Estimation Procedure for Shotgun Proteomics.
J Proteome Res. 2015 Aug 7;14(8):3148-61. doi: 10.1021/acs.jproteome.5b00081. Epub 2015 Jul 27.
5
False discovery rate estimation using candidate peptides for each spectrum.
BMC Bioinformatics. 2022 Nov 1;23(1):454. doi: 10.1186/s12859-022-05002-4.
8
Deep Learning-Based Prediction of Decoy Spectra for False Discovery Rate Estimation in Spectral Library Searching.
J Proteome Res. 2025 May 2;24(5):2235-2242. doi: 10.1021/acs.jproteome.4c00304. Epub 2025 Apr 19.
9
Reverse and Random Decoy Methods for False Discovery Rate Estimation in High Mass Accuracy Peptide Spectral Library Searches.
J Proteome Res. 2018 Feb 2;17(2):846-857. doi: 10.1021/acs.jproteome.7b00614. Epub 2018 Jan 11.
10
PyViscount: Validating False Discovery Rate Estimation Methods via Random Search Space Partition.
J Proteome Res. 2025 Mar 7;24(3):1118-1134. doi: 10.1021/acs.jproteome.4c00743. Epub 2025 Feb 5.

本文引用的文献

1
PyViscount: Validating False Discovery Rate Estimation Methods via Random Search Space Partition.
J Proteome Res. 2025 Mar 7;24(3):1118-1134. doi: 10.1021/acs.jproteome.4c00743. Epub 2025 Feb 5.
3
Modeling Lower-Order Statistics to Enable Decoy-Free FDR Estimation in Proteomics.
J Proteome Res. 2023 Apr 7;22(4):1159-1171. doi: 10.1021/acs.jproteome.2c00604. Epub 2023 Mar 24.
4
Efficient Indexing of Peptides for Database Search Using Tide.
J Proteome Res. 2023 Feb 3;22(2):577-584. doi: 10.1021/acs.jproteome.2c00617. Epub 2023 Jan 12.
5
The Crux Toolkit for Analysis of Bottom-Up Tandem Mass Spectrometry Proteomics Data.
J Proteome Res. 2023 Feb 3;22(2):561-569. doi: 10.1021/acs.jproteome.2c00615. Epub 2023 Jan 4.
6
iBench: A ground truth approach for advanced validation of mass spectrometry identification method.
Proteomics. 2023 Jan;23(2):e2200271. doi: 10.1002/pmic.202200271. Epub 2022 Oct 17.
7
Improving Peptide-Level Mass Spectrometry Analysis via Double Competition.
J Proteome Res. 2022 Oct 7;21(10):2412-2420. doi: 10.1021/acs.jproteome.2c00282. Epub 2022 Sep 27.
8
Deephos: predicted spectral database search for TMT-labeled phosphopeptides and its false discovery rate estimation.
Bioinformatics. 2022 May 26;38(11):2980-2987. doi: 10.1093/bioinformatics/btac280.
9
Common Decoy Distributions Simplify False Discovery Rate Estimation in Shotgun Proteomics.
J Proteome Res. 2022 Feb 4;21(2):339-348. doi: 10.1021/acs.jproteome.1c00600. Epub 2022 Jan 6.
10
New mixture models for decoy-free false discovery rate estimation in mass spectrometry proteomics.
Bioinformatics. 2020 Dec 30;36(Suppl_2):i745-i753. doi: 10.1093/bioinformatics/btaa807.

文献AI研究员

20分钟写一篇综述,助力文献阅读效率提升50倍。

立即体验

用中文搜PubMed

大模型驱动的PubMed中文搜索引擎

马上搜索

文档翻译

学术文献翻译模型,支持多种主流文档格式。

立即体验