Suppr超能文献

引起绝经后女性复发性或单次发作性泌尿道感染的产超广谱β-内酰胺酶(ESBL)的尿道致病性大肠杆菌(UPEC)菌株的表型和遗传特征比较。

Comparison of phenotypic and genetic traits of ESBL-producing UPEC strains causing recurrent or single episode UTI in postmenopausal women.

作者信息

Kalu Michelle, Jorth Peter, Wong-Beringer Annie

机构信息

Department of Clinical Pharmacy, University of Southern California Alfred E. Mann School of Pharmacy and Pharmaceutical Sciences, Los Angeles, CA, USA.

Department of Pathology and Laboratory Medicine, Cedars-Sinai Medical Center, Los Angeles, CA, USA.

出版信息

Ann Clin Microbiol Antimicrob. 2025 Feb 7;24(1):11. doi: 10.1186/s12941-025-00779-7.

Abstract

BACKGROUND

Recurrent urinary tract infections (rUTIs) occur in over 20% of patients, with postmenopausal women (over 50 years old) carrying the highest risk for recurrence compared to younger women. Virulence factors such as type 1 fimbriae adhesin FimH, the outer membrane protease OmpT, and the secreted pore-forming toxin α-hemolysin (HlyA) have been shown to support the formation of intracellular bacterial communities (IBCs) within bladder epithelial cells (BECs), facilitating persistence. This study aims to characterize the virulence expression and intracellular persistence of ESBL-producing uropathogenic E. coli (E-UPEC) strains isolated from postmenopausal women with recurrent or single episode infections.

METHODS

Study strains included 72 E-UPEC strains collected from patients (36 recurrent; 36 single episode) with a confirmed UTI diagnosis and control UPEC strains (CFT073 and UTI89). Patient demographics and clinical course were collected. Presence of hlyA, ompT, and fimH genes were confirmed by colony PCR, and qRT-PCR was performed using extracted RNA from a subset of 18 strains (12 recurrent; 6 single episode) grown in Luria-Bertani media and isolated from infected BECs to characterize gene expression. Bladder cell line 5637 was infected with study strains at MOI 15 for 2 h, treated with amikacin for 2 h to remove extracellular bacteria, then lysed to enumerate intracellular CFU counts.

RESULTS

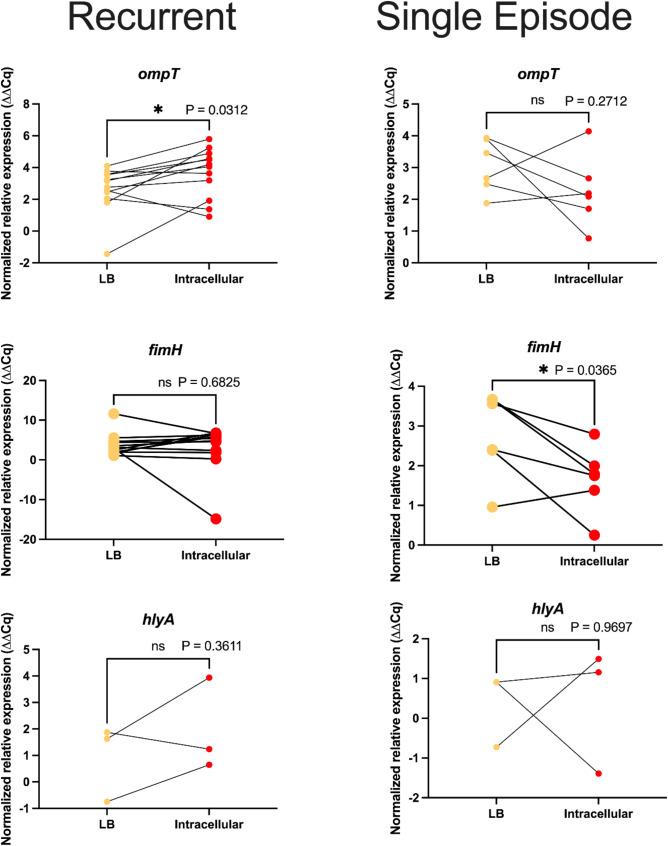
No differences in clinical characteristics between patient groups were observed. Overall prevalence of fimH, ompT, and hlyA was 99% (71/72), 82% (59/72), and 26% (19/72) respectively; presence of all three genes did not differ between recurrent and single-episode strains. Notably, all recurrent strains had significantly more intracellular CFUs compared to single episode strains (median 16,248 CFU/mL vs. 4,118 CFU/mL, p = 0.018). Intracellular expression ompT was significantly increased (p = 0.0312) in the recurrent group compared to LB media, while fimH was significantly decreased (p = 0.0365) in the single episode group compared to expression in LB media.

CONCLUSION

Our findings indicate strain-specific ability to persist inside BECs with the recurrent strains exhibiting increased ompT expression inside BECs and higher intracellular bacterial burden compared to strains causing single episode UTI. These results emphasize the potential microbial contributions to recurrence in postmenopausal women and warrant future investigations on the impact of antibiotic therapy and host response on IBC-supportive UPEC virulence.

摘要

背景

超过20%的患者会发生复发性尿路感染(rUTIs),与年轻女性相比,绝经后女性(50岁以上)复发风险最高。已表明1型菌毛黏附素FimH、外膜蛋白酶OmpT和分泌性成孔毒素α-溶血素(HlyA)等毒力因子可支持膀胱上皮细胞(BECs)内细胞内细菌群落(IBCs)的形成,促进细菌持续存在。本研究旨在表征从复发性或单次发作感染的绝经后女性中分离出的产超广谱β-内酰胺酶(ESBL)的尿路致病性大肠杆菌(E-UPEC)菌株的毒力表达和细胞内持续存在情况。

方法

研究菌株包括从确诊为UTI的患者(36例复发性感染;36例单次发作感染)中收集的72株E-UPEC菌株以及对照UPEC菌株(CFT073和UTI89)。收集患者的人口统计学资料和临床病程。通过菌落PCR确认hlyA、ompT和fimH基因的存在,并使用从在Luria-Bertani培养基中生长并从感染的BECs中分离出的18株菌株(12例复发性感染;6例单次发作感染)的RNA提取物进行qRT-PCR,以表征基因表达。用感染复数(MOI)为15的研究菌株感染膀胱细胞系5637 2小时,用阿米卡星处理2小时以去除细胞外细菌,然后裂解以计数细胞内CFU数量。

结果

未观察到患者组之间临床特征的差异。fimH、ompT和hlyA的总体患病率分别为99%(71/72)、82%(59/72)和26%(19/72);复发性菌株和单次发作菌株中这三个基因的存在情况没有差异。值得注意的是,与单次发作菌株相比,所有复发性菌株的细胞内CFU明显更多(中位数分别为16,248 CFU/mL和4,118 CFU/mL,p = 0.018)。与LB培养基相比,复发性感染组中ompT的细胞内表达显著增加(p = 0.0312),而与LB培养基中的表达相比,单次发作感染组中fimH的表达显著降低(p = 0.0365)。

结论

我们的研究结果表明,菌株在BECs内存活具有菌株特异性能力,与导致单次发作UTI的菌株相比,复发性菌株在BECs内ompT表达增加,细胞内细菌负荷更高。这些结果强调了微生物对绝经后女性复发的潜在影响,并值得未来对抗生素治疗和宿主反应对支持IBC的UPEC毒力的影响进行研究。

https://cdn.ncbi.nlm.nih.gov/pmc/blobs/814d/11806750/070fcb919e55/12941_2025_779_Fig1_HTML.jpg

文献AI研究员

20分钟写一篇综述,助力文献阅读效率提升50倍。

立即体验

用中文搜PubMed

大模型驱动的PubMed中文搜索引擎

马上搜索

文档翻译

学术文献翻译模型,支持多种主流文档格式。

立即体验