Chen Zhe, Wang Gaoming, Wang Nan, Liu Jiangjiang, Yao Yu, Ma Haitao, Luo Jing, Xie Kai
Department of Cardiothoracic Surgery, The Fourth Affiliated Hospital of Soochow University, Suzhou, China.
Department of Thoracic Surgery, Xuzhou Central Hospital, Clinical School of Xuzhou Medical University, Xuzhou, China.
Front Immunol. 2025 Jan 27;16:1492501. doi: 10.3389/fimmu.2025.1492501. eCollection 2025.
Despite undergoing surgery and chemoradiotherapy, patients with first primary lung cancer (FPLC) remain at risk for second primary lung cancer (SPLC), which is associated with a poor prognosis. The effects of FPLC chemoradiotherapy on SPLC prognosis and its sensitivity to re-chemoradiotherapy have not been adequately investigated.
This cohort study analyzed data from 23,827 patients who underwent FPLC surgery during 1973-2021, drawn from the Surveillance, Epidemiology, and End Results database. Among these, 5,302 FPLC patients developed SPLC within 5 years of their initial diagnosis. We employed the Fine-Gray competitive risk model, Cox proportional hazards model, and restricted mean survival time analysis to assess the effects of FPLC radiotherapy and chemotherapy on SPLC risk and survival differences.
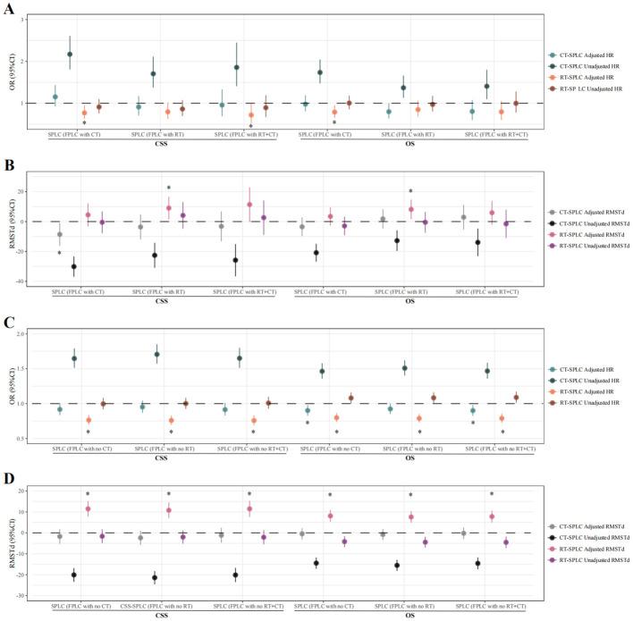
The competitive risk model indicated that FPLC radiotherapy and chemotherapy did not significantly change the risk of developing SPLC. However, the Cox proportional hazards model revealed that FPLC radiotherapy was associated with decreased overall survival (OS; HR=1.251, P<0.001) and cancer-specific survival (CSS; HR=1.228, P=0.001) in patients with SPLC. Conversely, FPLC chemotherapy was linked to improved OS (HR=0.881, P=0.012) in this population. Patients with SPLC who received combined chemoradiotherapy for FPLC exhibited significantly reduced survival times (OS: HR=1.157, P=0.030; CSS: HR=1.198, P=0.018), a finding confirmed across multiple models. For SPLC patients with prior FPLC chemoradiotherapy, subsequent SPLC radiotherapy significantly improved prognosis. Notably, this benefit is even more pronounced in patients who have not received prior chemoradiotherapy. While SPLC chemotherapy enhanced OS for patients who did not receive FPLC chemotherapy, it was associated with reduced CSS for those who had.
Overall, FPLC chemoradiotherapy influences SPLC prognosis and influences sensitivity to treatment. Tailoring SPLC management to FPLC treatment regimens may improve survival outcomes.
尽管接受了手术及放化疗,但原发性肺癌(FPLC)患者仍有发生第二原发性肺癌(SPLC)的风险,且SPLC预后较差。FPLC放化疗对SPLC预后的影响及其对再放化疗的敏感性尚未得到充分研究。
本队列研究分析了1973年至2021年期间从监测、流行病学和最终结果数据库中选取的23827例接受FPLC手术患者的数据。其中,5302例FPLC患者在初次诊断后5年内发生了SPLC。我们采用Fine-Gray竞争风险模型、Cox比例风险模型和受限平均生存时间分析来评估FPLC放疗和化疗对SPLC风险及生存差异的影响。
竞争风险模型表明,FPLC放疗和化疗并未显著改变发生SPLC的风险。然而,Cox比例风险模型显示,FPLC放疗与SPLC患者的总生存期(OS;风险比[HR]=1.251,P<0.001)和癌症特异性生存期(CSS;HR=1.228,P=0.001)降低相关。相反,FPLC化疗与该人群的OS改善相关(HR=0.881,P=0.012)。接受FPLC联合放化疗的SPLC患者生存时间显著缩短(OS:HR=1.157,P=0.030;CSS:HR=1.198,P=0.018),这一发现在多个模型中均得到证实。对于先前接受过FPLC放化疗的SPLC患者,后续SPLC放疗可显著改善预后。值得注意的是,这种益处在未接受过先前化疗的患者中更为明显。虽然SPLC化疗可提高未接受FPLC化疗患者的OS,但对于接受过FPLC化疗的患者,其CSS降低。
总体而言,FPLC放化疗会影响SPLC预后及对治疗的敏感性。根据FPLC治疗方案调整SPLC管理可能会改善生存结局。